Всего за 99.9 руб. Купить полную версию
2.1. Взрывы
Одними из типов катастроф на промышленных объектах являются взрывы. Под взрывом понимают мгновенное расширение газовоздушной смеси, в результате которого происходит скачок давления или ударная волна. Основное отличие между пожарами и взрывами состоит в скорости выброса энергии. Во время пожара энергия освобождается медленно, в то время как при взрыве происходит одномоментный выброс энергии, обычно в течении микросекунд. В результате взрывов создаются опасные условия для жизни человека и окружающей природной среды. Взрывы часто приводят к частичному или полному разрушению объекта, ранениям или гибели людей.
Различают два типа взрывов: физические взрывы и химические. При физическом взрыве высвобождающаяся энергия является внутренней энергией сжатого или сжиженного газа. Сила таких взрывов зависит от внутреннего давления, а разрушения могут быть вызваны ударной волной от расширяющегося газа или осколками разорвавшегося резервуара. Масса образующихся паров и скорость парообразования при этом определяется по материальным и тепловым балансам двух возможных аварийных ситуаций: 1) тепловыделение с парообразованием происходит при постоянном объеме; 2) за тепловыделением при сохранении объема следует расширение с сохранением теплового равновесия.
К физическим взрывам относят также явления физической детонации, при которых возникает смешение горячей и холодной жидкостей, когда температура одной из них значительно превышает температуру кипения другой (например, вливание расплавленного металла в воду). Физическая детонация сопровождается возникновением ударной волны с избыточным давлением в жидкой фазе, достигающем в некоторых случаях тысяч атмосфер [103].
При химических взрывах энерговыделение обусловлено экзотермической реакцией между горючим и окислителем.
К опасным факторам взрыва (ОФВ), характеризующим его разрушительность, относят [104]:
• давление во фронте ударной волны;
• избыточное давление взрыва;
• среднюю и максимальную скорость нарастания давления при взрыве;
• дробящие или фугасные свойства взрывоопасной среды.
• Основными параметрами, характеризующими поведение процесса взрыва, являются:
• температура окружающей среды;
• давление в окружающей среде;
• состав взрывчатого вещества;
• физические свойства взрывчатого вещества;
• природа источника воспламенения: тип, энергия и длительность;
• геометрия окружающей среды: ограниченная или неограниченная;
• количество горючих материалов;
• время перед воспламенением;
• скорость выброса горючего вещества.
Поведение взрыва очень трудно охарактеризовать. Было принято много подходов к решению этой проблемы, включая теоретические, полуэмпирические и эмпирические исследования. Несмотря на эти попытки, поведение процесса понято еще не полностью. Поэтому в настоящее время используется подход, основанный на использовании экстраполяции результатов и обеспечивающий подходящий "запас безопасности".
К основным параметрам, характеризующим разрушающую способность взрывной волны, относят избыточное давление и импульс взрыва [77, 103]. В момент прихода взрывных волн ta давление среды повышается до максимального. Затем за время ta+Т+ снижается до давления окружающей среды Рo и продолжает снижаться до величины Рo- Р-s, а потом за общее время t = ta + Т+ + Т возвращается к исходному давлению Рo . Области взрывных волн, давление в которых превышает давление окружающей среды, называют положительными фазами, их продолжительность t+. Области, где давление ниже исходного, называют отрицательными фазами или фазами разряжения с продолжительностью t- и амплитудой Р-s.
Важнейшими параметрами взрывной волны являются положительные i+s и отрицательные i-s удельные импульсы, определяемые как функции времени амплитуд избыточного давления, отнесенного к единице поверхности [77, 103]:

В большинстве случаев определяют параметры взрывной волны, связанные с положительной
фазой. Однако, иногда (например, при взрывах сосудов со сжатыми газами и протяженных источниках взрыва) параметры отрицательной фазы достигают высоких значений и важны при оценке разрушающей способности взрывной волны.
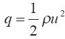
В области положительной фазы используются и такие важные параметры ударных волн, как плотность ρ и массовая скорость газа u за волной, скорость ударной волны u, динамическое давление

.
Последний показатель наиболее важен для оценки разрушающей способности ударной волны.

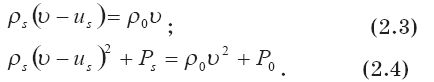
Параметры воздуха (газовой смеси) перед ударной волной и за ней определяются следующими уравнениями:
Здесь индекс "s" относится к параметрам воздуха непосредственно за ударной волной, а абсолютное давление Рs = Р+s + Р0.
Моделирование взрывов основано на закономерностях подобия, в основу которых может быть положен принцип "кубического корня" [1, 103]. Этот принцип заключается в том, что если два заряда одного и того же ВВ одинаковой формы, но разного размера взрываются в одной и той же атмосфере, то подобные взрывные волны будут наблюдаться при одинаковом значении параметров расстояния:
K = R/E1/3 ’ (2.5)
где
R - расстояние от центра заряда, Е - полная энергия взрыва.
Для количественной оценки разрушающей способности ударных волн от взрывов парогазовых сред может использоваться количественный показатель m - масса горючего вещества, приведенная к единой энергии сгорания 46000 кДж/кг, равной удельной теплоте сгорания большинства углеводородов.
На основании результатов исследований последствий крупномасштабных промышленных взрывов паров углеводородов в незамкнутом пространстве для определения безопасного для людей расстояния RB от источника взрыва в виде парового облака массой m выведена формула [1] :
RB=(30-50)m⅓ . (26)
которая соответствует принципу подобия взрывов неорганизованных паровых облаков в области низких давлений.
Разрушающая способность ударных волн в значительной мере зависит от скорости энерговыделения в источнике. Если в сферическую область конечного размера энергия подводится очень медленно по сравнению со временем распространения звука в сфере, то давление не повышается и взрывной волны не будет. Если же энергию подводят очень быстро, то это приводит к росту давления и взрыву. Причем способ и скорость энерговыделения в источнике оказывают существенное влияние на уровень избыточного давления АР и импульс взрыва / [103].
Далее рассматриваются наиболее часто встречающиеся и наиболее разрушительные типы взрывов, описанные в литературных источниках[1, 77, 103, 105, 106, 108].
Взрыв парового облака в ограниченном пространстве
Так характеризуют процесс быстрого химического превращения (горения) газа или пара, происходящий в пространстве, имеющем материальные границы (отдельные аппараты, помещения, здания) и сопровождающийся образованием ударной волны. Причиной взрыва может стать утечка газа, произошедшая внутри здания, или проникновение газового облака, образовавшегося вне здания.
Взрыв парового или газового облака является результатом быстрого выделения энергии в окислительно-восстановительной реакции. При этом газ нагревается, и в условиях ограниченного пространства происходит увеличение давления (в некоторых случаях восьмикратное) [1, 105].
Для взрыва газо-воздушной смеси необходимы следующие условия:
- присутствие горючего газа;
- присутствие кислорода, причем для любого газа существует определенный уровень концентрации кислорода;
- наличие источника инициации химической реакции.
При взрыве возникает фронт пламени, который продвигается под воздействием расширяющихся продуктов сгорания газа. Видимая скорость пламени зависит от геометрии системы, в которой происходит взрыв.
Взрыв парового облака в неограниченном пространстве
Определяется как процесс быстрого химического превращения (горения) облака горючего газа (пара), сопровождающийся возникновением взрывной волны в открытом (неограниченном) воздушном пространстве. Этот тип взрывов происходит, например, при разливе сжиженного горючего газа. Газ рассеивается и смешивается с воздухом, пока не происходит взаимодействие с источником возгорания. Взрывы такого типа происходят довольно редко, так как концентрация взрывоопасных веществ часто находится ниже нижнего предела возгорания из-за разбавления газовоздушной смеси и ее рассеивания. Однако они являются одними из наиболее разрушительных, поскольку в процесс вовлекаются большие объемы газа и большие площади.
Взрыв парового облака в неограниченном пространстве состоит из нескольких последовательных шагов:
1. Внезапный выброс огромного количества воспламеняемого пара. Обычно это происходит при разрушении емкостей, содержащих перегретые жидкости под давлением.
2. Распространение газа по территории и смешивание с воздухом.
3. Возгорание образовавшегося парового облака.