Глава 24
Наибольшие и наименьшие значения
24.1. Найдите все значения x, при которых функция
sin x − cos² x − 1
принимает наименьшее значение.
24.2. Найдите наибольшее значение функции
у = sin 2х sin (2х − /6).
При каких значениях x оно достигается?
24.3. Найдите наибольшее значение функции
у = sin x cos² x − sin³ x cos x.
24.4. При каких значениях x и у выражение
2х² + 2ху + у² − 2х + 2у + 2
имеет наименьшее значение. Найдите это наименьшее значение.
24.5. Найдите наименьшее значение выражения
у = |х² − 1| + |х² − 4| + |x + 2| + |x + 1|.
24.6. Найдите наименьшее значение функции
у = х + /7x, где x > 0, а > 0.
24.7. В круг радиусом R вписывается данный угол α. Какими должны быть длины хорд, образующих этот угол, чтобы их сумма была наибольшей?
24.8. В основании прямой призмы лежит прямоугольный треугольник с площадью, равной 2 м², а высота призмы равна гипотенузе основания. Какими должны быть стороны основания, чтобы боковая поверхность призмы была наименьшей?
24.9. Найдите сторону наибольшего из квадратов, внутренние точки которых находятся внутри правильного шестиугольника со стороной а.
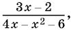
24.10. Найдите наибольшее значение дроби
если x может принимать любые действительные значения.
24.11. Контейнер для приборов должен быть сконструирован в форме прямоугольного параллелепипеда объемом 7,2 м³, причем площадь полной поверхности контейнера не должна превышать 24 м² при условии, что периметр основания не станет менее 10 м. Найдите размеры такого контейнера.
24.12. Найдите наименьшее значение функции
у = ctg² (α − x) + ctg² (α + x), 0 < α < /2.
24.13. Найдите наибольшее и наименьшее значения функции
arcsin³ x + arccos³ x.
24.14. Найдите наименьшее значение функции
у = 2 sin² x − 3 sin 2x + 10 cos² x.
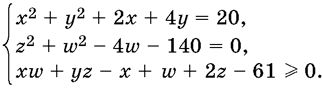
24.15. Найдите наименьшее значение суммы у + w, если x, у, z, w удовлетворяют системе

Указания
Первые указания
K главе 1
1.1. Если через точку D1 касания окружностей провести их общую касательную, то, пересекая продолжения сторон ВА1 и ВС1, она образует треугольник А1ВС1 (рис. I.1.1). Воспользуйтесь тем, что OD = DD1 = /2, а O1D1 = /3.

1.2. В треугольнике АОВ (O - центр вписанной окружности, рис. I.1.2) угол ВАО равен /2 , а угол ВОА равен сумме углов OAD и ODA, т. е. равен /2 + /2 . По условию BO = m, так как BD = r + m. Поэтому решение удобно начать с определения AB из треугольника BOA.

1.3. Вначале нужно выяснить смысл выражения "окружность делит сторону треугольника пополам". Если окружность имеет со стороной треугольника две общие точки, то ни про одну мы не сможем сказать, что она делит отрезок пополам, поскольку отрезок разделится на три части.
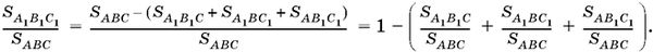
1.4. Отношение площади треугольника А1В1С1 к площади треугольника АВС (рис. I.1.4) можно записать так:
![]()

Теперь нужно найти каждое из отношений, входящих в правую часть.
1.5. Углы определяют треугольник лишь с точностью до подобия. Если ввести в рассмотрение один линейный элемент и выразить через него обе площади, то при подсчете отношения площадей этот элемент сократится. В качестве такого линейного элемента удобно выбрать радиус r вписанной в треугольник окружности.
1.6. Так как В = 3C (рис. I.1.6), то сторона AB меньше стороны AC и можно доказать, что площадь треугольника АВD (АD - биссектриса треугольника АВС) меньше площади треугольника ADC. Таким образом по условию ![]()

1.7. Применить метод сравнения площадей.
1.8. Все участвующие в задаче величины связаны с площадью треугольника, которая известна. Воспользоваться сравнением площадей.
1.9. В треугольнике даны две биссектрисы и отношение, в котором эти биссектрисы делятся точкой их пересечения. Наряду с данными отношениями естественно воспользоваться свойством отрезков, на которые биссектриса делит противоположную сторону треугольника. Поскольку требуется определить углы треугольника, то от отношений данных линейных величин нужно перейти к отношению сторон данного треугольника.
1.10. Продолжить отрезок QМ до пересечения в точке А с другой стороной угла.
1.11. Известные высоты треугольника естественно связать между собой с помощью его площади. При этом вместо сторон треугольника удобнее рассматривать его углы, выразив стороны через третью высоту.
1.12. В соотношении b + с = k выразить b и с через известную высоту h и тригонометрические функции углов В и С.
1.13. Способ 1. Чтобы решить задачу, нужно установить связь между углом α, сторонами треугольника и его площадью. Однако установить эту связь непосредственно не удается. Поэтому необходимо рассматривать вспомогательные элементы, например перпендикуляры длины x, у и z, опущенные из точки О на стороны а, b, с соответственно.
Способ 2. Чтобы установить связь между углом α, сторонами треугольника и его площадью, можно ввести в рассмотрение длины отрезков: ОА = I, ОВ = m, ОС = n.
1.14. По условию CD = BC − AC (D - основание высоты). Однако BC и AC можно выразить через CD с помощью тригонометрических функций углов треугольника АВС. Это даст нам уравнение, связывающее углы треугольника АВС.
1.15. Если рассматривать длины сторон AC = b и BC = а, то все участвующие в задаче геометрические величины будут связаны с площадью треугольника ABC.
1.16. Чтобы геометрически связать окружность с центром О и окружность с центром О1, нужно провести отрезки СО и ВО (рис. I.1.16). Окружность О1 описана около треугольника СОВ. Длина хорды СВ известна. Следовательно, для того, чтобы найти радиус, достаточно определить угол СОВ.