Как-то радостно думалось, что по существу нет ни времени, ни пространства, а есть два разных счета, два ската одной крыши, два пути по одному зданию чисел.
Время и пространство кажутся одним и тем же деревом счета, но в одном случае воображаемая белка счета подвигается от веток к основанию, в другом – от основания к веткам.
Действия над величинами есть искусство определять наибольшее равенство наименьшим неравенством.
Сколько столетий нужно, чтобы определить (написать) число, где столб из трех троек есть показатель степени тройки, с помощью десятиричного счета?
Между тем, прибегая к равенствам высшего порядка, мы его определяем, вынимаем из ряда других в одно мгновение.
Этот закон может быть назван законом наименьшей затраты чернил, предпосылкой "скупых чернил".
Другой закон – воля к наименьшим числам, своего рода нирвана, учение Будды в мире чисел.
В том счете, который делает время, тяготение к числам, окружающим мир ничего (то есть единице, двойке и тройке), определяет строение основания; в нем твердые основания троек и двоек; в уравнениях пространства показатели степени: три, два, один; напротив, основание растет до бесконечности.
Можно ли назвать время поставленным на затылок пространством?
Возведение в степень есть действие наиболее скупого расходования чернил: громадные числа, требующие для прочтения ряда столетий, пишутся (вынимаются из ряда остальных) двумя-тремя взмахами пера. Это действие лежит в основе и счета пространства и счета времени.
Но у пространства показатель степени сделан волей к наименьшим числам, наибольшей близости к ничему, а у времени – основание.
У величин пространства:

У времени:

Или: пространство и время – два обратных направления счета, это m и n.
В жизни отдельных людей я заметил особое гремучее время строения 2 + 13. Оно вызывает подвиги под небом Марса или Венеры, все равно каким.
Так Борис Самородов, поднявший восстание в белых судах Каспийского моря, сделал это через 2 + 13 после рождения.
Мне кажется, что дух отважного подвига вызван в нем тринадцатой степенью двух, считая от рождения.
Если существуют чистые законы времени, то они должны управлять всем, что протекает во времени, безразлично, будет ли это душа Гоголя, "Евгений Онегин" Пушкина, светила солнечного мира, сдвиги земной коры и страшная смена царства змей царством людей, смена девонского времени временем, ознаменованным вмешательством человека в жизнь и строение земного шара.
В самом деле, если в уравнении x = 3 + 3, как промежутка времени для отрицательных сдвигов, сделать n = 11, x будет равняться времени между разрушением Рима в 410 году, сделанным народами Востока, и Куликовской битвой, положившей конец движению этих народов. Эта битва дала отпор Востоку.
Сделав n = 10, получим х равным времени между походом Ермака и отступлением Куропаткина. Эти точки – начало и конец движения русских на восток.
Сделав n = 18, получим время между третичным возрастом Земли и современностью.
И, наконец, если n = 23, x = 369 697 770 лет, или промежутку между девонским возрастом Земли, когда властвующей жизнью были змеи, и современностью, когда Земля – книга с кричащим заглавием "человек". Не этим ли тайным языком тройки объясняется суеверный ужас человека к змеям, нередко безобидным врагам?
Между девонским временем и современностью, по определению ученого Гольмеса, прошло 3 + 3 или 3 + 3 дней.
За это время государства скользких змей, покрытых сверкающей чешуей, сменились государствами нагих людей в мягкой оболочке кожи. Лишь кудри головы, точно ветер налетевших столетий, напоминают о прошлом. С этой точки способа видеть людей их можно было бы назвать противозмеями. Ползающих сменили падающие, как мяч, повторно падающие и отскакивающие люди.
Чистые законы времени, трубачом-глашатаем которых я здесь выступаю, делают равноправными гражданами одних и тех же уравнений и жизнь земной коры, и сдвиги строения человеческого общества.
Москва. 16 января 1922
День мертвеца у соседей (час выноса).
"О, числа времени…"
О, числа времени, и улицы <числовых> башен, и город с колокольнями времен!
Где сквозь имена звезд сквозит и плещется осетром вод личность неба – богатырский, сильный, здоровый <за>человек, а торг, любовь и война высовываются из недр звезд, из вод неба, как черные плавники мировой рыбы, украшая его <своими> именами. Времена этих звезд стоят на основании два, а когда имена звезд внешнего пояса носят названия разных видов тщедушной смерти и человеческой трущобы (мор<а>, не<ти>, небытия), где тонет челнок человеческой жизни, – времена обращений этих солнц построены на основании три, и тройка роковым колесом смерти несет их телегу, их "турусы на колесах" по простору времен.
Где полнокровное Я, плеснув до неба и там имея спутником земной жизни два, любит словарь, заключающий "деву", "добро", "дело", а разные виды смерти и мира вне человеческого Я, пройдя ниткой через имена звезд, имеют своими спутниками "труп", "труд", "труну" и другие случаи расплесканной чаши человеческой жизни.
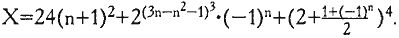
Где года звезд внутреннего кольца, полного человеческих голосов, кликов жизни, связывает хитрое уравнение:
![]()
Подставляя вместо n – 1, 2, 3, 4, получим X = 88, 224, 363, 687, то есть года Меркурия (торгаша), Венеры (любви-красотки), Земли (жены), Марса (воина).
Вес этих светил все время растет, а года звезд с убывающим весом для внешнего пояса построены прекрасным величавым уравнением:
X = 365 (3 + 3) − 48 (1 + З) + 365.
Подставляя вместо n – 1, 2, 3, получим X = 4332 дня, 10759 и 30688 <дней> – времена Юпитера, Сатурна, Урана.
То же уравнение в единицах года –
X = 3 + 3
со значениями X = 12 лет, 30 лет и 84 года, а для первых четырех звезд с людскими именами существует еще уравнение жизни:
X = 2·2 + (n-1) 3·2 − 2 суток,
где n = 1, 2, 3, 4; X = 88, 224, 364, 687. То есть уравнение спутников Солнца с возрастающим весом построено на основании д в а, а года спутников убывающего веса, ущерба вещественной жизни, построены на основании три.
Где мы начинаем догадываться о жизни чистых законов времени и о богатых каменоломнях, скрытых в этой мысли.
Где, изучая трещины и сдвиги пластов мирового времени по записям чуткой иглы войн и падений государств, чуткой к мировым бурям и сотрясениям воздуха, мы начинаем думать, что через 3 дней наступает обратное первому событие (равно как через 3 + 3), а через 2 дней приходят созвучные, летящие по одному и тому же пути, события. Так чередуется во времени да и нет.
Вот почему через 3 + 3 дней после битвы, бывшей 26.X.1581 при Искере, когда Ермак завоевал Сибирь и взял ее столицу, наступил день битвы при Мукдене, 26.11.1905, когда движению людей Запада (русских) на Восток был положен порог.
Вот почему через 3 + 3 дней после взятия 24.VIII.410 г. бурными дикими народами Востока столицы Запада, Рима, наступил день битвы на Куликовом поле, 26.VIII.1380, когда народам Востока был дан отпор.
Вот почему Мин был убит через 3 = 243 дня после Московского восстания, которое он подавил, а падение самодержавия 13.III.1917 наступило через 2 после вооруженного восстания в Москве 22–25.XII.1905 года.
Где мы начинаем думать, что открыв чистые законы времени, мы перестаем нуждаться в войне как грубом измерении мировых сдвигов, переходя к изящным и нежным измерениям посредством вычисления, или к числу вместо драки; что первый опыт наших знаний о времени внесет правду в отношения между поколениями, как первый опыт знаний о пространстве внес правду в земельные споры и тяжбы соседей.
Где пользуясь законом отрицательного сдвига через 3 дней, мы составляем роспись поворотов вправо по отношению к
10. XI.1917 – советскому сдвигу: через 3 + 3 дней – 6.XI.1921, признание царских долгов; через 3 – будет 7.XI.1923 года; через 3 + 3 будет 4.XI.1929 года; через 3 будет 1.XI.1935 года, очередной сдвиг вправо относительно 10.XI.1917. И, таким образом, приклеиваются, как было некогда в "Трубе Марсиан" возвещено, "очи на будущее" (во времени – слепой затылок вперед, в пространстве – затылок назад).