Всего за 99.9 руб. Купить полную версию
2.4. Расчеты физических характеристик пожара
а) Пожары пролива или разлития Модель пожара пролива формируется с учетом следующих факторов:
- скорость горения;
- размеры разлития;
- высота пламени;
- наклон и увеличение пламени по направлению ветра;
- мощность излучающей поверхности;
- геометрический фактор;
- атмосферная проводимость;
- тепловой поток, воспринимаемый объектом. Тепловое воздействие на окружающую природную среду при горении различных жидкостей на поверхности разлития рассматривается в работах [106, 115].
В методике МЧС [115] предложен порядок оценки последствий пожара разлития, вызванного аварийными ситуациями на объектах по хранению, переработке и транспортировке горючих жидкостей. Приведем его основные положения.
При разрушении трубопровода объем вытекшей жидкости определяется по формуле:
V = 0,79 D2L , (2.33)
где D - диаметр трубопровода, м; L - длина отрезка между соседними отсека-телями, м.
При свободном растекании диаметр разлития определяется из соотношения:
![]()
где d - диаметр разлития, м; V - объем жидкости, м3. Величина теплового потока q на заданном расстоянии х от горящего разлития определяется по формуле:
q = 0,8Q0 e−0,33x , (2.35)
где Q0 - тепловой поток на поверхности факела, кВт/м2, значения которого для некоторых веществ приведены в Таблице 2.3,
х - расстояние до фронта пламени, м.
Расстояние х, на котором будет наблюдаться тепловой поток с заданной величиной q, определяется по формуле:
x 33 ln(0,8 Q 0/ q) = . (2.36)
Величина индекса дозы теплового излучения I определяется из соотношения:
I = 60 q4/3 , (2.37)
Возможность воспламенения различных материалов представлена в Таблице 2.4 При величине теплового потока более 85 кВт/м2 воспламенение происходит через 3-5 с.
Таблица № 2.3. Тепловой поток на поверхности факела от горящих разлитий.

Таблица № 2.4. Тепловые потоки, вызывающие воспламенения некоторых материалов.

Методика расчета характеристик горения, предложенная в работе [106], включает следующие основные предположения и эмпирические соотношения.
1. Горение рассматривается как диффузионное (т.е. непосредственно зависящее от режима эжекции воздуха в зону горения) и происходит с открытой поверхности (в самом резервуаре при срыве перекрытия или при разлитии в пределах защитного ограждения).
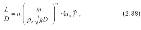
2. Высота (длина - L) видимой части пламени (излучающей определенную долю тепла) определяется гидродинамическими факторами и наиболее достоверно может быть рассчитана по эмпирической формуле Томаса [116] с учетом влияния ветра на скорость сгорания, а следовательно, и на длину пламени


где m - массовая скорость выгорания с поверхности, кг · м -2 · с-1;
ра - плотность воздуха, кгкм-3;
D - эквивалентный диаметр очага горения, м;
W0 - скорость ветра, мкс-1;
рπ - плотность паров топлива при температуре поверхности раздела фаз (для кипящих сжиженных газов - температура кипения при атмосферном давлении), кг/м3.
Эмпирические коэффициенты в формулах Томаса (а1 = 55; = 0,67; с1 = -0,21) получены по результатам экспериментов, выполненных для широкого диапазона параметров
![]()
применительно к самым различным горючим жидкостям и сжиженным газам.
3. Пламя рассматривается как оптически "серый" монохроматический поверхностный излучатель.
4. При расчете внешнего излучения сложная, изменяющаяся во времени геометрическая форма пламени рассматривается как цилиндрическая поверхность с сохранением реальных значений высоты и (эквивалентного) диаметра основания пламени.
Количество теплоты q, излучаемое факелом в направлении смежного объекта или сооружения [114], рассчитывается по формуле
q = I0 ехр(-βг)ΦFΦ /(πг2), (2.40)
где I0 - интенсивность излучения факела, Вт/м2;
Р - коэффициент ослабления среды, м1;
г - расстояние от излучающей поверхности до облучаемого объекта, м;
FΦ- площадь излучающей поверхности в направлении смежного объекта, м2;
Φ - коэффициент облученности.
Интенсивность излучающей поверхности факела определяют по закону Стефана - Больцмана. Эта величина сильно зависит от температуры пламени, т.к. теплоизлучение пропорционально температуре в четвертой степени.
Для определения критических расстояний между очагом пожара и окружающими объектами необходимо знать площадь поверхности факела, обращенного в сторону облучаемой поверхности, степень черноты факела, коэффициент облученности, температуру факела, среднюю скорость сгорания материалов, а также критические тепловые потоки.
В Таблице № 2.5 с учетом различных режимов горения приведены значения критических тепловых потоков для некоторых горючих материалов.
Отметим, что площадь поверхности факела, обращенного в сторону облучаемого объекта, приближенно определяют как произведение основания факела на его высоту, делая поправку на форму (очертание) поверхности.
б) Расчет параметров пожара при возникновении огневого шара [106].
Возникновение огневого шара характеризуется совокупностью таких физических процессов, как:
Таблица № 2.5.

Критические тепловые потоки, вызывающие воспламенение и самовоспламенение некоторых материалов.
- взрывное вскипание углеводородных жидкостей в резервуарах высокого давления;
- выброс содержимого резервуара в окружающее пространство с образованием быстро сгорающего аэрозольного облака (огневого шара) и ударной волны;
- разрушение сосуда и разлет его осколков.
Для возникновения огневого шара необходимы следующие предпосылки:
1. жидкость, хранящаяся в герметичном сосуде под давлением, к моменту вскипания (за счет сброса давления) должна быть "термодинамически перегретой" выше некоторого характерного предела относительно состояния насыщения при атмосферном давлении;
2. в результате аварийной разгерметизации несущего корпуса (либо неправильной работы предохранительных клапанов или разрывных мембран) должно произойти резкое падение давления над поверхностью раздела жидкой и паровой фаз.
Тепловая мощность Р сгорания огневого шара [117] массой М может быть найдена из уравнения:

где QH - теплота сгорания, МДж/кг;
τ - время существования объекта, с.
Вещества, часто приводящие при авариях к образованию огневого шара, имеют теплоту сгорания QH порядка 45 - 48 МДж/кг.
Для оценки опасности огневых шаров необходимо уметь предсказывать их размер и время существования. В частности, радиус огневого шара R (м) и время его существования т (с) могут быть найдены по эмпирическим формулам работы [115].
При оценке последствий воздействия огневых шаров было принято, что в диапазоне между нижним и верхним пределами воспламенения в период существования огневого шара находится около 60% массы газа (пара) в облаке и что эта масса более 1000 кг.
Вероятность поражения людей тепловым потоком зависит от индекса дозы теплового излучения I, который определяется из соотношения:
I = t(Q0R2 /Х2)4/3 (2.42)
где X - расстояние от центра огневого шара (X > R), м;
Qa - тепловой поток на поверхности огневого шара, кВт/м2, значения которого для наиболее распространенных веществ приведены в Таблице № 2.6.
Воздействия огневых шаров на здания и сооружения, не попадающие в пределы самого огневого шара, определяются наличием возгораемых веществ и величиной теплового потока q, которая определяется по формуле:
q = Q0R2/X2, (2.43)
при этом время жизни огневого шара принято равным 15 с.
Таблица № 2.6. Значения теплового потока на поверхности огневых шаров различных газов диаметром более 10 м.
