
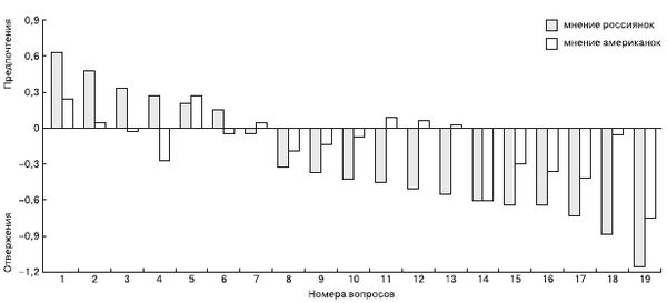
Рис. 19.1. Брачные предпочтения российских и американских женщин Вопросы: 1 – выйти замуж за человека более высокого социального статуса; 2 – выйти замуж за простого человека, хорошего хозяина, живущего "земными" проблемами; 3 – выйти замуж за человека другой национальности; 4 – выйти замуж за любимого человека с очень низкими доходами без перспективы их увеличить; 5 – выйти замуж за бизнесмена; 6 – выйти замуж за человека, посвятившего свою жизнь науке; 7 – выйти замуж за человека искусства (музыканта, поэта, артиста); 8 – выйти замуж за иностранца и уехать жить за границу; 9 – выйти замуж за военнослужащего; 10 – выйти замуж за политического деятеля; 11 – выйти замуж за рабочего; 12 – находиться на содержании у состоятельного мужчины; 13 – выйти замуж за "звезду" (спорта, эстрады, кино); 14 – выйти замуж без любви, по расчету; 15 – выйти замуж за фермера; 16 – выйти замуж за человека другой расы; 17 – не выходить замуж, полагая, что лучше прожить жизнь одной; 18 – выйти замуж за глубоко религиозного человека; 19 – выйти замуж за представителя криминальных структур
Некоторые предпочитают одиночество
Многие одинокие женщины отмечали, что они верят в то, что если останутся одинокими, то это поможет им сделать карьеру (Befe, 1993). Исследования доказывают, что у одиноких женщин, как правило, выше уровень образования, социальный статус и заработки, чем у женщин, которые вышли замуж, проходя обучение или закончив последний курс института. Одинокие женщины среднего возраста считают себя более независимыми и настойчивыми, чем замужние женщины, и придают большую ценность достижениям и личностному росту (Etaugh, 1993).
В обществе сохраняются устойчивые стереотипные представления об одиноких женщинах (Chasteen, 1994). Клэр Ито и ее коллеги (Etaugh, Malstrem, 1981; Etaugh, Petroski, 1985; Etaugh, Stern, 1984), например, указывали, что одинокие женщины средних лет считаются в обществе менее общительными и обаятельными, хуже приспособленными и менее привлекательными, чем замужние того же возраста. Распространено представление, что выбор в пользу одинокого образа жизни делает не сама женщина, а это определяется тем обстоятельством, что мужчины ею не интересуются. Такое мнение формируется в обществе, вероятно, за счет скрытой угрозы маскулинному доминированию, особенно если учесть, что одинокие женщины в состоянии позаботиться о себе сами (Etaugh, 1993)… Подобные социальные суждения могут снизить самооценку женщин и их Я-концепцию.
Палуди М., 2003, с. 260-261.
По данным Л. А. Коростылевой (2000), при отказе мужчин и женщин от вступления в брак учитываются среди прочих и отрицательные коммуникативные характеристики личности друг друга. Общими для тех и других неприемлемыми характеристиками являются грубость, вспыльчивость, гневливость. Кроме того, женщины считают неприемлемыми у мужчин отсутствие или недостаточную сформированность семейных установок, недостаточность проявления положительных чувств. К существенным женским недостаткам мужчины относят несдержанность, склонность к бурному проявлению эмоций и "взвинченность".
19.2. Коммуникативные потребности и цели, реализуемые в браке
Взаимоотношения между супругами во многом определяются тем, насколько их брак позволяет удовлетворять потребности и цели каждого. Среди этих потребностей и целей все авторы выделяют коммуникативные потребности: потребность в общении, в теплых, сердечных межличностных отношениях. Взгляд на то, что дает семья с точки зрения удовлетворения коммуникативных потребностей, у женщин и мужчин, по данным Л. А. Коростылевой (2000), практически одинаковый: 1) служит опорой в трудную минуту; 2) избавляет от одиночества; 3) приносит счастье материнства и отцовства. Однако для женщин в удовлетворении коммуникативных потребностей характерны и некоторые особенности.
Так, У. Харли (1992) показано, что у женщин основными потребностями, реализуемыми в браке, являются: 1) романтическая атмосфера в семье, нежность, проявляемая мужем; 2) потребность в общении (возможность поговорить с мужем обо всем, что случилось за день); 3) честность и открытость в отношениях с мужем. Мужчины надеются удовлетворить в браке такую коммуникативную потребность, как моральная поддержка со стороны жены.
Сходные данные получены Т. В. Андреевой и Т. Ю. Пипченко (2000): у женщин ведущими потребностями-ожиданиями от мужей являются следующие: 1) проявление нежности и заботы; 2) искренность и открытость в отношениях с мужем; 3) потребность в общении.
Мужчины меньше были склонны анализировать и осознавать свои потребности, связанные с браком. Молодые мужчины указывали на потребность в моральной поддержке. Потребность в совместном проведении отдыха с женой ими не отмечалась.
19.3. Совместимость супругов
Межличностные отношения между супругами во многом зависят от их психологической и психофизиологической совместимости. Можно было бы предполагать, что у совместимых супругов имеется полное сходство психологических характеристик. Однако это не так. В ряде исследований отмечается как совпадение, так и расхождение совместимых супругов по ряду личностных характеристик. А. Н. Волкова (1979), например, указывает, что тенденцию к контрасту имеют черты, в большей мере обусловленные природными факторами: общительность, реализм, доверчивость, тревожность, консерватизм, смелость, доминантность, искушенность. Те же характеристики, которые больше зависят от прижизненных влияний, у совместимых партнеров оказались сходными: интеллектуальность, беспечность, практичность. Н. Н. Обозов и А. Н. Обозова (1981, 1982) при выяснении степени совместимости брачных партнеров во многом подтвердили эти данные, однако по ряду факторов выявилось и расхождение с данными А. Н. Волковой.
На социально-психологическом и социокультурном уровнях совместимость в большей степени определяется согласованностью семейных ценностей, ролей, жизненных позиций, мотивов социального поведения.
Справедлива ли пословица "Рыбак рыбака видит издалека"?
Справедлива, и в этом можно не сомневаться. Вероятность того, что… помолвленные и супружеские пары разделяют установки, убеждения и нравственные ценности друг друга, значительно выше, чем вероятность аналогичного единодушия у пар, которые подобраны наугад. Более того: чем больше сходство между супругами, тем счастливее брак и тем менее вероятен развод (Byrne, 1971; Caspi, Herbener, 1990).
Притягиваются ли противоположности?
Можно ли сказать, что нас также привлекают и люди, в известной мере отличные от нас, а потому как бы дополняющие нас? Исследователи очень внимательно изучали эту проблему и сравнивали не только установки и убеждения друзей и супругов, но и их возраст, религии, отношение к курению, финансовые возможности, образовательные уровни, рост, умственные возможности и внешность. Результаты изучения этих и многих других параметров позволили сделать лишь один вывод: превалирует сходство (Buss, 1985; Kandel, 1978).
Тем не менее мы продолжаем упорствовать. Разве нас не привлекают люди, чьи потребности и личностные качества дополняют наши собственные? Даже журнал "Reader's Digest* учит нас: "Противоположности притягиваются… Общительные объединяются с любителями уединения, любители новизны – с теми, кто не любит никаких перемен, транжиры – с прижимистыми, склонные к риску – с исключительно осмотрительными" (Jacoby, 1986). Социолог Роберт Уинч (Winch, 1958) убеждал в том, что потребности человека, склонного к решительным действиям и доминированию, должны естественным образом дополнять потребность того, кто робок и склонен подчиняться. Определенная логика в рассуждениях автора есть, и большинство из нас могут припомнить пары, которые считают, что существующие между ними различия помогают им взаимно дополнять друг друга. "Мы с мужем – прекрасная пара. Я – Водолей и очень решительна. Он – Весы и не способен принять ни одного решения. Но зато всегда охотно соглашается с теми, которые принимаю я".
Мысль сформулирована очень убедительно, и неспособность исследователей доказать, что это действительно так, удивляет. Например, большинство из нас привлекают темпераментные, экспрессивные люди (Friedman et al., 1988). Если верно, что противоположности сходятся, с наибольшей симпатией к ним должны были бы относиться люди, у которых плохое настроение. Стремятся ли пребывающие в депрессии индивиды к общению с жизнерадостными людьми, способными развеселить их? Отнюдь. К общению с весельчаками и со счастливыми людьми преимущественно склонны те, кто не находитсяв депрессивном состоянии (Locke, Horowitz, 1990; Rosenblatt, Greenberg, 1988, 1991; Wenzlaff, Prohaska, 1989)… Люди несколько более склонны выбирать в возлюбленные и в супруги тех, чьи потребности и личностные качества аналогичныих собственным (Botwin et al., 1997; Buss, 1984; Fisnbein, Thelen, 1981a, b; Nias, 1979). Возможно, нам еще только предстоит выявить те различия (помимо физиологических, связанных с принадлежностью к разным полам), которые, как правило, приводят к взаимной симпатии. Один из возможных вариантов – властность одного из пары и склонность подчиняться – другого (Dryer, Horowitz, 1997). Нам также не свойственно проникаться симпатией к тем, кто демонстрирует "усиленную версию" наших собственных недостатков (Schmiel et al., 2000).