Хотя в конечном счете выбор значения дисконта, который играет роль порогового (минимального) значения норматива рентабельности капиталовложений, является прерогативой инвестора, в практике проведения инвестиционных расчетов часто в качестве ориентира используют ставку процента государственных ценных бумаг. Считается, что при этой ставке государство гарантирует хозяйствующим субъектам возврат инвестируемого капитала без какого-либо риска. В российской практике ориентиром является также ставка рефинансирования Центрального банка, определяющая нижнюю границу платы за кредит.
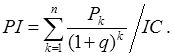
Индекс рентабельности инвестиций. Этот критерий является по сути вариантом предыдущего. Индекс рентабельности (РI) рассчитывается по формуле:

Очевидно, что если РI > 1, то проект целесообразно принять; если РI < 1, то проект следует отвергнуть; при РI = 1 проект не является ни прибыльным, ни убыточным.
В отличие от чистой текущей стоимости индекс рентабельности является относительным показателем: он характеризует уровень доходов на единицу затрат, т. е. эффективность вложений – чем больше значение этого показателя, тем выше отдача каждого рубля, инвестированного в данный проект. Благодаря этому критерий РI очень удобен при выборе одного проекта из ряда альтернативных, имеющих примерно одинаковые значения NPV . В частности, если два проекта имеют одинаковые значения NPV, но разные объемы требуемых инвестиций, то очевидно, что выгоднее тот из них, который обеспечивает большую эффективность вложений.
Прибыль и рентабельность – два принципиально разных критерия. Максимизация по ним весьма часто приводит к разным результатам. Рентабельность – это частное от деления прибыли на расходы (инвестиции). Обозначим доходы как Д, расходы как Р, тогда прибыль П = Д – Р, а рентабельность Ре = Д/Р – 1. Другими словами, рентабельность – это относительная прибыль, она показывает, какой доход приносит 1 руб. вложений.
В отличие от прибыли рентабельность выше для небольших проектов, как правило, использующих побочные результаты реализации крупных проектов. Например, организация розничной торговли среди строителей ГЭС опирается на использование дорог и наличие потребительского спроса. И то, и другое – результаты реализации проекта строительства ГЭС. При этом рентабельность торгового проекта, очевидно, во много раз выше рентабельности строительства ГЭС, что, например, должно учитываться при налогообложении.
Под внутренней нормой доходности инвестиций (обозначается IRR – от Internal Rate of Return, синонимы: внутренняя норма прибыли, внутренняя норма окупаемости) понимают значение коэффициента дисконтирования q , при котором NPV проекта равна нулю:
IRR = q, при котором NPV(q) = 0.
Иными словами, если обозначить IС = CF 0 и CF k – элемент финансового потока проекта, соответствующий k – му моменту времени, то IRR находится из уравнения:

Смысл расчета внутренней нормы прибыли при анализе эффективности планируемых инвестиций, как правило, заключается в следующем: IRR показывает верхнюю границу зоны ожидаемой доходности проекта, и, следовательно, максимально допустимый относительный уровень расходов. Например, если проект полностью финансируется за счёт ссуды коммерческого банка, то значение IRR показывает верхнюю границу допустимого уровня банковской процентной ставки, превышение которого делает проект убыточным.
На практике любая организация финансирует свою деятельность, в том числе и инвестиционную, из различных источников. В качестве платы за пользование авансированными в деятельность организации финансовыми ресурсами она уплачивает проценты, дивиденды, вознаграждения и т. п., иными словами, несет некоторые обоснованные расходы на поддержание экономического потенциала. Показатель, характеризующий уровень этих расходов относительно долгосрочных источников средств, называется средневзвешенной ценой капитала ( WACC – Weight Average Cost of Capital ) . Этот показатель отражает сложившийся в организации минимум возврата на вложенный в ее деятельность капитал, его рентабельность, и рассчитывается по формуле средней арифметической взвешенной.
Таким образом, экономический смысл критерия IRR заключается в следующем: организации выгодно принимать любые решения инвестиционного характера, внутренние нормы доходности которых не больше текущего значения показателя "цена капитала" СС . Под показателем СС понимается либо WACC, если источник средств точно не идентифицирован, либо цена целевого источника, если таковой имеется. Именно с показателем СС сравнивается критерий IRR, рассчитанный для конкретного проекта, при этом связь между ними такова.
Если IRR < СС, то проект целесообразно принять; если IRR > СС, то проект следует отвергнуть; при IRR = СС проект не является ни прибыльным, ни убыточным.
Независимо от того, с чем сравнивается IRR, очевидно одно: проект принимается, если его IRR меньше некоторой пороговой величины; поэтому при прочих равных условиях, как правило, меньшее значение IRR считается предпочтительным.
Итак, неопределенности, связанной с произволом в выборе нормы дисконта инвестором, можно избежать, рассчитав внутреннюю норму доходности IRR . Ожидается, что при меньшем значении дисконт-фактора прибыль положительна, а при большем – отрицательна. К сожалению, такая интерпретация не всегда допустима, поскольку для некоторой совокупности потоков платежей чистая текущая стоимость равна 0 не для одного значения дисконт-фактора, а для многих (см. об этом, например, монографии [2,3]). Однако традиционная интерпретация корректна в подавляющем большинстве реальных ситуаций, в частности, если платежи всегда предшествуют поступлениям. Поэтому многие экономисты считают наиболее целесообразным использование внутренней нормы доходности как основной характеристики при сравнении потоков платежей.
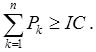
Срок окупаемости инвестиций. Этот критерий, являющийся одним из самых простых и широко распространенных в мировой учетно-аналитической практике, не предполагает учета временной упорядоченности денежных поступлений. Алгоритм расчета срока окупаемости (РР) зависит от равномерности распределения прогнозируемых доходов от инвестиций. Если доход распределен по годам равномерно, то срок окупаемости рассчитывается делением единовременных затрат на величину годового дохода, обусловленного ими. При получении дробного числа оно обычно округляется в сторону увеличения до ближайшего целого. Если прибыль распределена неравномерно, то срок окупаемости рассчитывается прямым подсчетом числа лет, в течение которых инвестиция будет погашена кумулятивным доходом. Общая формула расчета показателя РР имеет вид:
РР = min n, при котором

Нередко показатель РР рассчитывается более точно, т. е. рассматривается и дробная часть года; при этом делается предположение, что денежные потоки распределены равномерно в течение каждого года.
Многие специалисты при расчете срока окупаемости инвестиций все же рекомендуют учитывать временной аспект. В этом случае в расчет принимаются денежные потоки, дисконтированные по показателю q = WACC, а соответствующая формула для расчета дисконтированного срока окупаемости, DPP , имеет вид:
DPP = min n, при котором