5) активная, эмоционально насыщенная совместная деятельность, направленная на достижение цели, значимой для всех участников;
6) положительное мнение членов группы друг о друге;
7) выраженная потребность каждого в членстве в группе;
8) оптимальный размер группы (5–9 человек);
9) оптимальный размер рабочего пространства – рабочие места расположены близко, но люди не мешают друг другу;
10) наличие положительного опыта в совместном решении задач;
11) психологическая совместимость и взаимная симпатия членов группы.
Последствия групповой сплоченности.
1) члены группы проводят больше времени в общении друг с другом, таким образом возрастает и количество, и качество группового взаимодействия;
2) сплоченная группа оказывает большое влияние на отдельных своих членов;
3) в сплоченной группе эффективность групповой деятельности выше, т. к. члены сплоченной группы придерживаются групповых установок, касающихся производительности и получают большее удовлетворение работой.
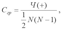
Для определения степени сплоченности коллектива социометрией предложен специальный "индекс групповой сплоченности", который вычислялся как отношение числа взаимных положительных выборов к общему числу возможных выборов:

где Сгр – сплоченность, Ч(+) – положительный выбор, N – число членов группы.
Л. Фестингер предложил рассматривать сплоченность как сумму "всех сил, действующих на членов группы, чтобы удерживать их в ней".
В отечественной социальной психологии проблема сплоченности рассматривалась А.В. Петровским, который считает, что формирование групповой сплоченности достигается через формирование единства участников группы на различных уровнях межличностных отношений, которые можно представить в виде уровней развития группы:
1) эмоциональном (внешнем) уровне, соответствующем стадии ориентации – формой проявления служит ситуативно возникающие симпатии-антипатии;
2) поведенческий (средний) уровень, соответствующий стадии конфронтации, проявляющийся в согласованности действий участников возникающей в процессе преодоления группового конфликта. В поведении членов группы на этом уровне отсутствует согласованность поступков как формы нравственного проявления человека;
3) ценностный (внутренний) уровень соответствующий латентной стадии, формой проявления выступает согласованность поступков членов группы, основанных на осознанном выборе.
Пути и условия сплочения групп:
1) постоянное изучение и оценка степени сплоченности группы;
2) расстановка людей с учетом их индивидуально-психологических особенностей;
3) организация совместной деятельности членов группы;
4) выявление и нейтрализация отрицательно направленных микрогрупп;
5) формирование общей системы ценностей и здорового социально-психологического климата.
51. Процесс принятия группового решения
Виды групповых решений:
1) незаметное решение – решение, принятое в результате хаотичной дискуссии в результате неспособности далее обсуждать вопрос;
2) авторитетное решение – решение принимается одним человеком, на которого группа возложила ответственность за это решение;
3) решение, принимаемое меньшинством – решение принятое маленькой группировкой, пришедшей к общему мнению, которое принимает большинство;
4) компромисс – решение, принятое в результате договоренности о взаимных уступках, которое полностью не удовлетворяет ни одну из сторон;
5) решение, принимаемое большинством – решение, принятое в результате голосования;
6) единогласное решение – решение, с которым согласны все участники. Оно наблюдается при не проблемной ситуации, принятии формального решения;
7) согласованное решение – решение, принятое на основе предварительной работы команды.
Методы принятия группового решения:
1) открытое общение;
2) ролевая игра – каждый из участников выполняет предписанную ему роль, в результате игры рождается наиболее приемлемое решение;
3) групповая дискуссия – обсуждение в группе каких-либо проблем, значимых для большинства участников.
Этапы групповой дискуссии:
1) формулировка проблемной ситуации;
2) высказывание идей;
3) обсуждение решений;
4) принятие решения;
5) разработка программы и плана действий.
Разновидности групповой дискуссии:
1) метод "мозгового штурма" – проходит в несколько этапов. На первом этапе идет изложение проблемы, при этом всех участников просят свободно излагать свои идеи по решению проблемы, в независимости от того насколько они реальны. Главная задача состоит в том, чтобы прозвучало как можно больше идей. Критика своих и чужих идей запрещается. На следующем этапе идеи комбинируются, видоизменяются. На последнем этапе идет отбор и оценка идей;
2) метод синектики также проводится в несколько этапов. На первом этапе выделяются "синекторы" (затравщики) дискуссии, которые отстаивают противоположные мнения и начинают дискуссию, в которую постепенно включаются и другие члены группы. В ходе дискуссии отбрасываются крайности и принимается решение, удовлетворяющее всех;
3) "консенсус" – путем открытого обсуждения исходных индивидуальных вариантов вырабатывается единое групповое;
4) "диалектическая" – обсуждаются не варианты, а факторы, определяющие их;
5) "диктатура" – обсуждение заканчивается выбором участника, чье мнение и становится мнением группы;
6) метод Дельфи – многократное анонимное и изолированное высказывание и обсуждение мнений в письменной форме. За несколько раундов обычно удается прийти к общему решению;
7) "коллективная" методика – усреднение результата, что исключает все индивидуальные влияния. Дает наименьшую точность.
Негативные эффекты при принятии решений в группе:
1) эффект "социальной фасилитации" – затруднение в выполнении сложных действий в присутствии наблюдателей при улучшении простых;
2) эффекты "Социальной лености" и "распределения ответственности" – снижение эффективности в принятии групповых решений при ослаблении связи между собственными усилиями и результатами и "размывании" ответственности;
3) эффект "конформизма" – влияние восприятия окружающих на восприятие индивидуума;
4) эффект "группового мышления" или эффект "группового духа" – принятие неверных решений, основанных на чувстве превосходства и неуязвимости группы. Наблюдается в хорошо сплоченной группе, в результате её изоляции от альтернативного источника информации, удачности предыдущих решений, чувства защищенности и высокого уровня неопределенности одобрения индивидуальных мнений членами группы.
52. Групповая совместимость
Групповая совместимость – это способность членов группы к совместному бесконфликтному и согласованному взаимодействию в условиях совместной деятельности.
Совместимость – одно из важнейших условий групповой сплоченности и эффективности.
Критерии оценки совместимости:
1) результаты совместной деятельности;
2) эмоционально-энергетические затраты участников деятельности;
3) удовлетворенность участников этой деятельностью.
В основе совместимости лежат личностные качества, составляющих группу индивидов:
1) физиологические: половозрастные и др.;
2) психофизиологические: различие темпераментов и биологических потребностей;
3) собственно психологические: личностный характер и мотивы поведения;
4) социально-психологические: ценности, интересы, ролевые ожидания.
Уровень психологической совместимости определяется как сходством каких-либо одних качеств членов коллектива, так и различием других. В итоге это приводит к взаимодополняемости при совместном решении задач, так что конкретная производственная группа представляет собою определенною целостность.
Уровни совместимости:
1) социально-психологический – общность целей, мотивов деятельности, единство в понимании задач и т. д.;
2) психологический – общность на уровне характеров (общительность, трудолюбие, добросовестность, ответственность и т. д.) Психологическая совместимость позитивно влияет на производительность труда и качество продукции;
3) психофизиологический – общность на уровне темпераментов.
Совпадение по всем уровням говорит о полной психологической совместимости. Полное несовпадение приводит к возникновению психологического барьера, когда люди не воспринимают друг друга, не желают и не могут общаться.
На совместимость людей в группе большое влияние оказывают типы коммуникативного поведения:
1) индивиды, стремящиеся к лидерству, способные решать задачи, только подчиняя себе других членов группы;
2) индивидуалисты, пытающиеся решать задачу в одиночку;
3) приспосабливающиеся к группе (конформисты), легко подчиняющиеся приказам других ее членов;
4) коллективисты, стремящиеся решать задачи совместными усилиями, поэтому они не только принимают предложения других членов группы, но и сами выступают с инициативой.
В основе психологической совместимости лежат особенности темперамента членов группы. Темперамент – это присущие человеку от рождения устойчивые индивидуальные свойства психики, определяющие динамику психической деятельности человека.