Начнем с того, что очень примитивным образом определенно может и уже помогла без особого шума. Я вспоминаю старые печатные издания, – географические карты мира, насколько я понимаю – на которых изображены ад, чистилище и рай, первый из которых расположен под землей, а последний высоко в небе. Подобное представление не являлось чистой аллегорией (как это было в более поздний период, например, на знаменитой картине Дюрера Все святые; оно свидетельствует о вере, бытовавшей в то время. Сегодня ни одна церковь не требует от правоверных подобной материалистической интерпретации своих догм, более того, она серьезно осудит такое отношение. Этому прогрессу определенно способствовало познание внутреннего устройства нашей планеты (хоть и скудное), природы вулканов, состава атмосферы, вероятной истории солнечной системы и структуры галактик и вселенной. Ни один культурно образованный человек не стал бы искать эти догматические вымыслы в какой-либо области части пространства, доступной нам для исследований, более того, осмелюсь сказать, что и в областях пространства, недоступных для исследований, он бы придал им, даже будучи уверенным в их реальности, духовный статус. Не стану утверждать, что в случае людей глубоко религиозных подобное озарение произойдет не раньше, чем вышеуказанные открытия науки, но они определенно принесли пользу в искоренении материалистического суеверия в этих вопросах.
Впрочем, все это относится к достаточно примитивному состоянию разума. Существуют вопросы более интересные. Наиболее важным является вклад науки в разрешение сложных вопросов типа "Кто мы на самом деле? Откуда я и куда иду?" – или, по крайней мере, в успокоение наших умов – так вот, наиболее ценная помощь, которую нам оказала в этом наука, с моей точки зрения, это постепенная идеализация времени. Когда мы размышляем об этом, на ум обычно приходят имена трех человек, хотя многие другие, и не только ученые, внесли свой вклад, например, Блаженный Августин из Гиппона и Бётиус; тех же троих зовут Платон, Кант и Эйнштейн.
Первые двое не были учеными, но их острая преданность вопросам философии, их всепоглощающий интерес к миру произошли из науки. В случае с Платоном это была математика и геометрия ("и" кажется неуместным союзом сегодня, но, думаю, в то время было по-другому). Что наделило работу всей жизни Платона таким непревзойденным отличием, что по прошествии более двух тысяч лет она продолжает сиять неослабевающим блеском? Насколько нам известно, ему не принадлежат какие-то великие открытия, связанные с числами или геометрическими фигурами. Его представления о материальном мире физики и жизни одновременно и великолепны, и несовершенны, они уступают представлениям других (мудрецам от Фалеса до Демокрита), живших до него (некоторые более чем на сто лет раньше); по части знаний о природе его сильно превзошел Аристотель, его ученик, и Теофраст. На всех, за исключением ревностных поклонников, длинные фрагменты его диалогов производят впечатление беспричинного словоплетения, нежелания определить значение слова в расчете на то, что слово само проявит свое содержимое, если его использовать достаточно долго. Его социально-политическая Утопия, которая провалилась и подвергла Платона смертельной опасности, когда тот попытался реализовать ее на практике, находит в наши дни немного поклонников, которые видели нечто подобное. Так что же сделало его знаменитым?
По-моему, то, что он был первым, кто занялся рассмотрением идеи существования вне времени, и подчеркивал – вопреки здравому смыслу – ее реальность, более реальную, чем наше фактическое существование; это, говорил он, не что иное, как тень первого, из которого заимствуется вся воспринимаемая реальность. Я говорю о теории форм (идей). Каким образом она появилась? Нет сомнения в том, что толчком послужило знакомство Платона с учениями Парменида и элеатов. Но также очевидно и то, что у самого Платона была конгениальная жилка – событие, находящееся точно на линии его собственного красивого сравнения, заключающегося в том, что обучение путем рассуждения имеет характер припоминания знания, известного ранее, но латентного в данный момент, а не открытия совершенно новых истин.

Однако, парменидово извечное, вездесущее и неизменное Единое получает в разуме Платона мощное развитие и превращается в Мир Идей, обращенный к воображению, хотя, по необходимости, остающийся загадкой. Но мысль эта, я полагаю, возникла из вполне реального опыта: открытия в мире чисел и геометрических фигур повергли Платона в восхищение и благоговейный трепет – как многих после него и пифагорейцев ранее. Он осознал и глубоко впитал разумом природу этих открытий, то, что они раскрываются путем чистых логических рассуждений, что знакомит нас с истинными отношениями, истинность которых не только неопровержима, но и очевидна во веки веков; отношения были и останутся истинными независимо от нашего к ним интереса. Математическая истина находится вне времени, она не возникает тогда, когда мы ее открываем. При этом ее открытие остается вполне реальным событием, это можно сравнить с эмоциями, возникающими при получении от феи великого дара.

Высоты треугольника (ABC) пересекаются в точке (О). (Высота – это перпендикуляр, опущенный из вершины на противолежащую сторону или на ее продолжение). На первый взгляд непонятно, с чего им пересекаться в одной точке; три произвольные прямые не пересекаются, они обычно образуют треугольник. Проведем через каждую вершину прямую, параллельную противолежащей стороне, в результате чего получим больший треугольник А’В’С'. Он состоит из четырех конгруэнтных треугольников. Высоты ABC в большем треугольнике являются перпендикулярами, восстановленными в серединах сторон, их "линиями симметрии". Перпендикуляр, восстановленный в точке С, должен содержать все точки, удаленные на одинаковое расстояние от точек А’ и В’; перпендикуляр, восстановленный в точке B, должен содержать все точки, удаленные на одинаковое расстояние от точек А’ и С’. Следовательно, точка, в которой пересекаются эти перпендикуляры, удалена на равные расстояния от всех трех вершин А’, В’, С’ и, следовательно, должна лежать на перпендикуляре, восстановленном в т. А, поскольку он содержит все точки, равноудаленные от точек В’ и С’. Q.E.D.
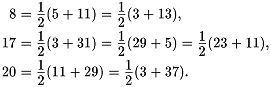
Каждое целое число, за исключением 1 и 2, "лежит в середине" двух простых чисел, то есть является их средним арифметическим; например

Как видите, обычно имеется более одного решения. Теорема носит имя Гольдбаха и считается истинной, хотя и не была доказана.
Складывая последовательно нечетные числа, когда сначала имеем 1, затем 1 + 3 = 4, затем 1+3 + 5 = 9, затем 1 + 3 + 5 + 7 = 16, вы всегда получите квадрат числа, более того, таким образом вы получите все квадраты числа нечетных чисел, входящих в сумму. Чтобы понять общность этого отношения, можно заменить в сумме слагаемые каждой пары, члены которой равноудалены от середины (т.е. первый и последний, второй и предпоследний и т.д.) их средним арифметическим, которое, очевидно, равно числу слагаемых; итак, для последнего из вышеприведенных примеров имеем: 4 + 4 + 4 + 4 = 4?4.
Обратимся теперь к Канту. Общепринято считать, что он учил идеальности пространства и времени, и что это было фундаментальным, если не самым фундаментальным, аспектом его учения. Как и большую часть учения Канта, его нельзя ни подтвердить, ни опровергнуть, но интерес к предмету от этого не пропадает (скорее, повышается: при возможности доказательства его истинности или ложности случай был бы тривиальным). Смысл заключается в том, что протяженность в пространстве и происхождение в строго определенном порядке (в терминах "до" и "после") не является качеством воспринимаемого мира, а относится к воспринимающему разуму, который, во всяком случае, в настоящей ситуации, не может не зарегистрировать все, что ему предлагается, по этим двум индексам: пространству и времени. Это не означает, что разум постигает схемы-очередности, невзирая на какой бы то ни было опыт или до получения оного, это означает, что разум не может не развить их и применить к опыту при представившейся возможности, и, в частности, то, что этот факт не доказывает (или не предполагает), что пространство и время являются схемой-очередностью, неразрывно связанной с той самой "вещью в себе", которая, как считают некоторые, является причиной нашего опыта.