Мурадова Елена Олеговна - Безопасность жизнедеятельности стр 11.

Книгу можно купить на ЛитРес.
Всего за 104.9 руб. Купить полную версию
Шрифт
Фон

Безопасность жизнедеятельности

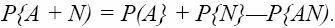
Если катастрофа невозможна К= AN не равна нулю, то P{AN} = 0. Последняя формула останется справедливой, если вместо ЧП А и N в нее подставить любые другие события Х Y.

Раздел 3. Защита населения и территорий от опасности в чрезвычайных ситуациях

Тема 1. Чрезвычайные ситуации мирного военного времени

1. Основные понятия и определения, классификация чрезвычайных ситуаций и объектов экономики по потенциальной опасности

Чрезвычайная ситуация – состояние, при котором в результате возникновения источника чрезвычайной ситуации на определенной территории или акватории нарушаются нормальные условия жизни и деятельности людей, возникает угроза их жизни и здоровья, наносится ущерб населения, народному хозяйству и окружающей природной среде.

Чрезвычайные ситуации подразделяются на техногенные, антропогенные, природные, а также по типам и видам событий, лежащих в основе этих ситуаций, по масштабу распространения, по сложности обстановки, тяжести последствий.

Классификация чрезвычайных ситуаций объектов экономики по потенциальной опасности:

1. с высвобождением механической энергией: взрывы, повреждения или разрушения механизмов, агрегатов, коммуникаций, обрушение конструкций и зданий; гидродинамические; прорывы плотин с вытекающими последствиями;

2. с высвобождением термической энергии: пожары, взрывы в зданиях на технологическом оборудовании; пожары на объектах добычи, переработки, хранении легковоспламеняющихся горючих, взрывчатых веществ; пожары на транспорте; пожары в зданиях жилого, социально-бытового и культурного назначения; обнаружение неразорвавшихся боеприпасов; утрата легковоспламеняющихся, горючих, взрывчатых веществ;

3. с высвобождением радиационной энергии: аварии на АЭС, АЭУ производственного и исследовательского назначения с выбросом или угрозой выброса радиоактивных веществ; аварии с выбросом радиоактивных веществ на предприятиях ядерно-топливного цикла; аварии на транспортных и космических средствах с ядерными установками или с грузом радиоактивных веществ; аварии с ядерными боеприпасами или эксплуатации, хранении или установки; утрата радиоактивных источников;

4. с высвобождением химической энергией: аварии с выбросом сильнодействующих ядовитых веществ при производственной переработке или хранении; аварии на транспорте с выбросом ядовитых веществ; образование и распространение сильнодействующих ядовитых веществ в процессе протекания химических реакций, начавшихся в результате аварии; аварии с химическими боеприпасами; утрата источников сильнодействующих ядовитых веществ;

5. утечка бактериологических агентов: нарушение правил эксплуатации объектов водоснабжения и канализации; нарушение технологии в работе предприятий пищевой промышленности; нарушение режима работы учреждений, санитарно-эпидемиологического профиля.

2. Характеристика поражающих факторов источников чрезвычайных ситуаций природного характера

Геологические природные явления: землетрясения, извержения вулканов, оползни, сели, снежные лавины, обвалы, осадки земной поверхности в результате карстовых явлений:

1. землетрясения – подземные толчки и колебания земной поверхности, возникающие в результате внезапных смещений и разрывов в земной или верхней части мантии и передающиеся на большие расстояния в виде упругих колебаний;

2. вулканическая деятельность возникает в результате постоянных активных процессов, происходящих в глубинах Земли и угрожают тем жителям Земли, которым грозят землетрясения;

3. оползень – скользящие смещения вниз по уклону под действием сил тяжести масс грунта, формирующих склоны холмов, гор, речные, озерные и морские террасы и вызываются обводнением грунта, изменением вида насаждений, уничтожением растительного покрова, выветриванием и сотрясением;

4. сели – кратковременные бурные паводки на горных реках, имеющих характер грязекаменных потоков в связи с землетрясениями, обильными снегопадами, ливнями, интенсивным таянием снега;

5. лавина – снежный обвал, масса снега, падающая или сползающая с горных склонов под влиянием какого-либо воздействия и увлекающая на своем пути новые массы снега.

Метеорологические вызываются ветром, в том числе бурей, ураганом, смерчем, сильным дождем, крупным градом, сильным снегопадом, сильными метелями, пыльными бурями, заморозками, сильными морозами или сильной жарой.

Ураган – ветер большой разрушительной силы и значительной продолжительности, скорость которого примерно равна 32 м/с и более.

Буря – ветер, скорость которого меньше скорости урагана, но достигает 15–20 м/с.

Пыльные бури – атмосферные возмущения, при которых в воздух поднимается большое количество пыли, перенесенной на значительное расстояние.

Потоковым бурям характерны движение воздуха по склону вниз, горизонтально или вверх по склону.

Смерч – атмосферный вихрь, возникающий в грозовом облаке и распространяющиеся в виде темного рукава по направлению к поверхности суши или моря.

Гидрологические вызываются:

1. высоким уровнем воды – наводнения, при которых происходит затопление пониженных частей городов и населенных пунктов, посевов сельскохозяйственных культур, повреждение промышленных и транспортных объектов;

2. низким уровнем воды, когда нарушается судоход водоснабжение городов и народнохозяйственных объектов, водоросительных систем;

3. селями и снежными лавинами;

4. ранним ледоставом и появлением льда на судоходных водоемах.

В понятие природные пожары входят лесные пожары, пожары степных и хлебных массивов, торфяные и подземные пожары горючих ископаемых и характеризуется неконтролируемым горением и стихийным распространением по поверхности.

К биологическим относят эпидемии, эпизоотии и эпифитотии.

Эпидемия – широкое распространение инфекционной болезни среди людей, значительно превышающее обычно регистрируемый по данной территории уровень заболеваемости.

Эпизоотии – инфекционные болезни животных, имеющие общие признаки (наличие специфического возбудителя, цикличность развития, способность передаваться от зараженного животного к здоровому и принимать эпизоотическое распространение.

Эпифитотия – распространение инфекционных заболеваний на значительных территориях в течение определенного времени, а также массовые заболевания, охватывающие несколько стран или континентов.

Космические опасности:

1. астероиды (малые планеты, диаметром 1 – 1000 км) и кометы представляют угрозу для всей биосферы, так как при столкновении с Землей удар будет сопровождаться выделением энергии, значительно превосходящей ядерный потенциал, имеющийся на Земле;

2. солнечная радиация – мощный оздоровительный и профилактический фактор, а также процесс, сопровождающийся вредными для организма последствиями (разрушение белков, витаминов, ферментов и т. п.).

3. Поражающие факторы чрезвычайных ситуаций военного времени

Чрезвычайных ситуаций военного времени планируются, подготавливаются и реализуются человеком, его разумом и поэтому имеют более сложный и изощренный характер, чем природные и техногенные опасности; в их реализации меньше стихийного и случайного; оружие применяется в самый неподходящий момент для жертвы агрессии и в самом уязвимом для нее месте; развитие средств поражения всегда опережает развитие адекватных средств защиты; для создания средств нападения всегда используются научные достижения, привлекаются лучшие силы и научно-производственная база; что приводит к тому, что от некоторых средств нападения практически невозможно найти и методов защиты; современные и будущие войны носят террористический, антигуманный характер; при этом мирное население воюющих стран превращается в один из объектов вооруженного воздействия с целью подрыва воли и способности противника оказывать сопротивление.

Катастрофические последствия для цивилизации представляет возможность применения оружия массового поражения: лазерное оружие, источники некогерентного света; СВЧ оружие; средства радиоактивной борьбы; оружие электромагнитного импульса; биотехнологическое оружие; средства информационной борьбы; высокочастотное оружие нового поколения; метеорологическое и геофизическое оружие; биологическое оружие нового поколения, включая психотропные средства; химическое оружие нового поколения; психотропное оружие; парапсихологические методы воздействия на человека. Ядерное оружие является самым мощным оружием массового поражения, которое основано на использовании внутренней ядерной энергии, в результате применения которого возникает очаг ядерного поражения. К поражающим факторам ядерного взрыва относятся: ударная волна, световое излучение, проникающая радиация, радиоактивное заражение местности, электромагнитный импульс.

Химическим оружием являются отравляющие вещества и средства их боевого применения. По тактическому назначению отравляющие вещества делятся на: смертельные, раздражающие и временно-выводящие из строя.

Биологическое оружием являются боеприпасы и приборы, снабженные патогенными микроорганизмами или их токсинами, предназначенными для заражения населения, объектов окружающей среды (воздуха, воды, почвы), растений, животных, запасов продовольствия, фуража с целью нанесения ущерба в живой силе и экономического ущерба противнику.

4. Радиационно-опасные объекты

Радиационно-опасными называют объекты народного хозяйства, использующие в своей деятельности источники ионизирующего излучения.

Ваша оценка очень важна

0
Шрифт
Фон

Помогите Вашим друзьям узнать о библиотеке

Скачать книгу

Если нет возможности читать онлайн, скачайте книгу файлом для электронной книжки и читайте офлайн.

fb2.zip txt txt.zip rtf.zip a4.pdf a6.pdf mobi.prc epub ios.epub fb3

Похожие книги