
Поскольку у каждого слагаемого в этой сумме есть своя фаза, то они интерферируют и появляется резкая интерференционная картина. И если мы проводим эксперимент, в котором мы не наблюдаем спина детектируемого нейтрона, то могут произойти события обоих типов и сложатся отдельные вероятности. Полная вероятность (или скорость счета) как функция угла тогда выглядит подобно кривой на фиг. 1.6, в.
Давайте еще раз окинем взглядом физику этого опыта. Если вы способны в принципе различить взаимоисключающие конечные состояния (хотя вы и не собирались на самом деле этого делать), то полная конечная вероятность получается подсчетом вероятности каждого состояния (а не амплитуды) и последующим их сложением. А если вы неспособны даже в принципе различить конечные состояния, тогда надо сперва сложить амплитуды вероятностей, а уж потом вычислять квадрат модуля и находить самую вероятность. Заметьте особенно, что если бы вы попытались представить нейтрон в виде отдельной волны, то получили бы одно и то же распределение и для рассеяния нейтронов, вращающихся спином вниз, и для нейтронов, вращающихся спином вверх. Вы должны были бы сказать, что "волна" нейтронов со спином, направленным вниз, пришла ото всех различных атомов и интерферирует так же, как это делает одинаковая по длине волна нейтронов со спином, направленным вверх. Но мы знаем, что на самом деле это не так. Так что (мы уже это отмечали) нужно быть осторожным и не представлять себе чересчур реально волны в пространстве. Они полезны для некоторых задач. Но не для всех.
§ 4. Тождественные частицы
Очередной опыт, который мы хотим описать, продемонстрирует одно из замечательных следствий квантовой механики. В нем снова встретятся такие физические события, в которых существуют два неразличимых пути и, как всегда при таких обстоятельствах, возникает интерференция амплитуд. Мы собираемся рассмотреть рассеяние одних ядер на других при сравнительно низкой энергии. Начнем, скажем, с a-частиц (это, как вы знаете, просто ядра гелия), бомбардирующих кислород. Чтобы облегчить анализ реакции, проведем его в системе центра масс, в которой скорости ядра кислорода и a-частицы перед столкновением противоположны, а после столкновения тоже противоположны (фиг. 1.7, а). (Величины скоростей, конечно, различны, поскольку массы различны.) Предположим также, что энергия сохраняется и что энергия столкновения настолько мала, что частицы ни раскалываются, ни переходят в возбужденное состояние. Причина, отчего частицы отклоняют друг друга, состоит попросту в том, что обе они заряжены положительно и, выражаясь классически, отталкиваются, проходя одна мимо другой. Рассеяние на разные углы будет происходить с различной вероятностью, и мы хотим выяснить угловую зависимость подобного рассеяния. (Конечно, все это можно рассчитать классически, и по удивительной случайности оказалось, что ответ на этот вопрос в квантовой механике и в классической - один и тот же. Это очень занятно, потому что ни при каком законе сил, кроме закона обратных квадратов, так не бывает, стало быть, это и впрямь случайность.)
Вероятность рассеяния в разных направлениях можно измерить в опыте, изображенном на фиг. 1.7,а.

Фиг. 1.7. Рассеяние a-частиц на ядрах кислорода, наблюдаемое в системе центра масс.
Счетчик в положении D1может быть сконструирован так, чтобы детектировать только a-частицы; счетчик в положении D2 может быть устроен так, чтобы детектировать кислород просто для проверки. (В системе центра масс детекторы должны смотреть друг на друга, в лабораторной - нет.) Опыт заключается в измерении вероятности рассеяния в разных направлениях. Обозначим через f(q) амплитуду рассеяния в счетчики, когда они расположены под углом q; тогда | f(q)| - наша экспериментально определяемая вероятность.
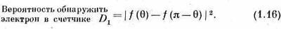
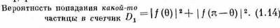
Можно было бы провести и другой опыт, в котором наши счетчики реагировали бы ина a-частицу, ина ядро кислорода. Тогда нужно сообразить, что будет, если мы решим не заботиться о том, какая из частиц попала в счетчик. Разумеется, когда кислород летит в направлении q, то с противоположной стороны, под углом (p-q), должна оказаться a-частица (фиг. 1.7,б). Значит, если f(q) - амплитуда рассеяния кислорода на угол 0, то f(р-q) - это амплитуда рассеяния a-частицы на угол θ. Таким образом, вероятность того, что какая-то частица окажется в счетчике, который находится в положении d1, равна
![]()
Заметьте, что в принципе оба состояния различимы. Даже если в этом опыте мы их не различали, мы могли бы это сделать. И в соответствии с нашими прежними рассуждениями мы, стало быть, должны складывать вероятности, а не амплитуды.
Приведенный выше результат справедлив для многих ядер. Мишенью здесь могут служить и кислород, и углерод, и бериллий, и водород. Но он неверен при рассеянии a-частиц на a-частицах. В том единственном случае, когда обе частицы в точности одинаковы, экспериментальные данные не согласуются с предсказаниями формулы (1.14). Например, вероятность рассеяния на угол 90° в точности вдвое больше предсказанной вышеизложенной теорией - с частицами, являющимися ядрами "гелия", номер не проходит. Если мишень из Не, а налетают на нее a-частицы (Не), то все хорошо. И только когда мишень из Не, т. е. ее ядра тождественны падающим a-частицам, только тогда рассеяние меняется с углом каким-то особым образом.
Быть может, вы уже догадались, в чем дело? В счетчике a-частица может очутиться по двум причинам: либо из-за рассеяния налетевшей a-частицы на угол q, либо из-за рассеяния ее на угол (p-q). Как мы можем удостовериться, кто попал в счетчик - частица-снаряд или частица-мишень? Никак. В случае рассеяния a-частиц на a-частицах существуют две альтернативы, различить которые нельзя. Приходится дать амплитудам вероятности интерферировать при помощи сложения, и вероятность обнаружить в счетчике a-частицу есть квадрат этой суммы:
![]()
Это совсем не то, что (1.14). Возьмите, скажем, угол я/2 (это легче себе представить). При q=p/2 мы, естественно, имеем f(q)=f(p-q), так что из (1.15) вероятность оказывается равной

А с другой стороны, если бы не было интерференции, формула (1.14) дала бы только 2|f(p/2)|. Так что на угол 90° рассеивается вдвое больше частиц, чем можно было ожидать. Конечно, и под другими углами результаты будут другие. И мы приходим к необычному выводу: когда частицы тождественны, происходит нечто новое, чего не бывало, когда частицы можно было друг от друга отличить. При математическом описании вы обязаны складывать амплитуды взаимоисключающих процессов, в которых обе частицы просто обмениваются ролями, и происходит интерференция.
Еще более неожиданное явление происходит с рассеянием электронов на электронах или протонов на протонах. Тогда не верен ни один из прежних результатов! Для этих частиц мы должны призвать на помощь совершенно новое правило: если попадающий в некоторую точку электрон обменивается своей индивидуальностью с другим электроном, то новая амплитуда интерферирует со старой в противофазе. Это все равно интерференция, но с обратным знаком. В случае a-частиц, когда происходит обмен a-частицами, достигающими счетчика, амплитуды интерферируют с одним и тем же знаком. А в случае электронов амплитуды обмена интерферируют с разными знаками. С точностью до одной детали, о которой будет сейчас сказано, правильная формула для электронов в опыте, подобном изображенному на фиг. 1.8, такова:
![]()
Это утверждение нуждается в уточнении, потому что мы не учли спин электрона (у a-частиц спина нет).