Как сейчас известно, основным противником присуждения премии Эйнштейну был влиятельный член Нобелевского комитета, офтальмолог Альвар Гульстранд (1862–1930). Он был талантливым физиком-самоучкой, занимался преломлением света в сложных оптических системах, включая глаз, и получил Нобелевскую премию за 1911 год по физиологии и медицине. С 1911 по 1929 годы он был членом Нобелевского комитета по физике (с 1922 – председателем). Как знаток классической геометрической оптики, Гульстранд имел свое мнение по поводу как СТО, так и ОТО, и изо всех сил противился: "Эйнштейн не должен получить Нобелевскую премию, даже если этого требует весь мир!"
Возможно, Эйнштейн и не получил бы премию, если бы не другой шведский физик – Карл Вильгельм Озеен (1879–1944). Он сам был специалистом в очень узкой области, но как профессор одного из университетов Швеции мог принять участие в номинации кандидатов. Озеен собирался номинировать на премию Нильса Бора (1885–1962), но тот также был теоретиком и имел мало шансов в Нобелевском комитете. Однако при объединении эйнштейновского объяснения фотоэффекта и боровской модели атома водорода получался результат, противопоставить которому было нечего. Это была теория о строении вещества, прочно стоящая на экспериментальном фундаменте.
10 ноября 1922 года было объявлено, что премия за 1921 год присуждается Эйнштейну "за его заслуги в области теоретической физики, и в особенности, за объяснение фотоэлектрического эффекта". В отдельном письме от Шведской Академии наук были слова: "…не учитывая при этом Ваши работы по теории относительности и теории гравитации, которые будут оценены после их подтверждения в будущем". Одновременно (!) премия за 1922 год была присуждена Нильсу Бору "за его заслуги в исследовании строения атомов и излучения, испускаемого ими". Эйнштейн не присутствовал на церемонии вручения – он направлялся в Японию читать лекции о теории относительности. Его нобелевская лекция, которую зачитал представитель Германии, тоже была о теории относительности.
Закончим рассказ несколькими штрихами. В домашнем кабинете Эйнштейна стоял небольшой телескоп. Когда его спрашивали: зачем? Он обычно отвечал:
Нет, это не для звезд. Телескоп принадлежал бакалейщику, ранее жившему здесь. Приятная вещь. Я его берегу как игрушку.
Всем известна фотография "с языком", сделанная 14 марта 1951 года в 72-й день рождения Эйнштейна. После празднования в Принстонском университете вместе с друзьями супругами Эйделот он сел в автомобиль. Машину окружили репортеры и просили Эйнштейна улыбнуться. Но вместо этого он, очень уставший, высунул язык. Впоследствии эта фотография понравилась и самому Эйнштейну.

Альберт Эйнштейн брал 1 доллар за простой автограф и 5 – за подпись на памятной вещи. Он был звездой своего времени, в этом не приходится сомневаться, и иногда зарабатывал до 1000 долларов за день. Все эти деньги шли на благотворительность.
Всю жизнь Эйнштейн выступал как активный противник насилия, противник войн. Его образ в конце жизни похож на образ мудреца, познавшего мир, и почти святого. В определенном смысле это так и было. Однако его близким было не совсем легко с ним. Вот как он сам определяет свое место в мире и обществе:
Я никогда по-настоящему не принадлежал ни к какой общности, будь то страна, государство, круг моих друзей и даже моя семья. Я всегда воспринимал эти связи как нечто не вполне мое, как постороннее, и мое желание уйти в себя с возрастом все усиливается. В такой самоизоляции есть привкус горечи, но я не жалею о том, что лишен понимания и сочувствия со стороны других людей. Конечно, из-за этого я что-то теряю, но обретаю куда больше, а именно: независимость от общепринятых привычек, мнений и предрассудков. Я свободен от соблазна воздвигнуть здание своего душевного спокойствия на столь шатком фундаменте.
Альберт Эйнштейн умер в Принстоне 18 апреля 1955 года от аневризмы. Он отказался от операции, не желая менять естественный ход вещей.
Глава 7
Наблюдательные подтверждения ОТО
Эксперимент – истинный посредник между человеком и природой.
Леонардо да Винчи
Решение Шварцшильда
Для того чтобы обсудить многие эффекты ОТО, необходимо познакомиться с одним из самых важных решений (а возможно, и самым важным) уравнений ОТО – решением немецкого астронома Карла Шварцшильда (1873–1916). Оно получено в 1916 году, всего лишь через несколько месяцев после публикации Эйнштейном своих уравнений гравитационного поля. Это решение соответствует статическому сферически симметричному вакуумному пространству-времени. (О вакуумных решениях уравнений Эйнштейна см. Дополнение 4.) Слова, выделенные курсивом – это условия (ограничения), при которых искалось решение. Эти же условия определяют, чему в реальности должно соответствовать найденное решение – это пространство-время вокруг изолированного сферически симметричного тела. "Изолированного" – это в идеале, а в реальности – вокруг тела, достаточно удаленного от всех остальных тел. Таким образом, в очень хорошем приближении это решение описывает и гравитационное поле вокруг Солнца и каждой из планет Солнечной системы, шаровых звездных скоплений. Поэтому с использованием именно этого решения были проверены первые эффекты ОТО.
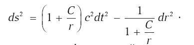
Решение Шварцшильда в математическом плане простое, поэтому мы немного с ним повозимся. Собственно, решением уравнений явилась метрика:

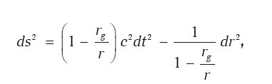
Здесь также в силу сферической симметрии мы опустили угловую часть, оставив только временную и радиальную. C – постоянная интегрирования, без дополнительных предположений или принципов ее определить невозможно. Здесь самое время обратиться к принципу соответствия. При "бесконечном" удалении от центра r → ∞ эта метрика обращается в метрику пространства Минковского в сферических координатах, точно так же, как и метрика пространства-времени Ньютона, которую мы уже обсуждали. Значит, на достаточном удалении нам необходимо сравнить новую метрику с метрикой пространства-времени Ньютона, обсуждавшейся в предыдущей главе. При аккуратной процедуре приближения оказывается, что здесь основное возмущение в метрику плоского мира вносится только первым слагаемым в выражении для интервала. Нужно сравнить его с аналогичным членом в метрике Ньютона. Это нам даст C = –2GM/c, после чего метрика Шварцшильда запишется в окончательном виде:

где величина rg = 2GM/c называется гравитационным радиусом. Мы так подробно обсуждаем решение Шварцшильда потому, что это еще и базовое решения для черных дыр, речь о которых впереди. Также потом мы обсудим смысл гравитационного радиуса. А сейчас важно отметить, что появился параметр, определяющий решение, – это масса тела M, обращение в нуль этого параметра превращает решение Шварцшильда в метрику плоского мира.
Классические тесты теории Эйнштейна
Радостные новости сегодня! Лоренц телеграфировал мне, что английская экспедиция доказала отклонение лучей света вблизи Солнца.
Альберт Эйнштейн в письме матери
Теперь мы во всеоружии, чтобы перейти к классическим тестам, подтвердившим ОТО. Уже в 1915 году, сразу после опубликования своих уравнений, Эйнштейн назвал три эксперимента, результаты которых должны соответствовать выводам новой теории.
Первый из этих экспериментов – отклонение луча света в гравитационном поле массивного тела. Из-за слабости эффекта в роли массивного тела в то время могло выступить только Солнце. А отклонять оно может свет далекой звезды, координаты которой известны достаточно точно.
Второй эксперимент – смещение перигелиев планет. Мы уже говорили об аномальном смещении перигелия Меркурия, о котором было известно с середины XIX века.
Третий эксперимент – эффект гравитационного красного смещения. Его суть в том, что электромагнитное излучение, испущенное из окрестности гравитируещего тела, должно терять энергию. Это выражается в том, что частота сигнала уменьшается, то есть его спектр смещается в красную сторону. Для точного теоретического описания этих эффектов как раз было необходимо решение Шварцшильда, которое не замедлило появиться, как мы уже отметили и только что представили.