Всего за 99.9 руб. Купить полную версию

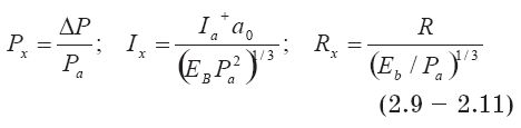
EB - энергия взрывного превращения (количество реагирующего вещества умноженное на теплоту сгорания),
Ра - атмосферное давление,
R - расстояние от эпицентра взрыва,
I+а - импульс положительной фазы,
ΔР - избыточное давление.
Отметим, что использование этих данных для прогнозов эффектов поражения и разрушения при воспламенении плоских вытянутых углеводородных облаков и аварий на магистральных трубопроводах требует значительного уточнения.
2.2. Факторы рисков опасных воздействий взрывов
Горение парового облака, происходящее, как правило, в режиме дефлаграции со скоростью 250 - 300 м/с, формирует в окружающей среде воздушную волну избыточного давления. Ударная волна при производственных авариях может вызвать большие людские потери и разрушения элементов сооружений. Размеры зон поражения от взрывов возрастают с увеличением их мощности.
Действие ударной волны на здания и сооружения характеризуется сложным комплексом нагрузок: прямое давление, давление отражения, давление обтекания и давление затекания, нагрузка от сейсмовзрывных волн и т. д.
При моделировании уязвимости сооружений сопротивляемость их элементов воздействию ударной волны принято характеризовать величиной избыточного давления на фронте ударной волны (дРф). Степень и характер поражения сооружений при взрывах во время производственных аварий зависят от следующих параметров:
а) мощности (тротилового эквивалента) взрыва;
б) технической характеристики сооружений объекта (его конструкции, прочности, размеров, формы и др.);
в) планировки объекта (рассредоточенности сооружений) и характера застройки;
г) ландшафта местности ( рельефа, грунта, растительности);
д) метеорологических условий (направления и силы ветра, влажности, температуры, наличия осадков) [109]. В Таблице № 2.1 представлены данные о избыточных давлениях на фронте ударной волны, вызывающих повреждение объекта разной тяжести.
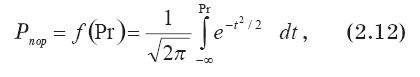
Вероятность достижения того или иного уровня ущерба можно рассчитать с помощью пробит функции [106, 107, 110].
В общем случае одно и то же воздействие различной физической природы (доза термической радиации, значение избыточного давления, ударный импульс и т.п.) может вызвать последствия различной тяжести, т.е. эффект поражения носит вероятностный характер. Величина поражения (Р измеряется в долях единицы или процентах) выражается функцией Гаусса

Таблица № 2.1. Избыточное давление, вызывающее разрушение, (ΔРф), КПа.

в которой верхний предел интегральной функции является пробит-функцией, отражающей связь между вероятностью поражения и поглощенной дозой. Пробит-функция может быть вычислена по уравнению вида:
Pr = а + b • ln(D), (2.13)
где а и b - константы для каждого вещества или процесса, характеризующие специфику и меру опасности его воздействия,
D - поглощенная субъектом доза негативного воздействия.
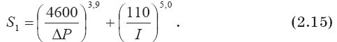
Вероятность малых повреждений зданий и сооружений можно оценить по соотношению:
Рг1 = 5 - 0,26 In S1, (2.14)
где влияние перепада давления в волне импульса фазы сжатия отражено фактором

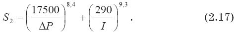
Вероятность трудно реставрируемых повреждений зданий и сооружений можно оценить по соотношению:
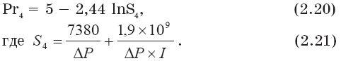
Рг2 = 5 - 0,26 In S2, (2.16)
В этом случае фактор

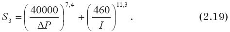
Вероятность невосстанавливаемых повреждений зданий и сооружений (обрушение несущих стен) можно оценить пользуясь соотношениями: Рг3 = 5 - 0,26 In S3, (2.18)

Следует отметить, что последствия взрыва представляют прямую и потенциальную опасность для человека. Люди могут получить повреждения от прямого воздействия (включая повышенное давление и тепловое излучение) и от косвенного (осколочное поражение, падение фрагментов изделий и т.п.).
Прямое или первичное поражающее действие взрывной волны связано с изменением давления в окружающей среде в результате прихода воздушной взрывной волны. Люди особо чувствительны к таким факторам взрыва, как избыточное давление в падающей и отраженных волнах, динамическое давление, скорость повышения давления до пикового значения после прихода взрывной волны и ее длительность, а также удельный импульс взрывной волны. Из других факторов, которые определяют степень поражения, нанесенного взрывной волной, можно назвать внешнее атмосферное давление, размеры и возраст человека. Органы тела, отличающиеся наибольшей разницей в плотностях соседних тканей, обладают наиболее высокой чувствительностью к первичному поражающему воздействию взрывной волны. Таким образом, ткани легких, наполненные воздухом, и ухо страдают от действия взрывной волны больше всего.
Общая характеристика воздействия избыточного давления на человека приведена в Таблице 2.2.
Отметим, что в случае нахождения людей в момент внешнего взрыва в зданиях, их поражение может наступить от механического воздействия за счет разрушения зданий (обрушения перекрытий и т. п.) уже при давлениях 0,3 - 0,5 бар. Ниже приводятся данные, позволяющие оценить вероятностные характеристики повреждений человека от аварийных негативных воздействий.
Таблица № 2.2. Воздействие избыточного давления на человека

Вероятность летального исхода от прямого воздействия на людей избыточного давления определяется с помощью пробит-функции:

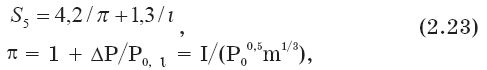
Вероятность разрыва легких оценивается по формуле:
![]()
где

P0 - начальное давление, m - вес живого организма, кг. Нижний уровень контузии связан с повреждением органов слуха и зависит только от перепада давления в волне. Он определяется пробит-функцией:
Рг6 = 12,6 - 1,524 lnΔР . (2.24)
Существенным фактором опасности представляется разлет осколков и фрагментов оборудования и стекла. К числу объектов, потенциально опасных по осколочному фактору поражения, можно отнести работающие при повышенном давлении оборудование для хранения и транспортировки горючего, помещения и емкости для сжатых газов, химических соединений и т.д. Обычно подобное оборудование изготавливается из особых сортов сталей и при разрыве образуется сравнительно малое число осколков. Однако разлет объемных удлиненных элементов оборудования может сопровождаться истечением жидкого или газообразного рабочего тела, что придает фрагментам дополнительный импульс. При разрыве сосудов и аппаратов высокого давления, при отрыве специализированных легко сбрасываемых конструкций или разрушении вышибных мембран также образуются дискообразные элементы. Полет таких элементов определяется не только силами тяжести и инерции, но и находится под влиянием подъемной силы. Это обстоятельство заметно влияет на дальность разброса фрагментов. Массивные фрагменты способны отлетать на весьма большие расстояния от места образования (на открытом воздухе до 100 м и более) и вызывать тяжелые вторичные разрушения при столкновении с объектами промышленной и жилой застройки.
Особого внимания требует вопрос об осколочном действии разрушающихся стеклянных перегородок и окон. Как правило, газовоздушный и пылевой взрыв сопровождается разрушением остекления. Так при избыточном давлении 3 кПа будет разрушено 50 % оконных стекол. Основное значении при определении поражений имеет информация о скорости и дальности разлета стеклянных осколков. С учетом опытных данных скорость разлета осколков стекла при типичных внутрицеховых взрывах может быть оценена величиной 20 + 7 м/с [105]. Также на основе опытов считается, что масса кусков стекла после взрыва не превышает 100 г.
Для определения поражения людей осколки при авариях условно делят на две подгруппы [77, 107]:
- режущие осколки,
- ударные осколки.
Режущие осколки отличаются способностью пробивать кожный покров и проникать внутрь тела. Ударные осколки не пробивают кожный покров, а наносят удар по телу, так что основной фактор поражения связан с механическим повреждением внутренних органов от соударения. Различие этих подгрупп осколков связано с их скоростью полета и формой. При некоторой скорости полета осколка V > V50 его относят к режущим осколкам, а при V < V50 к ударным. Для оценки уровня V50 в м/с можно использовать выражение
V50 = 1247 (A/m) + 22, (2.25)
где А - площадь миделевого сечения осколка, м2, m - масса осколка, кг. Вероятность тяжелых поражения людей разлетающимися режущими осколками с массой m < 0,1 кг оценивается по соотношению: