норберт винер - Кибернетика или управление и связь в животном и машине стр 32.

Шрифт
Фон

Кибернетика или управление и связь в...

Кибернетика или управление и связь в... (3.15)

Следовательно, если Ф[f(t)] - "функционал" от f(t), т. е. число, зависящее от всей истории функции f(t), и среднее значение f(t) по всему ансамблю конечно, то мы вправе применить эргодическую теорему Биркгоффа из предыдущей главы и заключить, что всюду, исключая множество значений f(t) нулевой вероятности, существует временно́е среднее от Ф[f(t)], или в символах

Кибернетика или управление и связь в... (3.16)

[c.128]

Но это еще не все. В предыдущей главе проводилась другая теорема эргодического характера, доказанная фон Нейманом: коль скоро некоторая система переходит в себя при данной группе сохраняющих меру преобразований, как в случае нашего уравнения (3.15), то, за исключением множества элементов нулевой вероятности, каждый элемент системы входит в подмножество (быть может, равное всему множеству), которое: 1) переходит в себя при тех же преобразованиях; 2) имеет меру, определенную на нем самом и также инвариантную при этих преобразованиях; 3) замечательно тем, что любая часть этого подмножества с мерой, сохраняемой данной группой преобразований, имеет либо максимальную меру всего подмножества, либо меру 0. Отбросив все элементы, не принадлежащие к такому подмножеству, и используя для него надлежащую меру, мы найдем, что временно́е среднее (3.16) почти во всех случаях равно среднему значению функционала Ф[f(t)] по всему пространству функций f(t), т. е. так называемому фазовому среднему. Стало быть, в случае такого ансамбля функции f(t), за исключением множества случаев нулевой вероятности, мы можем найти среднее значение любого статистического параметра ансамбля по записи любого временного ряда ансамбля, применяя временно́е среднее вместо фазового. Более того, этим путем можно найти одновременно любое счетное множество таких параметров ансамбля, и нам нужно знать лишь прошлое одного, почти какого угодно временного ряда ансамбля. Другими словами, если дана вся прошлая история - вплоть до настоящего момента - временного ряда, принадлежащего к ансамблю в статистическом равновесии, то мы можем вычислить с вероятной ошибкой, равной нулю, все множество статистических параметров ансамбля, к которому принадлежит ряд. До сих пор мы установили это для отдельного временного ряда, но сказанное справедливо также для многомерных временных рядов, где вместо одной изменяющейся величины мы имеем несколько одновременно изменяющихся величин.

Теперь мы можем рассмотреть различные задачи, относящиеся к временным рядам. Ограничимся случаями, в которых все прошлое временного ряда может быть задано счетным множеством величин. Например, для [c.129] довольно широкого класса функций f(t) (-∞ < t < ∞) функция f(t) полностью определена, если известно множество величин

Кибернетика или управление и связь в...,

(n=0, 1, 2, …) (3.17)

Пусть теперь А - некоторая функция от будущих значений t, т. е. от значений аргумента, больших нуля. Тогда мы можем определить совместное распределение величин (a0, a1, …, аn, A) из прошлого одного, почти любого временного ряда, если множество функций f берется в самом узком возможном смысле. В частности, если даны все a0, …, аn, то мы можем найти распределение функции А. Здесь мы прибегаем к известной теореме Никодима об условных вероятностях. Та же теорема гарантирует нам, что это распределение при весьма общих условиях стремится к пределу, когда n→∞, и этот предел даст нам полные сведения относительно распределения любой будущей величины. Мы можем таким же образом определить по известному прошлому совместное распределение значений любого множества будущих величин или любого множества величин, зависящих от прошлого и от будущего. Если теперь нам дана некоторая подходящая интерпретация "наилучшего значения" статистического параметра или множества статистических параметров - например, в смысле математического ожидания, или медианы, или моды, - то мы можем вычислить это значение из известного распределения и получить предсказание, удовлетворяющее любому желательному критерию надежности предсказания. Мы можем численно оценить качество предсказания, применяя какой угодно статистический показатель качества: среднеквадратическую ошибку, максимальную ошибку, среднюю абсолютную ошибку и т. д. Мы можем вычислить количество информации о любом статистическом параметре или множестве статистических параметров, которое дает нам фиксация прошлого. Можно даже вычислить количество информации о всем будущем после определенного момента, даваемое нам знанием прошлого. Правда, если этот момент - настоящее, то, вообще говоря, мы будем знать о нем из прошлого, и наше знание настоящего будет содержать бесконечно много информации. [c.130]

Другой интересной проблемой является проблема многомерных временных рядов, в которых мы точно знаем лишь прошлое нескольких составляющих. Распределение величины, зависящей от более богатого прошлого, может изучаться методами, весьма близкими к уже рассмотренным. В частности, нам может понадобиться узнать распределение значений другой составляющей или множества значений других составляющих в некоторый момент прошлого, настоящего или будущего. К этому классу относится и общая задача о волновом фильтре. Даны сообщение и шум, скомбинированные некоторым образом в искаженное сообщение, прошлое которого нам известно. Нам известно также статистическое совместное распределение сообщения и шума как временных рядов. Мы ищем распределение значений сообщения в данный момент прошлого, настоящего или будущего. Затем мы разыскиваем оператор, который, будучи применен к прошлому искаженного сообщения, восстановит истинное сообщение наилучшим образом, в данном статистическом смысле. Мы можем также искать статистическую оценку какой-либо меры ошибок в нашем знании сообщения. Наконец, мы можем искать количество информации, которым располагаем в сообщении.

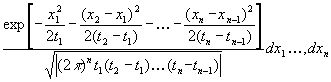
Особенно простым и важным является ансамбль временных рядов, связанный с броуновым движением. Броуновым движением называется движение частицы газа, толкаемой случайными ударами других частиц под действием теплового возбуждения. Теория его была разработана многими исследователями, в частности Эйнштейном, Смолуховским, Перреном и автором. Если только мы не спускаемся по шкале времени до столь малых промежутков, что становятся различимыми отдельные удары частиц по данной частице, броуново движение обнаруживает любопытное явление недифференцируемости. Средний квадрат перемещения частицы в данном направлении за данный промежуток времени пропорционален длине этого промежутка, а перемещения за [c.131] последовательные промежутки времени совершенно не коррелируются между собой. Это вполне согласуется с физическими наблюдениями. Если мы нормируем шкалу броунова движения соответственно шкале времени и будем рассматривать только одну координату х, положив x(t)=0 для t=0, то вероятность того, что при 0≤t1t2…≤tnчастицы находятся между х1 и x1+dx1 в момент t1, между х2 и x2+dx2 в момент t2, …, между xn и xn+n в момент tn, равна

Кибернетика или управление и связь в.... (3.18)

Исходя из создаваемой этим системы вероятностей, вполне однозначной, мы можем ввести на множестве путей, соответствующих различным возможным броуновым перемещениям, такой параметр α, лежащий между 0 и 1, что: 1) каждый путь будет функцией x(t,α), где х зависит от времени t и параметра распределения α и 2) вероятность данному пути находиться в данном множестве S будет равна мере множества значений α, соответствующих путях, находящимся в S. Поэтому почти все пути будут непрерывными и недифференцируемыми.

Весьма интересен вопрос об определении среднего значения произведения x(t1, α) … x(tn, α) относительно α. Это среднее равно

Ваша оценка очень важна

0
Шрифт
Фон

Помогите Вашим друзьям узнать о библиотеке