Всего за 150 руб. Купить полную версию
Какие реакции могут быть на такую ситуацию? Можно считать, конечно – как это и делают многие критики психоанализа, что нужно все эти психоаналитические построения просто отбросить как не соответствующие реальности с точки зрения обычных критериев оценки на истинность собственно научных, то есть – естественнонаучных – знаний, что это просто досужие измышления, мифы – в оценочном, ругательном смысле этого слова, – что нужно их отбросить и постараться заменить представлениями, в большей степени соответствующими реальности, в большей степени отвечающими критериям собственно научного знания и т. д. и т. п. Такой подход по отношению к Фрейду представляется столь же несостоятельным, как и буквальное некритическое его чтение. Поскольку столь же несомненно, что какая-то реальность за фрейдовскими представлениями все же стоит, ими как-то "засекается" – реальность самой психоаналитической терапевтической практики, внутри которой эти представления создавались, обращались, выполняя какую-то существенную роль, изменялись и т. д. И можно поставить задачу осмысления и ассимиляции стоящего за ними терапевтического или, в более широком смысле – психотехнического опыта, который ведет к весьма радикальным трансформациям психики пациента. Вопрос, стало быть, в том, как следует понимать фрейдовские теоретические построения и как с ними иметь дело, чтобы даже в том случае, когда мы признаем, что по большей части им ничего не соответствует в реальности в их прямом объектном содержании, мы могли бы – в отличие от обычного подхода к ним как к собственно научным знаниям, подхода, как известно, разделявшегося и самим Фрейдом, который был убежден, что психоанализ должен и может быть наукой, и искал возможность превращения его в науку, в дисциплину естественнонаучного толка, – не отбрасывать их как ошибочные, ложные, но, напротив, утверждать их в их реальном и безусловном содержании. Иначе говоря, задача состоит в том, чтобы найти некую "абсолютную" систему отсчета, в отнесении к которой фрейдовские теоретические построения оказывались бы осмысленными и содержательными безотносительно к тому, допускают они или нет прямую объектную интерпретацию.
В известном смысле можно было бы сказать, что по отношению к самому Фрейду, к его теоретическим построениям мы должны попытаться реализовать ту же стратегию понимания, которую он реализовывал по отношению к материалу, получаемому от своих пациентов.
Конечно, это не следует понимать буквально, искомое нами чтение Фрейда – это не психоанализ психоанализа и, тем более, не психоанализ самого Фрейда (хотя работы такого рода существуют и их уже немало, – как на один из самых выразительных примеров тут можно указать на скандально известную работу С. Розенцвейга о дне смерти Фрейда). Параллель тут – в установке на признание осмысленности и содержательности, на поиск содержания тех или иных представлений также и в тех случаях – или, быть может, особенно в тех случаях! – когда прямого объектного содержания эти представления оказываются лишены. Подобно тому, как Фрейд, получая от своего пациента какое-то представление, положим, образ сновидения, настолько монстрообразный, что ему нельзя было ничего поставить в соответствие в реальности, тем не менее, не отбрасывал его и не предлагал своему пациенту вместо этой "ерунды" рассказать о чем-нибудь таком, к чему можно было бы отнестись "серьезно", но, наоборот, именно эти места в сновидении выделял как особенно значимые и "говорящие" и делал их отправными точками анализа, работы толкования, пытаясь развернуть такое представление о внутренней, психологической, конфликтной ситуации пациента, в отнесении к которой образы сновидения получали бы свой безусловный смысл в качестве особого способа манифестации этого конфликта или, быть может даже, – в качестве особой психологической постройки, позволяющей пациенту достигать разрешения "на самом деле" неразрешимой конфликтной ситуации, – подобно этому и мы в своем чтении Фрейда должны попытаться найти, реконструировать такой план психоаналитической работы, по отношению к которому фрейдовские теоретические построения выступили бы в своей реальной "инструментальной" функции, как особого рода инструменты и средства – психотехнические инструменты и средства, – выполняющие внутри психоанализа некую реальную и необходимую психотехническую работу и, кстати, уже потому не позволяющие их "изъять" и отбросить даже в тех случаях, когда они не выдерживают "проверку на истинность" соответственно критериям, применяемым к собственно научному знанию. Еще раз: по своему характеру этот анализ психоаналитических представлений должен быть, конечно же, не психоанализом, но особого рода методологическим анализом, который позволил бы взять каждое представление психоаналитической теории в его реальной инструментальной функции внутри особого рода целостности – внутри соответствующего психотехнического действия, выполняемого по отношению к психике пациента. Иначе говоря, этот анализ должен иметь дело с совершенно иной, чем сам психоанализ, – причем иной по типу – единицей анализа. Взять ту или иную фрейдовскую теоретическую конструкцию в "приведении" к этой целостности психотехнического действия – значит взять ее в тех основных функциях, которые она реально выполняет внутри психотерапевтической работы.
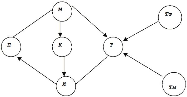
Можно выделить прежде всего две такие функции соответственно основной диадной структуре (см. рис. 1) ситуации классического психоанализа, соответственно двум полюсам ситуации психоаналитической работы – полюсу, или позиции, пациента и полюсу, или позиции, терапевта [3] .

Рис. 1. Исходная схема психоаналитической ситуации
Т – позиция терапевта (практика)
Тм – позиция терапевта-методиста
Тт – позиция теоретика психоанализа
П – позиция пациента
М – продуцируемый пациентом материал
К – используемые для интерпретации психоаналитические конструкции
И – сообщаемые пациенту терапевтические интерпретации
Если по отношению к каждой из этих двух позиций попытаться рассмотреть любую из аналитических конструкций, то можно выделить прежде всего две функции.
По отношению к пациенту каждая из конструкций выступает – если воспользоваться термином М.К. Мамардашвили – как особое средство "организации нового опыта сознания" и – через это – достижения некоторого, если и не терапевтического, то, во всяком случае, психотехнического эффекта (хотя, строго говоря, тут и следовало бы поставить под вопрос возможность как раз применительно к психоаналитическому опыту говорить в терминах нового опыта сознания). Иначе говоря, в этом отнесении психоаналитические построения выступают в их "психотехнической" функции, то есть в качестве инструмента и средства той или иной модификации или трансформации психики пациента ввиду вполне определенных целей, которые ставит перед собой психоаналитик.
По отношению же к терапевту функция каждой из этих конструкций состоит прежде всего в том, чтобы обеспечить определенный тип понимания материала, который обращается внутри психоанализа, – будь то сновидения пациента, или его воспоминания о своем прошлом, или же предъявляемый им – положим, в форме феномена перенесения – невротический симптом и т. д. [4] В каждом из этих случаев психоаналитические конструкции – это, прежде всего, средство, но уже средство понимания психоаналитиком материала, поставляемого пациентом, понимания того, что происходит в ходе анализа, причем понимания не столько в познавательной, созерцательной установке, сколько "действенного" понимания, понимания с точки зрения тех психотехнических задач, которые стоят перед терапевтом, понимания с точки зрения создания условий для успешного выполнения соответствующего психотехнического действия.