Сергей Доронин - Квантовая магия стр 63.

Шрифт
Фон

Еще один момент, на который следует обратить внимание: мы можем предположить, что каждый из континуумов, то есть каждая энергетическая структура, имеет собственную метрику пространства событий, зависящую, например, от средней плотности энергии данной структуры. Иными словами, каждая составляющая находится в собственном пространстве событий и в различной степени запутанности в соответствии со своими физическими характеристиками. Это предположение вполне обосновано, поскольку согласно теории декогеренции степень классичности объекта зависит от количества информации, которая в нем "записывается" при взаимодействии с окружением. Очевидно, что на носителях, имеющих различную плотность, можно записать разное количество информации, следовательно, чем меньше объемная плотность энергии поля, тем выше для него будет мера квантовой запутанности.

В соответствии с теми практическими задачами, на решение которых модель направлена, возможны разные степени ее приближения к реальной ситуации. В наиболее простом случае нулевого приближения можно считать метрику всех составляющих структур одинаковой и не учитывать взаимодействие между ними, а в дальнейшем, усложняя задачи и, соответственно, модель, - постепенно включать взаимодействие, различие в метриках и степени запутанности.

5.3. Уравнения движения в энергетическом представлении

Попытаемся теперь на конкретном примере продемонстрировать, какую дополнительную научную информацию мы можем получить, используя предложенный подход. Кому трудно следить за математическими выкладками, может их опустить и сразу перейти к обсуждению полученного результата.

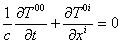
Рассмотрим уравнение движения для произвольного объекта. Его легко получить на основе упомянутого выше лагранжева формализма, используя наиболее общий подход, который применяется при выводе тензора энергии-импульса произвольной системы.

Напомню, что уравнение движения получают согласно принципу наименьшего действия путем варьирования D, и оно имеет вид:

Квантовая магия, (5.1)

Равенство нулю дивергенции (5.1) означает, что сохраняется интеграл от тензора по гиперповерхности пространства. Этот тензор Тс компонентами T (j, l = 0, 1, 2, 3) называется тензором энергии-импульса системы. Он определен неоднозначно, а только с точностью до градиента произвольного антисимметричного тензора. Для его однозначного определения можно потребовать, чтобы существовала принятая в механике связь между импульсом и моментом импульса. В этом случае получаем дополнительное условие T = T, то есть тензор энергии-импульса должен быть симметричен.

Компонента T этого тензора характеризует плотность энергии. Вектор с компонентами T/c, T/c, T/c есть плотность импульса, а вектор с составляющими cT, cT, cT - плотность потока энергии - количество энергии, протекающей в единицу времени через единицу поверхности. Ввиду симметричности тензора мы имеем связь между потоком энергии и импульсом: плотность потока энергии равна плотности импульса, умноженной на c. Компоненты T (i, k = 1, 2, 3) составляют трехмерный тензор плотности потока импульса. Взятые со знаком минус они образуют тензор напряжений. Плотность потока энергии есть вектор; плотность же потока импульса, который сам по себе вектор, должна быть тензором второго ранга.

Отсюда вывод: скорость изменения энергии, находящейся в объеме V, равна количеству энергии, протекающей через границу этого объема в единицу времени, и скорость изменения импульса системы в объеме V есть количество импульса, вытекающее в единицу времени из этого объема [см. уравнения (5.4), (5.5) чуть ниже].

На этом обычно заканчивается анализ уравнений движения произвольной системы, и далее используют различные приближения, чтобы упростить общий вид тензора энергии-импульса в конкретных частных задачах.

Однако уже в общем случае тензора энергии-импульса произвольной системы нас не устраивает та часть интерпретации уравнений движения, в которой используется импульсное представление. Оно более подходит для описания локальных объектов, а в нашей ситуации, когда мы имеем дело с непрерывными полевыми структурами, предпочтительно использовать энергетическое представление. Поэтому сейчас мы постараемся от импульсной интерпретации перейти к энергетической и проанализируем уравнения движения уже в этих терминах.

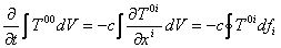
Рассмотрим эти уравнения. Они получаются из (5.1) разделением на пространственные и временные производные:

Квантовая магия, (5.2)

Квантовая магия. (5.3)

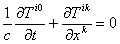
Эти уравнения затем интегрируются по некоторому произвольному объему пространства V, и применяется теорема Гаусса.

Квантовая магия, (5.4)

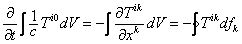
Квантовая магия. (5.5)

Интеграл справа берется по поверхности, охватывающей объем V (df1, df2, df3- компоненты трехмерного вектора элемента поверхности df).

Рассмотрим более подробно второе уравнение (5.5), поскольку результаты, полученные при его анализе, будут широко использоваться в дальнейшем.

Левая часть не вызывает вопросов - здесь стоит скорость изменения импульса в объеме V, то есть сила, действующая на этот объем. А вот в правой части мы перейдем к энергетическому представлению и для этого воспользуемся аппаратом дифференциальной геометрии, теоретические основы которого изложены в книге Б. А. Дубровина, С. П. Новикова, А. Т. Фоменко "Современная геометрия: Методы и приложения" (М.: Наука, 1986). Достаточно подробное описание того, как эти методы применяются в физике, в частности, к тензору энергии-импульса, содержится в книге Ч. Мизнера, К. Торна, Дж. Уилера "Гравитация", т. 1 (М.: Мир, 1977).

Очень кратко напомню смысл основных понятий дифференциальной геометрии, которыми нам придется оперировать. Прежде всего это касается еще одного геометрического объекта - "дифференциальной формы", который наряду с другими хорошо известными геометрическими объектами (скаляр, вектор, тензор) описывает физические величины. В частности, более подробно рассмотрим понятие 1-формы.

Может возникнуть закономерный вопрос: зачем вообще нужны дифференциальные формы, и нельзя ли обойтись хорошо известными старыми понятиями? Чтобы ответить на этот вопрос, приведу следующий пример из книги Мизнера-Торна-Уилера.

Рассмотрим привычное определение вектора 4-импульса p для частицы, например электрона, с массой m и вектором 4-скорости u, то есть p = mu. Кроме этого, в физике известен и другой подход к понятию импульса, при котором каждой частице приписывается волна де Бройля. Эта волна имеет самый непосредственный физический смысл, ее дифракция на кристаллической решетке позволяет определить не только длину волны, но и ту конфигурацию в пространстве, которую образуют поверхности равных целочисленных значений фазы. Конфигурация этих поверхностей дает простейшую иллюстрацию, которую удается найти для 1-формы.Определив эти поверхности посредством выражения ћ ´ фаза, получим "1-форму импульса" Квантовая магия.

Ваша оценка очень важна

0
Шрифт
Фон

Помогите Вашим друзьям узнать о библиотеке

Скачать книгу

Если нет возможности читать онлайн, скачайте книгу файлом для электронной книжки и читайте офлайн.

fb2.zip txt txt.zip rtf.zip a4.pdf a6.pdf mobi.prc epub ios.epub fb3

Похожие книги