Всего за 94.9 руб. Купить полную версию

В связи с тем, что индивидуальные индексы используются для изучения динамики индексируемого показателя за короткие и более продолжительные периоды, возникает необходимость исчисления системы последовательных индексов. Различают два метода последовательного индексирования.
1. Метод постоянной (фиксированной) базы.
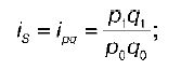
Согласно данному методу один из периодов, находящихся в знаменателе, принимается в качестве базисного, а остальные, находящиеся в числителе, последовательно меняются.
Предположим, что имеются данные р0, р1, …, рn-1, pn. Тогда система индивидуальных индексов с постоянной базой может быть записана следующим образом:

Это система базисных индексов. Индексы этой системы называются базисными и показывают, как изменяется цена по мере увеличения длительности рассматриваемого периода по отношению к одной базе.
2. Метод меняющейся (переменной) базы.
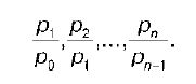
Согласно данному методу каждая индексная система исчисляется на основе своей базы по определенному порядку: в качестве базы индекса принимается предшествующий i -ый период.
Система индексов меняющейся базы может быть записана следующим образом:

Эта система цепных индексов. Индексы этой системы называются цепными, они характеризуют цену от одного периода к другому.
14. Агрегатная форма общего индекса. Правила взвешивания общих индексов
В связи с тем что статистика часто имеет дело с несоизмеримыми совокупностями, для изучения динамики таких совокупностей используют общие индексы или собственно индексы . Они строятся в агрегатной форме и в средней форме.
Агрегатная форма общего индекса качественных показателей.
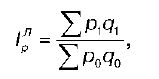
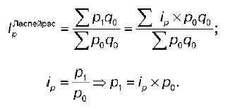
Рассмотрим агрегатную форму общего индекса цены. Первоначально эти индексы строились по формулам, предложенным учеными Г. Дюто и П. Карли . Однако эти формулы обладали рядом недостатков, поэтому позднее были предложены другие формулы, например формула Ласпейраса :

где р - индексируемая величина (цена);
q - количество проданных товаров в натуральном выражении (веса).
В настоящее время именно эта формула используется при изучении динамики цен. Этот индекс характеризует изменение цен в среднем по совокупности товаров в отчетном периоде по сравнению с базисным.
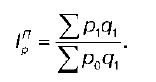
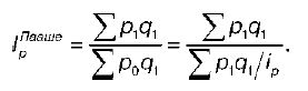
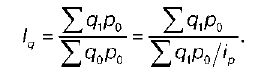
Общий индекс цены можно также определить по формуле Пааше :

Эта формула длительное время использовалась в СССР при изучении динамики цен. Но с переходом к рыночной экономике стала существенно изменяться структура потребительских расходов населения, т. е. на динамику цен существенное влияние стало оказывать изменение параметра q.
Правило взвешивания общих индексов качественных показателей.
Общий индекс качественных показателей в агрегатной форме взвешивается по весам отчетного периода. Например, общий индекс себестоимости в агрегатной форме:

Общий индекс урожайности в агрегатной форме:

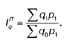
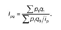
Агрегатная форма общих индексов количественных показателей. Рассмотрим агрегатную форму общего индекса физического объема товарооборота (q). Iq может быть построен по формуле Ласпейраса, которая является основной:

Данный индекс характеризует изменение физического объема товарооборота в среднем по совокупности товаров. Возможно также построение Iq по формуле Пааше:

Правило взвешивания общего индекса количественных показателей. Данные индексы взвешиваются по весам базисного периода.
Например, общий индекс посевной площади в агрегатной форме:

15. Средняя арифметическая форма общего индекса. Средняя гармоническая форма общего индекса
Средняя арифметическая форма общего индекса является преобразованием от агрегатной формы.

Средняя арифметическая форма общего индекса качественных показателей (на примере показателя цены) по схеме Ласпейраса:
Данную формулу удобнее использовать при расчетах, потому что для расчета можно использовать индивидуальный индекс цены i p и произведение p 0 q 0 .
Средняя арифметическая форма общего индекса качественных показателей (цены) по схеме Пааше:

Средняя арифметическая форма общего индекса количественных показателей (на примере физического объема товарооборота):

Средняя гармоническая форма общих индексов также является преобразованием агрегатной формы.
Средняя гармоническая форма общего индекса качественных показателей (на примере показателя цены) по схеме Ласпейраса :

Однако эта формула неудобна на практике. Поэтому при расчетах используется средняя гармоническая форма общего индекса качественных показателей (цены) по схеме Пааше :

Средняя гармоническая форма общего индекса количественных показателей:

Индексы количественно-качественных показателей используют в агрегатной форме, но они могут быть преобразованы в средние формы, называемые неявными.
Например, средняя арифметическая форма индекса товарооборота:

Средняя геометрическая форма индекса товарооборота:

16. Индексный метод анализа динамики среднего уровня
Индексы качественных показателей – индексы средней арифметической величины, поэтому изменение среднего уровня качественного показателя зависит от изменения:
1) отдельных уровней показателей;
2) частей совокупности или структуры совокупности. Для определения того, в какой мере происходит изменение среднего уровня и каково влияние каждого фактора, используют систему взаимосвязанных индексов.
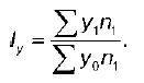
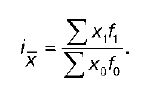
Индекс переменного состава – это отношение среднего уровня какого-либо показателя в отчетном периоде к среднему уровню его в базисном периоде:

Эту формулу используют, если веса (часть совокупности) – абсолютные показатели. Если же веса – относительные показатели (доля, удельный вес), то формула индекса переменного состава такова:

Он показывает, в какой мере произошло изменение среднего уровня показателя за счет влияния:
1) изменения индексируемого показателя (х);
2) изменения частей совокупности (m) или доли (удельного веса – f).
Индекс постоянного состава позволяет устранить влияние одного из факторов и оценить степень влияния другого фактора.
Общий вид формулы индекса постоянного состава:

или если веса – относительные показатели, то;