Всего за 150 руб. Купить полную версию
Если предположить заведомо заниженную цифру хищений электроэнергии на уровне 1 %, то получается, что 210 тыс. однофазных счетчиков находятся в режиме учета похищенной электроэнергии. Если для обычной двухкомнатной квартиры потребление составляет примерно 150 кВт–ч в месяц на один счетчик, то в итоге величина похищенной электроэнергии будет равна 31,5 млн кВт–ч или, в денежном исчислении (при одноставочном тарифе для бытовых потребителей в среднем 2 руб. за 1 кВт–ч), – 63 млн руб. в месяц. В годовом исчислении это значение составит как минимум около 760 млн руб. Реальность такого огромного ущерба подтверждается проверками по фактам выявления хищений электроэнергии, а также данными, приведенными в упомянутом выше приказе РАО "ЕЭС России", где указано, что АО–энерго теряют в среднем 12–15 % платежей по данной группе потребителей.
Фактический ущерб для АО–энерго гораздо выше полученной оценки, поскольку в приведенный прикидочный и заведомо заниженный подсчет не вошли, например, хищения электроэнергии промышленных и бытовых потребителей в трехфазных сетях.
Финансовые потери АО–энерго из–за отсутствия и (или) несовершенства средств учета электроэнергии ежегодно составляют более 15 млрд руб. И это при объеме инвестиций в формирование необходимой системы учета порядка 34 млрд руб.
Следует учитывать еще один неблагоприятный фактор: при несанкционированном самовольном подключении нагрузки к электрическим сетям снижается уровень напряжения, могут ухудшаться и другие показатели качества электроэнергии. Это приводит к дополнительному ущербу, связанному со снижением производительности оборудования, ухудшением качества продукции, ее браком, а в ряде случаев – с отказами некоторых приборов, чувствительных к отклонениям показателей качества электроэнергии от нормируемых значений.
Кроме того, хищение электроэнергии искажает статистику энергосбережения и приводит к росту небаланса между выработанной и отпущенной электроэнергией. В настоящее время все большее число энергоснабжающих организаций сталкивается с проблемой значительных небалансов, превышающих допустимые значения.
Расчет, анализ и сопоставление допустимых небалансов с фактическими способствуют реальной количественной оценке коммерческих потерь в электрических сетях и позволяют осуществлять контроль достоверности учета электроэнергии во всех звеньях системы электроснабжения. Все составляющие баланса, кроме потерь электроэнергии в силовых трансформаторах, должны быть измерены счетчиками расчетного и технического учета.
В соответствии с Типовой инструкцией по учету электроэнергии при ее производстве, передаче и распределении значение фактического небаланса НБф в электрических сетях следует определять по формуле
![]()
где Wп – поступление электроэнергии на шины подстанции;
Wо – отпуск электроэнергии;
W с.н. – расход электроэнергии на собственные нужды;
W х.н. – расход электроэнергии на хозяйственные нужды подстанции;
Wп.н. – расход электроэнергии на производственные нужды;
ΔWтр– потери электроэнергии в силовых трансформаторах подстанции.
К дополнительному и неучтенному росту фактического небаланса приводит увеличение составляющей Wo в формуле (1) за счет хищения отпущенной электроэнергии, а отчетные данные по энергосбережению в этих случаях оказываются заниженными соответственно неучтенной доле коммерческих потерь.
Определение фактического небаланса электроэнергии по районным электрическим сетям, предприятиям электрических сетей или по АО–энерго в целом возможно в том случае, если производится расчет технических потерь в сетях всех классов напряжения, включая и сети напряжением 0,38 кВ.
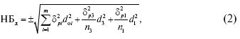
В соответствии с требованиями указанной Типовой инструкции значение фактического небаланса не должно превышать значение допустимого небаланса НБд (НБф ≤ НБд), которое определяется по следующей формуле

где m – суммарное количество точек учета, фиксирующих поступление наибольших потоков электроэнергии и отдачу электроэнергии особо крупным потребителям (применительно к соответствующему структурному подразделению);
δpi – погрешность измерительного комплекса i– й точки учета электроэнергии;
d oi – доля электроэнергии, учтенной i –й точкой учета;
δp 3 – погрешность измерительного комплекса (типопредставителя) трехфазного потребителя (мощностью менее 750 кВ–А);
δpl – погрешность измерительного комплекса (типопредставителя) однофазного потребителя;
n 3 – число точек учета трехфазных потребителей (кроме учтенных в числе m ), по которым суммарный относительный пропуск электроэнергии составляет d 3 ;
n 1 – число точек учета однофазных потребителей (кроме учтенных в числе m), по которым суммарный относительный пропуск электроэнергии составляет d 1 .
При отсутствии методики оценки экономического ущерба от хищения электроэнергии, которую нет возможности разработать из–за отсутствия репрезентативных (полных и достоверных) статистических данных по фактам ее хищения, нет надежной основы даже для приблизительной оценки реального ущерба от хищения электроэнергии. А одного лишь качественного анализа даже значительного количества случаев хищений электроэнергии (которое неизвестно до сих пор и вряд ли будет точно известно и в дальнейшем), для решения этой проблемы, разумеется, недостаточно.
Глава 3 Административно–уголовная ответственность за хищение электроэнергии
3.1. Общие положения
Из всех законодательных документов высшего уровня (кодексов РФ) ответственность за хищения (кражу, обман, мошенничество и т. д.) предусмотрена лишь в Кодексе РФ об административных правонарушениях (КоАП РФ) и в Уголовном кодексе (УК) РФ.
Ни в Гражданском кодексе (ГК) РФ, ни в Трудовом кодексе РФ за вышеуказанные деяния не предусмотрена дисциплинарная или какая–либо иная ответственность.
Данное обстоятельство говорит о том, что хищение в любой форме является сравнительно тяжелым видом правонарушения или преступления и должно караться наказаниями в соответствии с положениями КоАП РФ или УК РФ.
Гражданская ответственность в этом случае заключается, главным образом, в применении к правонарушителю (должнику) в интересах другого лица (кредитора) установленных законом и договором мер воздействия (санкций), влекущих для должника экономически невыгодные последствия имущественного характера – возмещение вреда, уплату неустойки.
3.2. Административная ответственность
Административным правонарушением признается противоправное, виновное действие (бездействие) физического или юридического лица, за которое законом (КоАП РФ) установлена административная ответственность.
Административное наказание применяется в целях предупреждения совершения новых правонарушений как самим правонарушителем, так и другими лицами и не может иметь своей целью унижение человеческого достоинства физического лица, совершившего административное правонарушение, или причинение ему физических страданий, а также нанесение вреда деловой репутации юридического лица (пп. 1, 2 ст. 3.1 КоАП РФ). Лицо, которому назначено административное наказание за совершение административного правонарушения, считается подвергнутым данному наказанию в течение одного года со дня окончания исполнения постановления о назначении административного наказания.
Хищение электроэнергии квалифицируется как один из видов административного правонарушения, влекущего за собой взыскание причиненного реального ущерба в гражданском порядке и привлечение виновников к административной ответственности, как правило, к административному штрафу.
Согласно ст. 7.19 КоАП РФ самовольное подключение к электрическим сетям, а равно самовольное (безучетное) использование электрической энергии влечет наложение административного штрафа на граждан от 15 до 20 минимальных размеров оплаты труда (МРОТ), на должностных лиц – от 30 до 40 МРОТ, на юридических лиц – от 300 до 400 МРОТ.
Административным правонарушением, косвенно связанным с хищением электроэнергии, является ввод в эксплуатацию электропотребляющих объектов без разрешения соответствующих органов, что в соответствии со ст. 9.9 КоАП РФ влечет наложение административного штрафа на должностных лиц в размере от 10 до 20 МРОТ, на юридических лиц – от 100 до 200 МРОТ.
Однако величины этих штрафных санкций, как правило, несопоставимы с реальной стоимостью похищенной электроэнергии, т. е. занижены (реже – если ущерб меньше штрафа – завышены). Поэтому данный вид административного наказания не может являться основным средством борьбы с расхитителями электрической энергии; он должен служить дополнением к тем мерам, которые предусмотрены (или должны быть предусмотрены) в ведомственных нормативных документах энергоснабжающих организаций.
С целью хищения электрической энергии или еще по каким–либо причинам у счетчика может быть сорвана или повреждена пломба, наложенная правомочным должностным лицом. Если такое деяние совершено умышленно, то оно также является административным правонарушением. В этом случае, даже если не установлен факт хищения электрической энергии, в соответствии со ст. 19.2 КоАП РФ граждане подвергаются административному штрафу в размере от 1 до 3 МРОТ, а должностные лица – от 3 до 5 МРОТ.