
Рис. 2.55. Примеры признака "Строение линий и штрихов": а – тонкий почерк; б – линии с заострениями; в – тестообразный почерк; г – линии с утолщением
Графологические функции
Графологической функцией я называю зависимость одной черты личности от признаков почерка. Это действительно функция. В системе HSDetect и в прилагаемой к книге программе она так и представлена. С параметрами, входными составляющими и выходной переменной.
В обобщающей таблице мы уже видели вес признака. Он определяется тем, насколько, упрощенно говоря, признак почерка существенен при оценке психологических характеристик личности. Одни признаки используются повсеместно, другие реже. Одни признаки признаны всеми школами графологии, другие активно применяются не везде. Именно это отражает приведенный вес. Кроме этого коэффициент признака почерка, который мы увидим чуть ниже, учитывает и то, на сколько черт личности он влияет. Не на сами черты, конечно, а на их оценки графологическим методом. Чем больше таких черт личности, тем больше "размазывается" влияние признака и численно становится меньше. Чем с меньшим количеством черт личности данный признак почерка связан, тем интенсивнее эта связь.
Помните матрицу, которую мы упоминали в начале главы? В этой матрице отражено, какие признаки на какие черты личности в принципе указывают. Но это на качественном уровне. На формальном уровне каждая такая связь, которую мы назовем графологической зависимостью, также имеет свой вес. Он определяется и тем, как много экспертов поддерживают эту зависимость, и изначально заданной интенсивностью этой зависимости. Иногда говорят, что такой-то признак почерка явно указывает на такую-то черту характера, а другой – только на возможную тенденцию, а третий – указывает, но только при дополнительных условиях. Это я и называю интенсивностью. Она находит свое количественное выражение в коэффициенте графологической зависимости. Графологическая функция – это сумма графологических зависимостей.
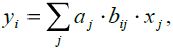
Я не буду перегружать здесь текст более детальными выкладками. Они представлены в других моих публикациях [8, 10]. Для нас достаточно, что имеются два указанных коэффициента. Оба определяются на интервале от 0 до 1. Для каждой черты личности совокупность графологических зависимостей составляет графологическую функцию. Обозначим уровень присутствия данной черты через yi а уровень признаков почерка – через хj – для j-го признака. Саму графологическую функцию мы представляем обычно в виде линейной или S-функции. Возьмем для простоты линейную. Тогда формальное выражение для уровня черты личности, т. е. графологическая функция, имеет следующий вид:

где aj и bij– соответственно описанные нами коэффициенты признака почерка и графологической зависимости. Понятно, что yi также может принимать значения от 0 до 1.
На этом хватит формализации. Она не относится к основной теме данной книги. Отметим только, что вес и количественное представление следует понимать не абсолютно, но относительно. Для нас важно соотношение между отдельными количественными показателями, а не их абсолютная величина. Если, скажем, одна графологическая зависимость имеет вес 0,2, а другая – 0,4, то это означает, что вторая вдвое сильнее первой. И только. У нас нет оснований сказать, что 0,2 – это маленький или большой вес. Это зависит от интерпретации самого графолога. Также, если определенная черта личности представлена с уровнем 0,4, то только графолог на основе своего опыта может это интерпретировать. У меня в результате моей практики выработались свои критерии. У другого графолога могут быть свои. Это и должно быть индивидуально. Главное, чтобы эксперт все свои оценки интерпретировал бы по одному и тому же принципу.
В последующих главах мы рассмотрим, как те или иные конкретные черты личности связаны с признаками почерка. Другими словами, посмотрим структуру графологических функций. Эта информация вполне пригодна для самостоятельного анализа почерка. Даже для малоподготовленного человека. Но при этом надо учитывать, что мы не включаем более сложные признаки почерка, поэтому приведенные зависимости являются приближенными. Интерпретировать их надо с известной осторожностью. Но и они подчас охватывают много признаков почерка. Чтобы с большей уверенностью говорить о наличии конкретной черты личности, надо бы, чтобы все эти признаки присутствовали в почерке. Это выполняется редко. Но, по крайней мере, чем больше из них имеют место, тем надежнее будет ваша оценка.
Глава 3 Процессы управления персоналом
Управление персоналом – очень многогранное явление. В нем участвуют так или иначе все работники фирмы, а также многие люди и организации из внешнего мира. Это и врачи, которые лечат работников и выписывают им бюллетени, и работники министерства или концерна, в который фирма входит, и региональные профсоюзы, и фирмы, организующие курсы по повышению квалификации или корпоративные вечеринки. И многие-многие другие. Основная причина, по которой в последние годы и десятилетия управление персоналом привлекает к себе все возрастающее внимание, – очень большая стоимость. Затраты на работников составляют часто львиную долю всех расходов. И это не только их зарплата, но многие другие явные и скрытые статьи расходов. Проблема экономистов заключается в том, что эти затраты очень трудно проанализировать, сделать их прозрачными, и тем самым взять под настоящий контроль.
Психология вообще, и анализ почерка в частности, непосредственно не смогут решить эту проблему управления персоналом. Но они помогут увидеть тонкие места в цепочке и оптимизировать направление усилий. Мотто можно сформулировать следующим образом: "Я не знаю, сколько это на самом деле стоит и почему, но вижу, что много, и поэтому постараюсь свои затраты уменьшить". Когда говорят об уменьшении затрат, то имеют в виду не простое уменьшение финансирования. Говорят об оптимизации, о том, куда их лучше направить.
Дадим следующую (сильно упрощенную) иллюстрацию к этому высказыванию. Вы можете сократить фонд зарплаты, если уволите определенное число работников и среди них преимущественно самых высокооплачиваемых. Естественно, самые высокооплачиваемые работники являются и лучшими специалистами. Их отсутствие моментально скажется на производстве, какое бы оно ни было. Вы выиграли в одном и тут же проиграли в другом. И, по-видимому, сильнее, так как основа фирмы – производство. Может быть, выгоднее было бы наоборот увеличить зарплату лучшим специалистам и еще сильнее привязать их к фирме, подтолкнуть их к более интенсивной работе? Или, например, дать возможность ключевому работнику закончить аспирантуру и защитить диссертацию, если он к этому стремится? Это связано с дополнительными расходами, но они могут с лихвой окупиться.
Деловая психология помогает лучше понять, как с кем себя вести. Кого как стимулировать. Кого принимать на работу. Каких людей объединять в одну команду, а каких – ни в коем случае. Кому можно доверять, а кого нужно постоянно и строго контролировать. И так далее.
Психодиагностические методы и управление персоналом
Когда мы говорим о психодиагностических методах в управлении персоналом, то имеем в виду, прежде всего, методы психометрические. Они предназначены для оценки в различных контекстах черт личности. Причем в приложении к производственной деятельности. Часто на предприятиях и в организациях работают различные психологические консультации. Их задача – диагностировать и лечить работников после и во время различных кризисных ситуаций. Например, после авиакатастроф или в период семейного кризиса. Так, одна из моих коллег работает психологом в Нью-Йоркском муниципалитете. Ее объект – пожарные. До сих пор большинство ее пациентов – результат теракта 11 сентября 2001 года. Такие работы остаются за рамками нашей книги. Мы имеем дело только с психометрическими методами, которые используют при приеме на работу, формировании рабочих команд и т. д. Подробнее об этом пойдет речь ниже.
В психометрии дело идет об измерении или оценке различных психофизических черт, которые формируют интеллект человека. Интеллект мы будем понимать достаточно широко: это не только умение решать математические задачки, но, например, и эмоциональный интеллект, и социальный интеллект. А методы оценки – это всевозможные тесты и, иногда, наблюдения. Как, например, в Ассессмент-Центре. Исследование почерка мы тоже относим к тестам.
Первый тест, который получил широкое распространение, был разработан французом Альфредом Бинэ еще в самом конце XIX века. Параллельно с Бинэ работал немецкий психолог Вильям Штерн. Он кстати ввел столь популярный термин IQ. Прорыв в использовании психометрических методов произошел в Америке в Первую мировую войну. Речь шла о наборе рекрутов. Применяли несколько переработанный тест Бинэ – так называемый Станфорд-Бинэ тест. Протестировано было 1 миллион 750 тысяч человек [26]. Причем использовали два варианта теста – для грамотных и для не умеющих читать.