Мозаика из информации
Научитесь создавать такие условия, в которых дети начинают воспринимать своих товарищей как источник знаний и помощи и становятся при этом способны платить им тем же. Следующее упражнение направлено на создание атмосферы сотрудничества, дружбы и взаимопомощи в демократической среде учащихся- экспертов.
Подготовьте некоторый материал, который можно разделить на части соответственно количеству детей в группе (от двух до шести человек). Каждый ребёнок получает свою часть, которая впоследствии должна в совокупности с другими быть собрана в единое целое наподобие мозаики. Если участвуют несколько групп, материал подразделяется между ними. Материалом может служить информация о каком-то другом обществе. Например, один ребёнок располагает данными о географическом положении и климате страны, другой - информацией по экономике, ещё один - о политическом строе, другие дети получают информацию из области спорта, воспитания детей и прочих сфер культуры. Совокупная картина иного общества возникает только за счёт объединения разрозненных знаний.
Каждый ребёнок осваивает свой материал и доводит его до сведения других. Чтобы выяснить, насколько успешно осуществлено "преподавание", всем детям предъявляются диагностические тесты по пройдённому материалу. Дети из разных групп, располагающие одним и тем же разделом информации, могут предварительно пообщаться и обсудить свой материал, прежде чем доводить его до сведения своей группы.
Разумеется, материал может быть использован какой угодно, лишь бы его можно было равномерно разделить; прекрасно подойдут материал по истории, литературные произведения, описание электромеханических устройств. Кроме того, для стимулирования совместной игровой деятельности могут быть использованы игрушки и игры, требующие участия двух или более игроков.
Уверенность в себе
Мы живём в обществе и зависим друг от друга. Но сила общества определяется тем, насколько уверен в себе каждый из его членов. Мы же слишком охотно культивируем ощущение зависимости у наших детей, чтобы самим чувствовать, что в нас нуждаются. В результате из наших детей вырастают "соглашатели": "Да, мама; да, папа; да, учитель; да, весь свет; я буду таким, как вы хотите". Они становятся тихими, пассивными, благовоспитанными детьми, которых вознаграждают, лишь если они - послушные ничтожества. Вознаграждают, но по большому счету - игнорируют. Впоследствии эти дети занимают отведённую им ячейку в общественной структуре и замыкаются в ней.
Поймите, что пассивность - противоестественное состояние для ребёнка, да и вообще для любого живого существа.
Не стремитесь к тому, чтобы дети и учащиеся чувствовали себя зависимыми от вас, хотя это и позволяет легче ими управлять. Зависимость, как конфетка-тянучка - сладкая вначале, она потом прилипает к зубам.
Как можно раньше приучайте детей к ответственности за свои поступки.
Составьте список дел, за которые несёт ответственность каждый ребёнок, а также другой список - всего того, что вы делаете вместо ребёнка, но хотели бы, чтобы он взял на себя ответственность за это. Постарайтесь, чтобы как можно больше пунктов из второго списка перекочевало в первый. Подумайте, нет ли ещё таких дел, за которые дети с охотой возьмутся. Обсудите все пункты, по которым нет взаимного согласия. Принять на себя ответственность - это не просто убрать комнату или выбросить мусор. Ответственность предусматривает самосовершенствование, заботу о личной и общественной собственности, подготовку к различным событиям и т. д. Поощряйте в детях стремление к ответственности за других.
Я имею в виду не избитый пример - перевести старушку через улицу. Пусть дети будут готовы помочь брату или сестре в их делах. Помочь своим одноклассникам, которые в этом нуждаются, а также и вам, когда вы не находите в себе сил. Ребёнку, чтобы стать более уверенным в себе, требуется время. Позволяйте ему делать ошибки. Застенчивые дети избегают что-либо делать, так как боятся потерпеть неудачу, повести себя неправильно. Учите детей идти на разумный риск и переносить поражения. Ребёнок должен понять, что он может понести поражение на пути к какой-то цели, но сам он - не побеждённый. Неудача означает лишь, что либо цель выбрана неправильно, либо средства. Она, правда, может также означать, что сила не на стороне ребёнка и ему следует попробовать себя в чем-то другом.
Научите детей чувствовать себя комфортно наедине с самими собой. Одиночество может быть полезно как средство самопознания. Это означает, что ребёнок должен иметь доступное для него личное пространство и личное время. Не следует до отказа наполнять жизнь ребёнка спланированной полезной деятельностью. Иногда даже имеет смысл поощрить ребёнка к одиночеству - прогулке, походу в музей, в библиотеку, в кино, а для старших - и в лес.
Ладить с людьми
Какую оценку вы имели в графе "Взаимоотношения с товарищами"? Вы никогда не задумывались, насколько это нелепо - выставлять человеку оценку за социальность?
Надо быть особенно внимательным к тому, как наши дети общаются со своими сверстниками. Родителям и учителям следует пристальнее анализировать условия, побуждающие к совместным занятиям и играм или препятствующие им. (Например, я могу не пожелать играть в бейсбол с ребятами, если они отводят мне лишь вторые роли.) Необходимо поинтересоваться мнением самих ребят. Пригласили их принять участие в игре? Доступна ли им предложенная деятельность? А от других мы должны узнать, почему они не приглашают этого ребёнка в игру или игнорируют его предложения.
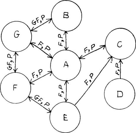
Социограмма дружеских отношений
Учитель может глубже проникнуть в социальную атмосферу класса, прибегнув к методу социограммы. Пусть каждый ребёнок выпишет на отдельном листе имена тех, с кем он (она) играет (Р).
На другом - имена лучших друзей (GF), на третьем - просто друзей (F). На основании этого материала вы можете построить диаграмму взаимосвязей в классе. И сразу станет ясно, кто "звезда", а кто отверженный, чьи дружеские предпочтения не принимаются, а стремление поиграть игнорируется.
Обладая этой информацией, вы приобретаете возможность так построить совместную деятельность, чтобы развить и укрепить какие-то личные предпочтения и тем самым достичь большего взаимопонимания и согласия в группе. Социограмма группы из семи детей может выглядеть таким образом:

D находится в одиночестве, никто не считает его другом, а играть он хотел бы только с С; А - его все считают своим другом, но никто - лучшим другом; F и G имеют несколько хороших друзей; С не принимает дружбы Е и D.
Это упражнение можно проделать вместе с вашими собственными детьми и их товарищами.
Популярности можно научиться
Дети должны иметь возможность практиковаться в навыках общения, выражения своих чувств по отношению к вам и к другим детям. Как можно в более раннем возрасте поощряйте совместную игру с другими детьми. Не забывайте сами уделять внимание ребёнку.
Логопед Джеймс Уайт утверждает, что взрослые, сделавшие успешную карьеру, прежде были весьма разговорчивыми детьми. Ребёнок, которого не слышно, не может ничего добиться дома, в школе, да и вообще в этом мире, наполненном звуками речи. "Застенчивый, молчаливый ребёнок, как правило, не находит взаимопонимания со взрослыми, - указывает Уайт. - Он не даёт взрослому возможности проявить себя. Подростки, которые пассивны и замкнуты, обычно имеют затруднения в письме и вообще плохо учатся в школе. Именно заинтересованный взрослый должен разорвать порочный круг и помочь ребёнку выразить свои мысли и чувства". Среди прочих рекомендаций Уайта фигурирует также совет общаться с ребёнком на уровне его роста, то есть в буквальном смысле склониться к нему или как-то приподнять его с тем, чтобы ваши глаза могли легче встретиться в процессе разговора.
Детей, которые оказались исключёнными из общения, можно научить тому, как добиться популярности. У них следует тренировать навыки коммуникации и кооперации с другими детьми. Для этого могут быть использованы некоторые упражнения из главы 10. Исследования группы психологов из Рочестера и Иллинойса продемонстрировали, что те учащиеся III–IV классов, которых одноклассники ранее игнорировали, приобретают симпатии и дружескую привязанность после месяца специально организованной практики в навыках общения. Если вы и в этой сфере станете наставником своего ребёнка, то можете достигнуть аналогичных результатов.