Всего за 99.9 руб. Купить полную версию
Наблюдаемые НЛО
Условия наблюдений
Состояние неба. В 545 сообщениях (до 1995 года) состояние неба описано как ясное либо как частичная или сплошная облачность. О частичной или сплошной облачности сообщено в 25 % случаев (137 сообщений). Процент событий в светлое время дня был больше случившихся ночью (30 и 24 %).
Ожидалось, что наблюдений вида СЕ будет больше, чем других видов, при облачной погоде, поскольку близкие объекты легче наблюдать. Но это предположение оказалось неверным, и процент наблюдений вида СЕ (ближние встречи) при сплошной или частичной облачности был таким же, как и для не-СЕ (25 %).
Также не оправдалось ожидание большего числа наблюдений при частичной облачности по сравнению со сплошной. По всем видам наблюдений они были примерно одинаковыми (14 и 11 % соответственно). Для вида наблюдений СЕ при обоих состояниях количество было почти тем же самым (12 и 13 % соответственно), как видно на рисунке 14.

Рис. 14. Состояние неба и виды наблюдений (545 сообщений). По оси ординат - процент видов наблюдений, по оси абсцисс - виды наблюдений; CLR - ясно, PTC - частичная облачность, OVC - сплошная облачность
Есть различия для видов МА и FB, где большинство событий происходило в условиях частичной облачности. Это лишний раз подтверждает, что отдаленные объекты при сплошной облачности неба наблюдать практически невозможно.
Рисунок 14 показывает высокий процент наблюдений вида AN в условиях сплошной или частичной облачности (47 % по сравнению с 25 % любого другого вида). Это отличие AN подчеркивает неординарность этого явления.
Погода. Имеется 581 сообщение (до 1995 года), в которых погодные условия описаны как ясная погода и неблагоприятная: туманная, дождливая, ветреная, с грозой, дождь со снегом, снег. Более 91 % этих сообщений определяют погоду как ясную. При анализе оказалось, что наблюдений СЕ при плохой погоде больше, чем МА или FB, а вид AN опять отличается от других видов. Если каждый вид наблюдений СЕ, МА и FB был не более 8 % в условиях неблагоприятной погоды, то вид AN составляет свыше 25 % (см. рис. 15).

Рис. 15. Наблюдения при неблагоприятной погоде (581 сообщение до 1995 года). По оси ординат - процент видов наблюдений, по оси абсцисс - виды наблюдений.
Форма объектов
Таблица 7. Формы объектов (609 наблюдений по 584 сообщениям)


Отмечено широкое разнообразие форм НЛО - 75 % сообщений составляют диск, овал, сфера, тре угольник и звезда (см. рис. 16). Их совокупность приведена в таблице 7. Указанная классификация не является абсолютной, так как учитывает объекты, которые или казались плотными, или очевидец считал, что они были плотными - в темноте они были обрамлены огнями.
Тенденции. На рисунке 16 видно, что значительно уменьшились наблюдения дисков: с 40 до 15 %. Чаще стали встречаться формы бумеранг, звезда и треугольник.
Другие формы. Небольшое число внешних форм, определяемых в таблице 7 как "другие", описано достаточно подробно. Некоторые из них включают разнообразный набор огней, образующих необычную по форме совокупность, движущуюся как единичный объект. В таблице 8 приведены некоторые из таких форм.

Рис. 16. Основные формы НЛО - 609 наблюдений по 585 сообщениям до 1995 года. По оси ординат - основные формы: треугольник, звезда, шар, овал, диск, бумеранг; по оси абсцисс - процент сообщений. Верхняя линия - до 1985 года, средняя - 1985–1989 годы, нижняя - 1990–1994 годы
Таблица 8. Формы НЛО, отнесенные к понятию "другие" (см. табл. 7)


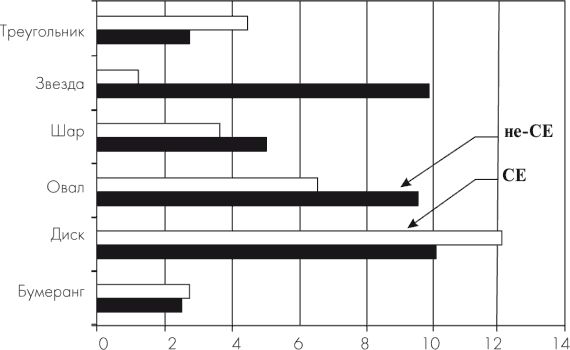
Соотношения каждой из шести наиболее часто наблюдаемых форм с видом наблюдения приведены на рисунке 17. Этот анализ выявил три особенности:

Рис. 17. Соотношение основных форм НЛО с видами наблюдений (585 сообщений). По оси ординат - основные формы, по оси абсцисс - процент сообщений; серый цвет - СЕ (ближняя встреча), черный цвет - не-СЕ
1. Форму звезды обычно наблюдали как удаленный объект (89 % его наблюдений). При ближнем наблюдении многие из этих объектов могли иметь другую форму.
2. Овалы также наблюдали как удаленный объект (59 % от числа его наблюдений). Дальнейший анализ показывает, что в наблюдениях вида FB - пролет - эта форма преобладает.
3. Бумеранг описывали почти в равном числе случаев при ближних и дальних наблюдениях.
Для шести наиболее часто встречающихся форм (бумеранг, диск, овал, шар, звезда и треугольник) длительность наблюдения и время дня соответствовали результатам для всех видов наблюдений, рассмотренных выше на всей территории США.
Нет также заметных особенностей из-за условий наблюдения (состояние неба и погода), при которых наблюдали эти шесть основных форм. Правда, в базе данных нет записей о наблюдении бумеранга, звезды или треугольника при дожде, но этот факт не является статистически значимым.
Групповые объекты. В базе данных собраны 153 случая (26 % сообщений) наблюдений более одного объекта. В 13 из них видели вместе две или более различные формы. Если допустить, что НЛО происходят из различных источников, то наблюдение различных по форме объектов вместе наводит на мысль, что они из одного семейства.
Например, в двух сообщениях описаны шар и цилиндрический объект, два сообщения описывают дискоиды и прямоугольный объект. Два случая включают звезду вместе с треугольными формами, а два других - бумеранг со звездами. Четыре из остающихся пяти случаев - это шар и крыло летучей мыши, конус и эллипсоид, звезда и овал, а также звезда и прямоугольник. Последний случай включал объекты в виде звезд, образование, подобное шлему, эллипсоид, ящик, U-форму (вертикальный полуэллипсоид), а также рыбий плавник и формы, подобные вееру.
В таблице 9 приведены соотношения наблюдений для единичных и групповых объектов по видам форм.
Проценты наблюдений по видам событий и формам объекта даны для наблюдения одиночных и групповых объектов в 584 случаях по 609 сообщениям до 1995 года. Числа в скобках показывают число сообщений.
Таблица 9. Виды наблюдений и основные формы


Сообщений о групповых объектах для не-СЕ отмечено в 2,5 раза больше, чем сообщений для СЕ (19,5 % по сравнению с 7,2 %, или 112 случаев и 41 случай).
Высокий процент звезд среди групповых объектов не должен вызывать удивления, потому что любой светящийся объект на достаточном расстоянии будет казаться точкой света. Свыше 79 % (54 сообщения о звезде) были сообщениями о наблюдениях после 18.00 часов - в ночное время, а 87 % из них (47) были множественными огнями, которые могли принадлежать одному объекту. Наблюдения звезд в 63 % случаев происходили на расстояниях более одной мили, что не исключает возможности того, что точечный источник света может казаться чем-то еще, включающим более одного огня.
Потенциально значимыми являются три случая, в которых объект изменял свою форму из одного вида в другой. В одном случае единичный объект (бумеранг) распался на 20–30 кусочков и цилиндр. В другом случае несколько звезд образовали форму, подобную шлему водолаза, которая затем вела себя как единичный объект. В случае 1995 года описывается бумеранг с тонким выступом сзади, который видоизменился в треугольник.
Подведем некоторые промежуточные итоги.