9.3. Возрастные изменения волевых качеств
Возрастные изменения волевого качества терпеливости изучены М. Н. Ильиной [1974]. От 7 до 16 лет включительно терпеливость увеличилась: у девочек - на 96 %, у мальчиков - на 130 %. Однако основной прирост терпеливости пришелся на возраст 15–16 лет (рис. 9.1).

Рис. 9.1. Изменение с возрастом компонентов выносливости: а - данные для лиц мужского пола; б - данные для лиц женского пола
Этот факт можно объяснить тем, что именно в данном возрасте увеличиваются сила нервной системы и инертность нервных процессов, обусловливающих, помимо мотивации, проявление терпеливости.
Е. В. Эйдман [1986], используя пробу с задержкой дыхания, не выявил существенных возрастных изменений терпеливости. Возможно, это связано с небольшим числом испытуемых школьников, а возможно, - со специфичностью дыхательной пробы. В то же время в его исследовании отчетливо проявилось то обстоятельство, что младшие школьники поддерживают волевое усилие при опоре на внешнюю стимуляцию (соревнование), в то время как старшие школьники используют внутренние побуждения (воображаемое соревнование, самопреодоление).
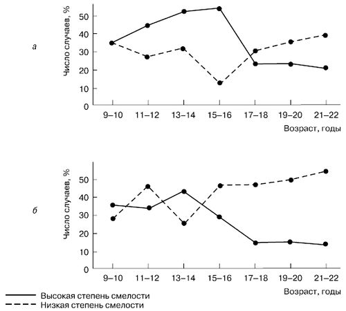
Н. Д. Скрябин [1974б] изучил изменение с возрастом (от 9 до 26 лет) волевого качества смелости. У представителей мужского пола число лиц с высокой степенью смелости увеличивается постепенно с 11–12 лет до 15–16 лет. Соответственно за этот период число лиц с низкой степенью смелости уменьшилось с 35,5 % до 11 %. Однако затем число лиц с высокой степенью смелости уменьшается, а число лиц с низкой степенью смелости возрастает до уровня 9-, 10-летних мальчиков, т. е. до 38 % (рис. 9.2).

Рис. 9.2. Возрастные изменения числа лиц с высокой и низкой степенью смелости: а - лица мужского пола, б - лица женского пола
У девочек наблюдается схожая динамика, но количество лиц с высоким уровнем смелости среди них меньше, а максимум таких лиц наблюдается в возрасте 13–14 лет. Лиц с низкой степенью смелости среди представительниц женского пола во всех возрастных группах больше, чем среди лиц мужского пола, исключая возраст 9–10 лет, причем за этот период число таких лиц женского пола увеличивается с 27,5 % до 51 %. Таким образом, наибольшая смелость проявляется мальчиками и девочками в период полового созревания.
…
Если молод - не легко веришь в опасность.
М. Горький
Указанные особенности возрастной динамики смелости можно объяснить гормональными изменениями и связанным с этим изменением типологических особенностей свойств нервной системы. Так, в период полового созревания увеличивается сила нервной системы и преобладание возбуждения над торможением по "внешнему" балансу, которые способствуют проявлению высокой степени смелости.
Возрастные изменения решительности изучены И. П. Петяйкиным [1976]. Наибольшее время принятия решения (по которому судили о решительности) отмечалось у детей обоего пола в 7-, 8-летнем возрасте. Затем в возрасте 9 лет это время резко уменьшается и с небольшими колебаниями удерживается на одном уровне до 13 лет. После этого (в возрасте 14–17 лет) время принятия решения увеличивается, что свидетельствует о снижении решительности (рис. 9.3).

Рис. 9.3. Возрастные изменения степени решительности
Начиная с 14-летнего возраста решительность девочек значительно меньше, чем выраженность того же качества у мальчиков, и это различие тем больше, чем субъективно опаснее действия, предлагаемые для исполнения. Характерным является количество отказов выполнять физическое упражнение (падение спиной назад) у мальчиков и девочек в различном возрасте. У мальчиков не было отказов во всех возрастных группах, кроме одной (небольшое число отказов было только у детей 8–9 лет); у девочек же не было отказов только в возрастной группе 10–11 лет.
Все приведенные выше исследования возрастной динамики волевых качеств выполнены с использованием экспериментальных методов. Данные методы показали, что имеет место разновременность (гетерохронность) возрастной динамики волевых качеств. Так, смелость ярче всего проявляется в период полового созревания, особенно у лиц мужского пола; терпеливость увеличивается после периода полового созревания - в 15–16 лет; наибольшая решительность проявляется в 8–11 лет. Отмечается и разнонаправленность этих изменений: в то время как в период полового созревания и сразу после него терпеливость возрастает, смелость и решительность уменьшаются.
Неравномерность развития различных волевых проявлений на каждом возрастном этапе показана и в других исследованиях (С. Я. Лайзане [1980]).
Глава 10. Безвольное поведение
10.1. Различные проявления безволия
Противоположным волевому является безвольное поведение. При обычной его характеристике наблюдаются те же недостатки, что и при характеристике волевого поведения. Так, за безволие принимают как нежелание ("явно выраженное отрицательное отношение к преодолению трудностей" - В. И. Селиванов [1976, с. 49]), так и неспособность проявить силу воли ("неумение подавлять в себе отдельные желания, настроения и чувства" - А. В. Веденов [1957]). Чаще всего безволие описывается как выражение отрицательных морально-волевых качеств или как некая характеристика воли в целом. В советское время проблема воли и, в частности, безволия оказалась сильно идеологизированной. Безволие превратилось в клеймо, стало показателем безыдейности, аморальности человека. И это наложило отпечаток на понимание воли и безволия отечественными психологами.
Примером такой идеологизации является характеристика безвольного поведения как малодушия. В "Словаре по этике" [1983] малодушие определяется как отрицательное моральное качество, характеризующееся слабостью воли личности и выражающееся в неспособности человека отстоять и провести в жизнь нравственные принципы, в которые он верит, по причине опасения за личные интересы, из-за боязни навлечь на себя неблагоприятные последствия, из страха перед трудностями или из-за неверия в собственные силы. С точки зрения автора статьи это проявление беспринципности, попустительство злу, потеря чувства ответственности за свои поступки и утрата веры в силу нравственных принципов, сопровождающаяся чувством бессилия. Конечно, все это может иметь место, но не всякое малодушие этим определяется.
К. Н. Корнилов [1948б] к проявлениям безволия относил внушаемость и негативизм человека. Негативизм он рассматривал как немотивированную, необоснованную склонность действовать наперекор другим людям, хотя разумные соображения не дают оснований для этого. Внушаемость же является недостатком воли, поскольку человек не умеет критически отнестись к тому, что ему советуют, предлагают сделать. Упомянутый автор писал: "Как внушаемый, так и негативист обнаруживают слабость воли, так как ни тот, ни другой не умеют подчинять свои действия доводам разума, сознательным мотивам поведения" [1948б, с. 331]. На подобном же основании К. Н. Корнилов считал безволием и упрямство. Упрямый, писал он, не владеет своей волей, так как она не подчинена его разуму. Воля упрямого - неразумная воля. Но, в противовес такой точке зрения, следует отметить, что разумность доводов - довольно шаткий критерий, чтобы выносить приговор человеку как безвольному. Одному разумным кажется одно, другому - другое. Тогда, с точки зрения спорящего, при несогласии оппонентов с его доводами все они становятся безвольными.
Между тем Ю. Е. Рыжкин [1986] отметил, что, с одной стороны, "безвольные" ученики и спортсмены в некоторых ситуациях проявляют исключительную волю и самостоятельность, не поддаваясь внешнему воздействию других людей, а с другой стороны, спортсмены, у которых высочайшее развитие определенных волевых качеств не вызывает сомнения, в ряде ситуаций оказываются легковнушаемыми. "При соревновательном поединке с неизвестным соперником, - писал Ю. Е. Рыжкин, - если к тому же поединок протекает в равной борьбе и конечный его результат неизвестен, у спортсмена нередко возникает состояние неуверенности в своих силах, он затрудняется в выборе средств и способов дальнейшего ведения поединка и вполне сознательно ориентируется на других людей, принимая их внушающие воздействия. Человек легко воспринимает воздействие других людей не столько потому, что он неволевой, а в силу того, что сами объективно складывающиеся условия взаимодействия принуждают его поступать именно таким образом. Эта тенденция свойственна спортсменам как с высокой личной внушаемостью, так и трудновнушаемым и волевым. Видимо, в конкретных условиях деятельности и общения требуется особое сочетание определенных волевых качеств и внушаемости" [там же, с. 48].
Поэтому соотношение между силой воли и внушаемостью сложное, и по внушаемости человека в определенной ситуации делать заключение о его "безволии" опасно.