![]()
Ответ. По определению логарифма.
Вспомните определение квадратного корня: квадратным корнем из неотрицательного числа а (а ≥ 0) называют неотрицательное число √a , квадрат которого равен а.
А теперь повторите определение логарифма: логарифмом положительного числа N (N > 0) по положительному и не равному единице основанию а (а > 0, а ≠ 1) называют такое число logaN, что основание а в степени logaN равно N. Мы убедились в том, что обе формулы (из примеров 1 и 2) представляют собой не что иное, как формальную запись определений квадратного корня и логарифма, соответственно.
Пример 3. Почему две параллельные прямые лежат в одной плоскости?
Ответ. По определению параллельных прямых.
Пример 4. Почему сумма внутренних углов треугольника равна 180°?
Ответ. По теореме о сумме углов треугольника.
Пример 5. Почему сумма всех нечетных чисел, начиная с 1 до 2n + 1, равна квадрату натурального числа n?
Отвечая на этот вопрос, мы не можем сослаться на одну из теорем курса. Поэтому нужно приступить к доказательству. Вы найдете его в главе, посвященной математической индукции.
Задачи
Глава 1
Геометрические задачи на плоскости
Обозначения: а, b, с - стороны треугольника; А, В, С - углы, лежащие против этих сторон, соответственно; mа - медиана стороны а; lA - биссектриса угла А; ha - высота, опущенная на сторону а; R - радиус описанной окружности; r - радиус вписанной окружности; P = 2р - периметр многоугольника.
Длиной биссектрисы внешнего угла А треугольника называется отрезок биссектрисы, заключенный между точкой А и точкой пересечения биссектрисы с продолжением стороны а.
Отношение площадей двух треугольников, имеющих общий угол, равно отношению произведений сторон, заключающих этот общий угол.
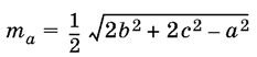
Имеет место формула, выражающая длину медианы треугольника через длины его сторон:
.
Если в многоугольник можно вписать окружность, то его площадь S = pr.
Площадь четырехугольника: S = ½ d1d2 sin α, где d1 и d2 - длины его диагоналей, а α - угол между ними.
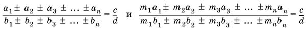
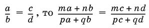
При решении планиметрических задач приходится применять производные пропорции.
Если
.
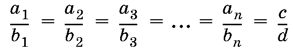
Если
, то
, где комбинация знаков берется любая, но одинаковая для числителя и знаменателя.
1.1. Вокруг правильного треугольника ABC описана окружность O радиусом R. Окружность O1 касается двух сторон AB и BC треугольника и окружности O. Найдите расстояние от центра окружности О1 до вершины А.
1.2. Высота равнобедренного треугольника с углом α при основании больше радиуса вписанного в него круга на m. Определите основание треугольника и радиус описанной окружности.
1.3. Докажите, что радиус окружности, делящей пополам стороны треугольника, вдвое меньше радиуса окружности, описанной около этого треугольника.
1.4. В треугольнике соединены основания биссектрис. Найдите отношение площади данного треугольника к площади образовавшегося треугольника, если стороны данного треугольника относятся как p : q : l.
1.5. Даны углы A, B, C треугольника ABC. Пусть окружность касается сторон BC, AC и AB треугольника соответственно в точках A1, B1, C1. Найдите отношение площади треугольника A1B1C1 к площади треугольника ABC.
1.6. Дан треугольник ABC, углы B и C которого относятся как 3 : 1, а биссектриса угла А делит площадь треугольника в отношении 2 : 1. Найдите углы треугольника.
1.7. Найдите длину l биссектрисы внешнего угла А треугольника, если даны его стороны b и c и угол А между ними (b ≠ c).
1.8. В треугольнике площади S, с острым углом α при вершине А биссектриса угла А в p раз меньше радиуса описанного и в q раз больше радиуса вписанного круга. Найдите сторону треугольника, лежащую против угла А.
1.9. В треугольнике ABC проведены биссектрисы AM и BN. Пусть O - точка их пересечения. Известно, что
AO : OM = √3 : 1, а BO : ON = 1 : (√3 − 1).
Найдите углы треугольника.
1.10. Внутри угла а взята точка M. Ее проекции P и Q на стороны угла удалены от вершины O угла на расстояния OP = p и OQ = q. Найдите расстояния MP и MQ от точки M до сторон угла.
1.11. В остроугольном треугольнике две высоты равны 3 и 2√2 см, а их точка пересечения делит третью высоту в отношении 5 : 1, считая от вершины треугольника. Найдите площадь треугольника.
1.12. В треугольнике ABC разность углов B и C равна /2. Определите угол C, если известно, что сумма сторон b и c равна k, а высота, опущенная из вершины A, равна h.
1.13. В треугольнике ABC имеется точка O, такая, что углы ABO, ВСО и CAO равны α. Выразите ctg α через площадь треугольника и его стороны.
1.14. В треугольнике ABC дана разность φ углов A и В (φ = A − В > 0). Известно, что высота, опущенная из С на AB, равна BC − AC. Найдите углы треугольника.
1.15. Даны длины высот AA1 = ha и ВВ1 = hb треугольника ABC и длина CD = l биссектрисы угла С. Найдите угол С.
1.16. В треугольник с основанием а и противоположным углом α вписана окружность Через центр этой окружности и концы основания треугольника проведена вторая окружность Найдите ее радиус.
1.17. Докажите, что если длины сторон треугольника образуют арифметическую прогрессию, то центр окружности, вписанной в этот треугольник, и точка пересечения его медиан лежат на прямой, параллельной средней по длине стороне треугольника.
1.18. В треугольнике ABC радиус вписанной окружности равен r, сторона BC больше r в k раз, а высота, опущенная на эту сторону, больше r в 4 раза. Найдите полупериметр p, tg /2 и стороны b и c.
1.19. Углы С, A, В треугольника ABC образуют геометрическую прогрессию со знаменателем 2. Пусть O - центр окружности, вписанной в треугольник ABC, K - центр вневписанной окружности, касающейся стороны AC, L - центр вневписанной окружности, касающейся стороны BC. Докажите, что треугольники ABC и OKL подобны.
1.20. В треугольнике ABC углы A, В и С образуют геометрическую прогрессию со знаменателем 2. Докажите, что

1.21. Докажите, что если P, Q, R - соответственно точки пересечения каждой из сторон BC, CA, AB (или их продолжений) треугольника ABC с некоторой прямой, то