Всего за 99.9 руб. Купить полную версию
В общем случае токсичный выброс может поступать в окружающую среду в виде парогазового объема и пролива (разлития), при испарении которого возникает вторичный источник загрязнения атмосферы. Продолжительные токсичные выбросы, кроме того, могут служить источниками струй (для жидкостей и тяжелых газов), токсичных туманов, задымлений и запылений.
Рассмотрим особенности формирования и развития этих выбросов.
Паровой клуб или облако возникают при краткосрочном выходе в атмосферу легкоиспаряющегося токсиканта, плотность которого в газообразном состоянии ниже плотности атмосферного воздуха. При этом в зависимости от интенсивности высвобождения внутренней энергии рабочего тела в атмосфере формируется газообразный объем в виде клуба или термина. В случае продолжительного напорного выхода токсиканта в атмосфере возникает выброс струйного типа. Математические модели и алгоритмы нахождения физических характеристик этих объектов описаны в Главе 4 этой книги.
Если паровой клуб или облако, струя, а также гомогенный токсичный объем состоят из взрыво- или пожароопасного вещества, то их поведение в атмосфере и характеристики аварийного развития не отличаются от соответствующих характеристик выбросов горения или взрыва. Для их определения можно воспользоваться формулами предыдущих разделов.
В соответствии с [1] разлитие (пролив) - это выброс жидкости, возникающий при ее истечении из технологических установок в случаях нарушения их целостности. Причем формирование атмосферного выброса из разлития существенным образом зависит от их летучести, особенностей фазового перехода и теплофизических свойств.
Различают [1] четыре категории жидкостей. К первой относят "криогенные жидкости". Они имеют критическую* температуру ниже температуры окружающей среды и могут быть сжижены только после охлаждения с последующим сжатием.
Напомним, что при температурах больших, чем критическая, вещество не может находиться в жидком состоянии. При соответствующем этой температуре давлении имеется возможность сжижения газообразной фазы.
Примерами таких жидкостей служат сжиженный природный газ (смесь метана с другими углеводородами), атмосферные газы (азот, кислород).
Ко второй категории относятся жидкости, у которых критическая температура выше, а точка кипения ниже температуры окружающей среды. Они легко сжижаются простым сжатием и при разгерметизации сосудов частично "мгновенно" испаряются, а оставшаяся часть охлаждается до точки кипения при атмосферном давлении. При этом возникают паровые клубы или облака. Так ведут себя сжиженные нефтяные газы, пропан, бутан, аммиак, хлор и др. Эти жидкости являются газами при температуре окружающей среды и хранятся в сосудах под давлением.
К третьей категории отнесены вещества, являющиеся жидкостями при атмосферном давлении и испаряющиеся значительно медленнее, чем жидкости первых двух категорий. Их испарение определяется главным образом состоянием атмосферы (в основном ветром). Примером служит бутан, этиленоксид и другие вещества.
К четвертой категории относятся те же вещества, что и к третьей, но содержащиеся при подводе тепла и при давлениях, превышающих критическое. При разгерметизации сосудов они ведут себя как сжиженные газы (перегретый водяной пар и циклогексан).
Токсичные выбросы, возникающие из проливов жидкостей первой категории в атмосфере, представляют собой паровые клубы или облака и рассчитываются по известным [8,46,39,73] методикам.
При проливах жидкостей второй категории в случае мгновенного испарения можно получить некоторые характеристики атмосферного выброса, если предположить, что возникший парообразный объем состоит только из вещества пролива, а воздух в него не вовлекся [1]. Считается, что испаряющийся пар движется со звуковой скоростью от мгновенно испаряющейся жидкости пролива.
На практике возникший выброс будет состоять из смеси токсиканта и воздуха, кроме того, звуковая скорость не будет достигнута, и жидкость превратится в смесь пара, газа, пены и воздуха, а выбрасываемые капли при бурном процессе распада могут выходить далеко за пределы теоретически рассчитанной паровой оболочки. Корректной оценки возникающего атмосферного выброса из известных нам литературных данных не существует.
Если выброс разлития состоит из невзрывоопасного и непожароопасного вещества (жидкости третьей категории), то на месте пролива возникает локальный ареал загрязнений ("лужа"). Ее конфигурация и площадь определяются теплофизическими свойствами вещества (вязкость, температура, теплота испарения), а также рельефом местности и метеоусловиями (наличие ветра, температура атмосферы, влажность и т.п.).
Токсичное воздействие такого выброса локализовано в пределах площади пролива и при условии своевременного сбора и нейтрализации загрязнений приводит к минимальному ущербу для природных сред. При большой площади разлития и определенных атмосферных условиях вещество пролива интенсивно испаряется, что может привести к токсичным туманам и выпадениям токсичных дождей.
Испарение определяется [127] как процесс перехода вещества из твердого или жидкого состояния в пар. В случае перехода из твердого состояния непосредственно в парообразное этот процесс чаще называют сублимацией. Термин испарение обычно означает все процессы парообразования, за исключением особо оговоренных случаев (например, испарение воды через ткани живых растений называют транспирацией).
Интенсивность испарения Е, по результатам исследований Дальтона [123], а затем Солднера [124], может быть описана формулами:

Здесь
- функция средней скорости ветра;
Еb - интенсивность испарения при точке кипения в сухом воздухе при атмосферном давлении Р (т.е. при давлении насыщенного пара при температуре точки кипения);
I*s - давление насыщенного водяного пара при температуре водной поверхности;
Iа - давление пара в воздухе.
Связь давления насыщенного водяного пара с температурой описывается формулой:
I* = Р- ехр[-(250+ Тb - Т)- (Тb - Т)/ 6976],
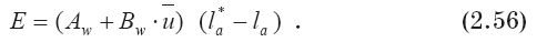
где Тb - температура кипения при атмосферном давлении Р Дальнейшим развитием и углублением проблемы были работы Вайленмана [125]. Он выразил интенсивность испарения в виде линейной функции от средней скорости ветра и и дефицита насыщенного воздуха:
![]()
В этой формуле:
Aw и Bw - постоянные, /*а - давление насыщенного пара при температуре воздуха.
Соотношения (2.56) и (2.55а) эквивалентны лишь при равенстве температуры воздуха и воды.
Наконец, Штеллинг [126], объединяя уравнение Дальтона (2.55) и уравнение Вайленмана (2.56), получил уравнение, корректно решающее проблему