
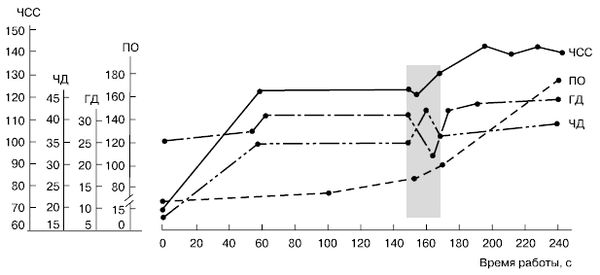
Рис. 8.1. Изменение физиологических показателей во время работы на велоэргометре у испытуемой Б-вой: ЧСС - частота сердечных сокращений, ЧД - частота дыхания (число дыханий в минуту), ГД - глубина дыхания (в миллиметрах при записи на лентопротяжном устройстве), ПО - потоотделение (в омах). Заштрихованная зона - время появления чувства усталости
По данным Е. В. Эйдмана [1986], величина волевого компонента при выполнении предельного физического усилия обнаруживает значимые связи с показателями кислородного долга (r = 0,45; р < 0,01) и мощности порога анаэробного обмена (ПАНО) (r = 0,42; р < 0,01), что свидетельствует о зависимости этой величины и от анаэробных возможностей человека, мобилизуемых с помощью волевого усилия.
Все эти данные показывают, что чувство усталости возникает не случайно, а является отражением физиологических сдвигов, свидетельствующих о попытке человека преодолеть с помощью волевого усилия возникшее затруднение в поддержании заданного уровня работоспособности. Следовательно, момент появления чувства усталости, при условии удержания испытуемым заданного усилия, может служить исходной точкой измерения времени терпения, по которому судят о волевом качестве терпеливости (в спортивной педагогике это время называют фазой компенсированного утомления). Это подтверждают следующие данные, полученные Г. И. Мызаном.
Совпадение объективных физиологических изменений с возникновением чувства усталости наблюдалось в группе спортсменов в 78 % случаев, в группе неспортсменов: при первом измерении - в 43 % случаев, а при повторном - в 65 % случаев. Это свидетельствует о том, что причиной такого совпадения или несовпадения является наличие или отсутствие у людей опыта в анализе своих мышечных ощущений. Естественно, у спортсменов этот опыт больше, поэтому и процент совпадений у них выше.
Существенные факты, доказывающие, что время терпения служит стабильной личностной характеристикой и вследствие этого может рассматриваться как показатель уровня проявления терпеливости, получены М. Н. Ильиной [1976]. Было выяснено, что, независимо от вида выполнявшихся физических упражнений, у конкретных субъектов время терпения, выраженное в процентах от общего времени выполнения упражнений, оставалось относительно постоянным. Это означает, что общее время выполнения упражнений, измеренное в секундах, при выполнении разных упражнений различно, а доля фазы компенсированного утомления (времени терпения) остается при этом постоянной (рис. 8.2).

Рис. 8.2. Соотношение между показателями выносливости (с) и терпеливости (%) у двух групп испытуемых при выполнении физических упражнений: I - приседание, II - удержание в висе
У одних эта доля составляла 55–60 % от общего времени выполнения упражнений, у других - 35–40 %. Об относительном постоянстве данного показателя терпеливости свидетельствует и обнаруженная в том же исследовании достаточно высокая корреляция между значениями этого показателя при выполнении четырех различных физических упражнений. Стабильность проявления терпеливости получила подтверждение и в исследовании Г. И. Мызана, сравнивавшего время терпения в первой и второй попытках: коэффициент корреляции равнялся 0,771 - для спортсменов; и 0,842 - для спортсменок (во всех случаях р < 0,05–0,01).
Еще одним доказательством того, что время терпения является личностной волевой характеристикой, служат данные, полученные М. Н. Ильиной [1976] и В. Д. Гавриловым [1979] при исследовании корреляции между временем терпения при выполнении физической работы и временем терпения в пробе с задержкой дыхания (началом измерения времени терпения в последней пробе было появление у испытуемых желания сделать вдох). Коэффициенты корреляции оказались довольно высокими. Важно отметить, что желание сделать вдох, по данным А. И. Высоцкого, совпадает с моментом, когда в крови резко снижается содержание кислорода. Следовательно, терпение в данной пробе отражает борьбу человека с гипоксией, противоборство с помощью волевого напряжения рефлекторному акту вдоха.
Эти данные получили подтверждение и в исследовании Е. П. Щербакова [1986]. В процессе задержки дыхания у испытуемых с помощью оксигемографа и пневмографа регистрировались устойчивость оксигенации и сокращение диафрагмы и мышц грудной клетки. Волевой компонент, регистрация которого начиналась с момента падения содержания кислорода в крови, сокращения мышц грудной клетки и диафрагмы, обнаружил достаточно высокую и стабильную связь с общим временем задержки дыхания. Правда, из этих данных автор сделал довольно странные выводы, что, во-первых, по времени от начала задержки дыхания до сокращения мышц можно предсказать время окончания задержки, и во-вторых, поскольку это так, значит, волевой фактор проявляет себя не в процессе задержки, а до нее, в период подготовки к ней.
Доказательство правомочности таких заключений Е. П. Щербаков видит в следующих результатах. Испытуемые до задержки дыхания должны были оценить отношение к пробе и назвать время, в течение которого они смогут задерживать вдох. Было выявлено, что лица с положительным настроем на выполнение пробы имели более высокие показатели, чем лица с безразличным и отрицательным отношением (удивляться здесь нечему, вспомним рассуждения И. М. Сеченова о холодной и безличной воле: если не хочу терпеть, то и не буду). Поэтому и корреляция между ожидавшимся и показанным результатом оказалась положительной, правда, не очень высокой. Эти данные лишь подтвердили, что настрой, отношение к деятельности определяет степень мобилизации человека, приложения им волевых усилий (что отчетливо видно в ситуации соревнования).
При исследовании терпеливости (с использованием удержания усилия) групповым методом, и особенно методом соревнования, наблюдаются некоторые особенности. Чешские психологи П. Слепичка и А. Рихтецки [Slepicka, Richtecky, 1977] заметили, что при отрицательных взаимоотношениях между соревнующимися начало появления чувства усталости обозначается ими позже. Иногда это не преднамеренное стремление показать бо?льшую выносливость, а результат большего эмоционального возбуждения, которое может отодвигать появление усталости.
Сопоставление двух компонентов выносливости (времени до усталости и времени терпения) с типологическими особенностями нервной системы (М. Н. Ильина [1986]) подтверждает правомерность такого разделения. Так, время до появления чувства усталости больше у лиц со слабой нервной системой, а время терпения больше у лиц с сильной нервной системой. М. Н. Ильиной также установлено, что спортсмены, специализирующиеся в видах деятельности, требующих выносливости, обнаруживают большее время терпения в пробе со статическим усилием, чем специализирующиеся в скоростно-силовых видах спорта. Аналогичные данные получены В. П. Умновым [1984] при измерении терпеливости с помощью теста с задержкой дыхания. Можно предположить, что эти различия связаны не столько с фактором тренировки, сколько с естественным отбором лиц, обладающих высокоразвитым качеством терпеливости, в виды спортивной деятельности, требующей выносливости.
Это подтверждают и данные, полученные В. П. Умновым. Используя тест с задержкой дыхания, он показал на студентах, не занимающихся циклическими видами спорта (т. е. не тренирующихся на выносливость), что лица с большей терпеливостью имели и лучшие результаты в лыжных гонках.
Упорство и упрямство. Изучению упорства как самостоятельного волевого качества психологи уделили значительно меньше внимания, чем изучению настойчивости, по той причине, что упорство и настойчивость часто рассматриваются как одно и то же проявление силы воли. Больше говорят об упрямстве как негативном проявлении упорства.
П. А. Рудик определял упорство как волю к победе. Он акцентировал важную для понимания упорства как особого волевого качества характеристику: упорный человек не пасует перед неудачей.
Мною упорство понимается как стремление достичь "здесь и сейчас", т. е. одномоментно, желаемого или необходимого, в том числе и успеха в деятельности, вопреки имеющимся трудностям и неудачам. Оно носит характер приложения волевого усилия для достижения конкретной и близкой (оперативной) цели, например когда ученик пытается решить трудную математическую задачу, или когда юный музыкант разучивает гаммы, или когда спортсмен осваивает новый элемент техники спортивного упражнения, и т. п. Про упорство говорят тогда, когда у человека что-то не получается и он пытается это сделать еще и еще раз, но, как говорится, за один присест. Упорство часто характеризует волевые усилия при решении интеллектуальных задач, а не только двигательных.