норберт винер - Кибернетика или управление и связь в животном и машине стр 30.

Шрифт
Фон

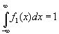
Эта задача по существу состоит в определении ширины областей, расположенных под кривыми y=f1(x) и y=f2(x). Заметим, что, по нашему допущению, переменная х имеет основное равномерное распределение, т. е. наши результаты, вообще говоря, будут другими, если мы заменим х на х или на какую-либо другую функцию от х. Так как f1(x) есть плотность вероятности, то

Кибернетика или управление и связь в... (3.04)

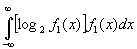
Поэтому средний логарифм ширины области, расположенной под кривой f1(x), можно принять за некоторое среднее значение высоты логарифма обратной величины функции f1(x). Таким образом, разумной мерой количества информации, связанного с кривой f1(x), может служить[c.121]

Кибернетика или управление и связь в... (3.05)

Величина, которую мы здесь определяем как количество информации, противоположна по знаку величине, которую в аналогичных ситуациях обычно определяют как энтропию. Данное здесь определение не совпадает с определением Р.А. Фишера для статистических задач, хотя оно также является статистическим определением и может применяться в методах статистики вместо определения Фишера.

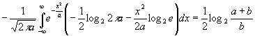
В частности, если f1(x) постоянна на интервале (а, b) и равна нулю вне этого интервала, то

Кибернетика или управление и связь в... (3.06)

Используя это выражение для сравнения информации о том, что некоторая точка находится в интервале (0, 1), с информацией о том, что она находится в интервале (а, b), получим как меру разности

Кибернетика или управление и связь в... (3.07)

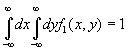
Определение, данное нами для количества информации, пригодно также в том случае, когда вместо переменной х берется переменная, изменяющаяся в двух или более измерениях. В двумерном случае f1 (x, y) есть такая функция, что

Кибернетика или управление и связь в... (3.08)

и количество информации равно

Кибернетика или управление и связь в... (3.081)

Заметим, что если f1(x, y) имеет вид φ(х)ψ(y) и

Кибернетика или управление и связь в..., (3.082)

[c.122]

то

Кибернетика или управление и связь в... (3.083)

и

Кибернетика или управление и связь в... (3.084)

т. е. количество информации от независимых источников есть величина аддитивная.

Интересной задачей является определение информации, получаемой при фиксации одной или нескольких переменных в какой-либо задаче. Например, положим, что переменная u заключена между х и x+dx с вероятностью

Кибернетика или управление и связь в...,

а переменная v заключена между теми же двумя пределами с вероятностью

Кибернетика или управление и связь в...

Сколько мы приобретаем информации об u, если знаем, что u+v=w? В этом случае очевидно, что u=w-v, где w фиксировано. Мы полагаем, что априорные распределения переменных u и v независимы, тогда апостериорное распределение переменной u пропорционально величине

Кибернетика или управление и связь в..., (3.09)

где c1 и c2 - константы. Обе они исчезают в окончательной формуле.

Приращение информации об u, когда мы знаем, что w таково, каким мы его задали заранее, равно

Кибернетика или управление и связь в...[c.123]

Кибернетика или управление и связь в... (3.091)

Заметим, что выражение (3.091) положительно и не зависит от w. Оно равно половине логарифма от отношения суммы средних квадратов переменных u и v к среднему квадрату переменной v. Если v имеет лишь малую область изменения, то количество информации об u, которое дается знанием суммы u+v, велико и становится бесконечным, когда b приближается к нулю.

Мы можем истолковать этот результат следующим образом. Будем рассматривать u как сообщение, а v - как помеху. Тогда информация, переносимая точным сообщением в отсутствие помехи, бесконечна. Напротив, при наличии помехи это количество информации конечно и быстро приближается к нулю по мере увеличения силы помехи.

Мы сказали, что количество информации, будучи отрицательным логарифмом величины, которую можно рассматривать как вероятность, по существу есть некоторая отрицательная энтропия. Интересно отметить, что эта величина в среднем имеет свойства, которые мы приписываем энтропии.

Пусть φ(х) и ψ(x) - две плотности вероятностей, тогда

Ваша оценка очень важна

0
Шрифт
Фон

Помогите Вашим друзьям узнать о библиотеке