Всего за 49.9 руб. Купить полную версию
Число, показывающее, во сколько раз окружность длиннее диаметра (т. е. выражающее отношение длины окружности к диаметру), условились ради краткости обозначать греческою буквою (произносится: "пи"). Приближенно ?= 3,14; более точные значения этой величины выражаются большим числом цифр после запятой. На практике в большинстве случаев достаточно пользоваться сейчас приведенным значением (= 3,14), которое поэтому нужно твердо запомнить. Итак,
о т н о ш е н и е д л и н ы в с я к о й о к р у ж н о с т и к е е д и а м е т р у р а в н о, т. е. 3,14 и л и 31/7.
Отсюда следует, что если диаметр окружности d, то длина ее С = ? ? d, или ?d
(произносится: "пи дэ").
Если радиус окружности R, то длина ее
С = 2R?= 2?R("два пи эр").
Пользуясь этими формулами, вычисляют длину окружности по ее диаметру или радиусу.
Наоборот, зная длину окружности, можно по тем же формулам вычислить ее диаметр или радиус:
![]()
Пусть, например, мы желаем определить поперечник дерева (т. е. диаметр его сечения). Измерив лентой окружность дерева, получаем, скажем, 86 см: это – длина окружности. Ее диаметр, т. е. поперечник, равен 86: 3,14 = 27 см.
Повторительные вопросы
Как определить длину окружности измерением? На чем основано нахождение длины окружности вычислением? – Чему равно отношение длины окружности к ее диаметру? Что условились обозначать буквою? – Чему равно? – Как определить длину окружности по диаметру? По радиусу? – Как определить диаметр по длине окружности? Радиус по длине окружности? Как выразить эти соотношения формулами?
Применения
39. Метр составляет 40 000 000-ю долю окружности земного шара. Найти радиус Земли.
Р е ш е н и е. Радиус найдем делением окружности на 2, т. е. на 6,28.
40 000 000: 6,28 = 6 370 000 метров.
40. Ведущее колесо паровоза делает в секунду 4 оборота. Диаметр колеса 1,3 м. Определить часовую скорость паровоза.
Р е ш е н и е. За один оборот колеса паровоз подвигается на 3,14 ? 1,3 м. Поэтому секундная скорость = 4 ? 3,14 ? 1,3, а часовая
4 ? 3,14 ? 1,3 ? 3 600 = 59 000 м = 59 км.
41. Пассажирский паровоз проходит в час 60 км. Диаметр ведущего колеса 2,1 м. Сколько целых оборотов делает колесо в секунду?
Р е ш е н и е. За один оборот колеса паровоз перемещается на 3,14 ? 2,1 = 6,6 м. Так как в секунду он подвигается на
60 000/3600 = 17 метров, то искомое число оборотов равно 17: 6,6, т. е. около 21/2.
42. Ленинград лежит в 25° к востоку от Гринвичского меридиана. Христиания – на том же параллельном круге на 11° восточнее Гринвичского меридиана. Радиус параллельного круга, на котором расположены эти города 3200 км. Определить взаимное расстояние этих городов по дуге параллельного круга.
Р е ш е н и е. Расстояние между названными городами в градусах равно 250° – 11° – 140°. Длина параллельного круга равна
2 ? 3,14 ? 3200 = 20 000 км. Длина 1° этого круга = 55 км. Искомое расстояние равно 770 км.
§ 35. Площадь круга
Предварительные упражнения
Начертите несколько окружностей и измерьте их площадь палеткой. Во сколько" раз площадь каждого круга больше площади квадрата, сторона которого равна, радиусу? Если у вас есть роговые весы, то определите также отношение площадей названных фигур по весу, т. е. узнайте, сколько бумажных квадратов надо взять, чтобы уравновесить вырезанный из той же бумаги круг, радиус которого равен стороне квадрата.
Та часть плоскости, которая охватывается окружностью, называется к р у г о м (черт. 107). Площадь круга, т. е. величину этой части плоскости, крайне неудобно, а иногда и невозможно находить помощью палетки, разделения на полосы или посредством взвешивания. Гораздо более точный и всегда применимый способ определения площади круга состоит в ее в ы ч и с л е н и и по длине диаметра или радиуса. Установим правило вычисления.

Представим себе, что в круге проведено близко друг к другу множество радиусов.
Они разделяют круг на фигуры, которые можно принять за узкие треугольники. Короткая сторона каждого такого треугольника, строго говоря, есть не отрезок прямой, а дуга; но если радиусы проведены очень близко, то дуга эта мало отличается от отрезка прямой. Длину высоты каждого из наших треугольников можно считать равной радиусу (если короткая сторона – основание). Площадь одного такого треугольника равна произведению дуги на половину радиуса (почему?); а площадь всех этих треугольников вместе равна произведению всех дуг вместе на половину радиуса. Но все треугольники вместе составляют площадь круга, а все дуги вместе составляют длину окружности. Значит,
п л о щ а д ь к р у г а р а в н а д л и н е о к р у ж н о с т и, у м н о ж е н н о й н а п о л о в и н у р а д и у с а.
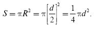
Обозначив площадь круга через S, а длину, как раньше, через С, имеем
![]()
т. е. площадь круга равна, умноженному на квадрат радиуса.
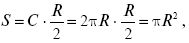
На практике чаще приходится вычислять площадь круга не по радиусу, а по диаметру, который удобнее измерять, нежели радиус. Так как d= 2R, а R = d/2, то

Эти формулы нужно твердо помнить.
Повторительные вопросы
Как вычисляется площадь круга по радиусу? Как выразить эти соотношения формулами?
Применения
43. Найти площадь просвета трубы, диаметр которой равен 17 см.
Р е ш е н и е. Искомая площадь равна
![]()
44. Окружность древесного ствола 91 см. Найти площадь поперечного сечения.
Р е ш е н и е. Сначала находим диаметр окружности ствола; он равен 91: 3,14 = 29 см. Искомая площадь равна

45. Две кадки с квашеной капустой покрыты лежащими на капусте деревянными кругами с камнями. В первой кадке круг имеет в поперечнике 24 см и нагружен 10 кг; во второй поперечник круга равен 32 см, а груз – 16 кг. В какой кадке капуста находится под большим давлением?
Р е ш е н и е. Площадь круга в первой кадке равна 3,14 122= 450 кв. см; следовательно, на каждый кв. см. под ним приходится нагрузка 10: 450 = 22 г. Площадь круга во второй кадке 800 кв. см, и нагрузка составляет 16: 800 = 20 г. В первой кадке капуста сдавлена сильнее.
46. Чтобы горячий чай скорее охладился, его переливают в блюдце. Во сколько раз увеличивается при этом свободная поверхность жидкости? Диаметр стакана примите равным 7 см, блюдца – 16 см.
Р е ш е н и е. Площади кругов относятся как квадраты диаметров (почему)?. Следовательно, поверхность жидкости увеличивается в отношении 162: 72, т. е. в 5 раз.
§ 36. Цилиндр"
Представим себе, что прямоугольник ABCD(черт. 108) вращается вокруг стороны АВ, как дверь на петлях. При полном повороте этот прямоугольник словно вырежет из пространства тело, которое называется ц и л и н д р о м. С цилиндрами мы встречаемся в практической жизни довольно часто: бревна, круглые карандаши, валики, трубы, монеты и т. п. имеют форму, более или менее близкую к цилиндру.
Чтобы изготовить цилиндр (его "модель") из бумаги, поступают следующим образом. Прежде всего чертят на бумаге два "основания" цилиндра, т. е. два одинаковых круга, диаметры которых равны поперечнику будущей модели. Затем чертят прямоугольник, высота которого равна высоте цилиндра, а длина – длине окружности основания. Такой чертеж называется р а з в е р т к о й цилиндра (края прямоугольника снабжаются полоской и зубчиками для удобства склеивания).
Развертка цилиндра указывает нам путь к вычислению "б о к о в о й п о в е р х н о с т и" цилиндра (черт. 109), т. е. величины его кривой поверхности. Она, очевидно, равна площади прямоугольника ABCD, т. е.
б о к о в а я п о в е р х н о с т ь ц и л и н д р а р а в н а д л и н е о к р у ж н о с т и о с н о в а н и я ц ил и н д р а, у м н о ж е н н о й н а е г о в ы с о т у. Если диаметр основания цилиндра d, а высота h, то боковая поверхность цилиндра = ?d ? h = ?dh.