8.
"Ехали медведи на велосипеде,
А за ними кот, задом наперед,
А за ним комарики на воздушном шарике,
А за ними раки на хромой собаке.
Зайчики в трамвайчике, жаба на…?"
(На чем?)
9. Как называют человека в возрасте до 10 дней?
4 тур
ГРУППА А
1. Какое местоимение является помощником прилагательного?
2. В романе "Дубровский" главным развлечением Кирила Петровича была охота. Как называлось место для охоты в XIX веке?
3. Какие храмы были построены на Руси в X–XI веках?
4. What language is spoken in Holland?
5. Художники этого стиля писали чистыми красками, музыканты – чистыми звуками. Назовите этот стиль.
6. Что такое локальный цвет предмета?
7. Напишите названия хотя бы 30 рек Евразии, названия которых состоят из 3 букв.
8. Как называются лепестки цветка бобовых?
9. Найдите угол между часовой и минутной стрелками в 7 часов 38 минут утра.
10. Для девочек: по какой формуле рассчитывается суммарная величина вытачек?
Для мальчиков: что такое технологическая карта?
11. В каких соревнованиях принимал участие Робин Гуд?
ГРУППА Б
1. Убив целую семью – супругов и их многочисленных детей, этот герой Джозефа Редьярда Киплинга спас другую семью: мужа, жену и их сына. Кто он?
2. В соответствии с требованиями французского военного устава, именно так надлежит отвечать на вопрос: "Каков состав жидкости гидравлического тормоза орудия калибром 75 мм?"
3. Это новшество обувщика Джеймса Смита в 1792 году изменило и производство, и продажу обуви. Что придумал Смит?
4. В Германии полицейский – вахтмайстер, во Франции – ажан, в США – офицер, а в Англии -?
5. Как древние римляне называли группу рабов, принадлежавших одному хозяину?
6. Что означают буквы "ТТ" на известном пистолете?
7. Чего боятся люди, страдающие трискайдекафобией?
8. Неосторожно убив копьем своего любимого оленя, он превратился в копьевидное дерево, чтобы вечно скорбеть о своей оплошности. Назовите его.
9. У монет есть аверс, реверс и…?
7 класс
1 тур
ГРУППА А
1. Как пишутся предлоги: (в)течени…, (в)продолжени…, (в)следстви…
2. Кто автор романа о приключениях Робинзона Крузо?
3. Какая фамилия была у Петра I?
4. What is the capital of Scotland?
5. Где находится полюс холода Земли?
6. Какие вы знаете вегетативные органы?
7. При встряхивании медицинского термометра столбик ртути в нем опускается. Какое физическое явление лежит в основе этого: а) трение; б) инерция; в) тяготение; г) диффузия; д) взаимодействие молекул?
8. Как называется чертежный инструмент для проведения или проверки кривых линий: а) транспортир; б) лекало; в) угольник; г) кривошип?
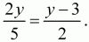
9. Решите следующее уравнение:
![]()
10. Что такое отрезок?
11. Для девочек: что означает этот значок по уходу за изделием (рис. 1)?

Рис. 1.
Для мальчиков: что такое строгание?
12. Назовите вид спорта, который входит в программу Олимпийских игр, одним из участников которого является человек, а другим – животное, про которое поет группа "Шао? Бао!".
ГРУППА Б
1. Этот профессор живописи изобрел телеграфный аппарат, а также азбуку для передачи сообщений. До сих пор они пользуются популярностью у некоторых моряков и радиолюбителей. Назовите профессора.
2. На разведку какой страны работал агент 007 Джеймс Бонд?
3. В апреле 1912 года близ мыса Рао этот большой корабль столкнулся с айсбергом и потонул, унеся с собой 1 500 жизней. Как назывался корабль?
4. Какое животное изображено на картине Василия Григорьевича Перова "Тройка"?
5. У него была собака, он ее любил. За что он ее убил?
6. Чему равна сумма очков на гранях игральной кости?
7. Сколько клыков должно быть у здорового человека?
8. Историко-спортивный вопрос: даже если не знаете, догадайтесь, какое сражение произошло в 490 году до н. э. примерно на расстоянии 42 км от Афин?
2 тур
ГРУППА А
1. Напишите правильно словосочетание: (во)(что)(бы)(то)(ни)(стало).
2. Что такое антитеза?
3. Памятником архитектуры XVI века является: а) Софийский собор; б) собор Василия Блаженного; в) Исаакиевский собор.
4. Переведите на русский язык и ответьте, истинным или ложным является данное утверждение: Penicillin was invented by Mark Twain.
5. В какое время часовая стрелка будет проектироваться на плоскость стола: а) в точку; б) в натуральную величину; в) в половину натуральной величины? Что будут представлять собой в то же время проекции минутной стрелки? (Плоскость часового круга перпендикулярна плоскости стола.)
6. Известно, что для любого правила есть исключения. Есть ли исключения из закона широтной зональности? Подтвердите свой ответ фактами физической географии.
7. Что такое гисперидий?
8. Каким образом можно увеличить КПД подвижного блока: а) увеличить массу блока; б) уменьшить массу блока и трение в его оси; в) увеличить диаметр блока; г) поднимать груз медленнее; д) поднимать груз быстро?
9. Катя съедает коробку конфет за 3 минуты, а Валя – за 6 минут. За сколько минут Катя и Валя съедят коробку конфет, если будут есть одновременно?
10. Точка В лежит между точками А и С. ABIBC = 4/3. Найдите ВС/АС.
11. Для девочек: по какой мерке определяют размер (ширину) плечевого изделия?
Для мальчиков: перечислите виды пиломатериалов.
12. Назовите вид спорта, соревнования по которому в дореволюционной России часто проходили на арене цирка.
ГРУППА Б
1. Сиамский царь приказал забрасывать осажденный город ЭТИМ. Защитники города бросились на ЭТО, поэтому царь без труда вошел в город, перебил всех и вернул ЭТО с лихвой. ЭТО – что это?
2. Когда была изобретена установка, предназначенная для определения наличия жизни на Марсе, она была опробована на Земле. Как вы думаете, какой был получен результат?
3. Вначале он убедил алчного Агабека, что ишак на самом деле зачарованный египетский принц. За принца Агабек не пожалел ни своего дома, ни доходного озера. А озеро наш герой отдал народу в обмен на общего для всей деревни воробья. Как зовут нашего героя?
4. Какой род войск герцог Бургундский назвал "ключом французских городов"?
5. Для Чехии это дерево – символ процветания, для нас – символ грубой подделки. Что это за дерево?
6. Ботаника назовет их семенами сибирской сосны, а как назовем их мы?
7. Этот писатель очень любит давать детям "вредные советы". Назовите его фамилию.
8. Как называется знаменитый болгарский курорт, расположенный к северо-востоку от Варны?
3 тур
ГРУППА А
1. "Оглушенный ударом кулака (?) Буланин сначала зашатался на месте". Нужна ли здесь запятая?
2. Как называется нравственный урок, который дает автор и его произведение читателю и зрителю?
3. Кому и где поставила памятник "благодарная Россия"?
4. It is raining cats and dogs ? льет как из ведра. Greek meets Greek ? ?
5. Как называется способ изображения предметов на чертеже при помощи параллельных проекций, состоящий в том, что предмет изображается на плоскости вместе с пространственной системой координат, к которой он отнесен, и его проекцией на одну из координатных плоскостей?
6. Христофор Колумб открыл наиболее удобный и безопасный для парусников путь из Европы в Америку. Этот путь впоследствии назвали торговым, а также "дамской дорогой", настолько он легок и удобен для парусников. Действие какого природного фактора помогло великому мореплавателю?
7. Как называют организмы, не имеющие оформленного ядра?
8. Невесомая жидкость находится между двумя невесомыми поршнями, жестко связанными между собой тонкой, нерастяжимой нитью. На верхний поршень действует сила F, площади поршней S1 и S2 (рис. 2). Чему равно давление в жидкости?

Рис. 2.
9. В 2 ящиках 300 кг яблок. Когда из первого ящика во второй переложили 20 кг яблок, во втором ящике стало яблок в 2 раза меньше, чем в первом. Сколько яблок было в первом ящике первоначально?
10. В ?ABC LA = LC, AB = 15, АД=ДВ, ДКLAB, периметр ?АКС = 24 (рис. 3). Найдите АС.