норберт винер - Кибернетика или управление и связь в животном и машине стр 29.

Шрифт
Фон

Легче отвергнуть вопрос, поставленный Максвеллом, чем ответить на него. Самое простое - отрицать возможность подобных существ или устройств. При строгом исследовании мы действительно найдем, что демоны Максвелла не могут существовать в равновесной системе, но если мы примем с самого начала эту невозможность и не будем пытаться доказать ее, то упустим прекрасный случай узнать кое-что об энтропии и о возможных физических, химических и биологических системах.

Чтобы демон Максвелла мог действовать, он должен получать от приближающихся частиц информацию об их скорости и точке удара о стенку. Независимо от того, связаны ли эти импульсы с переносом энергии или нет, они предполагают связь между демоном и газом. Но закон возрастания энтропии справедлив для полностью изолированной системы и неприменим к неизолированной части такой системы. Поэтому мы должны рассматривать энтропию системы газ - демон, а не энтропию одного газа. Энтропия газа есть лишь компонент общей энтропии более широкой системы. Можно ли найти другие, связанные с демоном компоненты, входящие в общую энтропию?

Без малейшего сомнения, можно. Демон способен действовать лишь на основании принимаемой информации, а эта информация, как мы увидим в следующей главе, представляет собой отрицательную энтропию. Информация должна переноситься каким-то физическим процессом, например какой-то формой излучения. Можно вполне допустить, что эта информация переносится на очень низком энергетическом уровне и что перенос энергии от частицы к демону в течение продолжительного времени имеет гораздо меньшее значение, чем перенос информации. Но по законам квантовой механики [c.116] нельзя получить информацию о положении или импульсе частицы, а тем более о том и другом без воздействия на энергию исследуемой частицы, причем это воздействие должно превышать некоторый минимум, зависящий от частоты света, применяемого для исследования. Поэтому во всякой связи необходимо участвует энергия, и система, находящаяся в статистическом равновесии, должна находиться в равновесии как по отношению к энтропии, так и по отношению к энергии. В конечном счете максвеллов демон будет подвержен случайному движению, соответствующему температуре окружающей среды, и, как говорит Лейбниц о некоторых монадах, будет получать большое число малых впечатлений, пока не впадет в "головокружение" и не потеряет способность к ясным восприятиям. По существу, он перестанет действовать как максвеллов демон.

Тем не менее до того как демон собьется с толку, может пройти немалое время, и оно может оказаться столь продолжительным, что мы вправе называть активную фазу демона метастабильной. Нет оснований полагать, что метастабильные демоны в действительности не существуют; напротив, вполне возможно, что энзимы являются метастабильными максвелловыми демонами, которые уменьшают энтропию, пусть не разделением быстрых и медленных частиц, а каким-нибудь другим эквивалентным процессом. Мы вполне можем рассматривать живые организмы, как и самого Человека, в этом свете. Без сомнения, энзим и живой организм одинаково метастабильны: стабильное состояние энзима наступает, когда он перестает действовать, а стабильное состояние живого организма наступает с его смертью. Все катализаторы в конце концов отравляются, ибо они изменяют лишь скорости реакций, но не меняют истинного равновесия. Тем не менее и катализаторы, и человек имеют настолько определенные состояния метастабильности, что эти состояния можно считать относительно постоянными.

Я не хотел бы кончить эту главу, не сказав, что эргодическая теория - гораздо более обширный предмет, нежели здесь изложено. В некоторых новейших направлениях эргодической теории мера, остающаяся инвариантной при группе преобразований, определяется непосредственно самой группой, а не задается заранее. [c.117] В особенности я должен упомянуть работы Крылова и Боголюбова и некоторые работы Гуревича и японской школы.

Следующая глава посвящена статистической механике временных рядов. В этой области условия также очень далеки от условий, принимаемых статистической механикой для тепловых двигателей, и поэтому они весьма хорошо могут служить моделью того, что происходит в живых организмах. [c.118]

Глава III. Временные ряды, информация и связь

Существует широкий класс явлений, в которых объектом наблюдения служит какая-либо числовая величина или последовательность числовых величин, распределенные во времени. Температура, непрерывно записываемая самопишущим термометром; курс акций на бирже в конце каждого дня; сводка метеорологических данных, ежедневно публикуемая бюро погоды, - все это временные ряды, непрерывные или дискретные, одномерные или многомерные. Эти временные ряды меняются сравнительно медленно, и их вполне можно обрабатывать посредством вычислений вручную или при помощи обыкновенных вычислительных приборов, таких, как счетные линейки и арифмометры. Их изучение относится к обычным разделам статистической науки.

Но не все отдают себе отчет в том, что быстро меняющиеся последовательности напряжений в телефонной линии, телевизионной схеме или радиолокаторе точно так же относятся к области статистики и временных рядов, хотя приборы, которые их комбинируют и преобразуют, должны, вообще говоря, обладать большим быстродействием и, более того, должны выдавать результаты одновременно с очень быстрыми изменениями входного сигнала. Эти приборы: телефонные аппараты, волновые фильтры, автоматические звукокодирующие устройства типа вокодера Белловских телефонных лабораторий, схемы частотной модуляции и соответствующие им приемники - по существу [c.119] представляют собой быстродействующие арифметические устройства, соответствующие всему собранию вычислительных машин и программ статистического бюро, вместе со штатом вычислителей. Необходимый для их применения разум был вложен в них заранее, так же как и в автоматические дальномеры и системы управления артиллерийским зенитным огнем и по той же причине: цепочка операций должна выполняться настолько быстро, что ни в одном звене нельзя допустить участия человека.

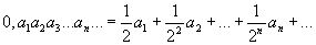
Все эти временные ряды и все устройства, работающие с ними, будь то в вычислительном бюро или в телефонной схеме, связаны с записью, хранением, передачей и использованием информации. Что же представляет собой эта информация и как она измеряется? Одной из простейших, наиболее элементарных форм информации является запись выбора между двумя равновероятными простыми альтернативами, например между гербом и решеткой при бросании монеты. Мы будем называть решением однократный выбор такого рода. Чтобы оценить теперь количество информации, получаемое при совершенно точном измерении величины, которая заключена между известными пределами А и В и может находиться с равномерной априорной вероятностью где угодно в этом интервале, положим А=0, В=1 и представим нашу величину в двоичной системе бесконечной двоичной дробью 0, а1 а2 а3an …, где каждое а1, а2, … имеет значение 0 или 1. Здесь

Кибернетика или управление и связь в... (3.01)

Мы видим, что число сделанных выборов и вытекающее отсюда количество информации бесконечны.

Однако в действительности никакое измерение не производится совершенно точно. Если измерение имеет равномерно распределенную ошибку, лежащую в интервале длины 0, b1b2bn …, где bk - первый разряд, отличный от 0, то, очевидно, все решения от а1 до аk-1 и, возможно, до ak будут значащими, а все последующие - нет. Число принятых решений, очевидно, близко к

Кибернетика или управление и связь в... (3.02)

[c.120]

и это выражение мы примем за точную формулу количества информации и за его определение.

Это выражение можно понимать следующим образом: мы знаем априори, что некоторая переменная лежит между нулем и единицей, и знаем апостериори, что она лежит в интервале (а, b) внутри интервала (0, 1). Тогда количество информации, извлекаемой нами из апостериорного знания, равно

Кибернетика или управление и связь в... (3.03)

Рассмотрим теперь случай, когда мы знаем априори, что вероятность нахождения некоторой величины между х и x+dx равна f1(x)dx, а апостериорная вероятность этого равна f2(x)dx. Сколько новой информации дает нам наша апостериорная вероятность?

Ваша оценка очень важна

0
Шрифт
Фон

Помогите Вашим друзьям узнать о библиотеке