Всего за 364.9 руб. Купить полную версию

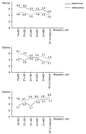
Рис. 1.10. Выраженность свойств эмоциональности у взрослых разного возраста. Эмоциональная возбудимость (верхний рисунок), интенсивность (средний рисунок) и длительность эмоций (нижний рисунок)
Таким образом, можно говорить о том, что имеется тенденция снижения у лиц женского пола уровня эмоциональной возбудимости от юношеского к пожилому возрасту.
У мужчин, в принципе, наблюдается та же тенденция (хотя плохо выраженная) изменения с возрастом уровня эмоциональной возбудимости, а именно постепенное ее снижение (лишь в выборке мужчин 41–50 лет происходит достаточно значительный скачок вверх данного показателя, а далее вновь наблюдается его снижение). Так же как и в выборках женщин, эмоциональная возбудимость максимальна в возрасте 15–20 лет и минимальна в возрастной группе 61–75 лет.
Следует отметить, что у мужчин уровень эмоциональной возбудимости во всех возрастных группах был значительно ниже, чем у женщин (различия достоверны).
Возрастная динамика выраженности интенсивности эмоций. Максимальная интенсивность эмоций у женщин наблюдается в выборке 15–20 лет; далее происходит постепенное снижение с возрастом выраженности данной характеристики эмоций, хотя в возрасте от 31 года до 60 лет наблюдается стабилизация выраженности этого свойства эмоциональности.
У мужчин заметна та же тенденция, но выражена она менее отчетливо в связи с большим разбросом среднегрупповых значений интенсивности эмоций в разных возрастных группах. Однако, так же как и в выборках женщин, интенсивность эмоций у мужчин менее всего выражена в старших по возрасту выборках, т. е. в возрасте 51–60 и 61–75 лет.
Показатели интенсивности эмоций во всех возрастных группах, кроме группы в 31–40 лет, у мужчин были ниже, чем у женщин. Различия достоверны в четырех возрастных группах из шести.
Возрастная динамика длительности переживаемых эмоций. Данные, полученные в отношении этого свойства эмоциональности, существенным образом отличаются от данных, полученных в отношении эмоциональной возбудимости и интенсивности эмоций, а именно наблюдается не снижение показателей, а, наоборот, постепенное их увеличение. Другими словами, мы можем сказать, что в то время как эмоциональная возбудимость и интенсивность эмоций с возрастом уменьшаются, длительность переживаемых человеком эмоций, наоборот, возрастает. Это наблюдается как у женщин, так и у мужчин. У мужчин в возрасте 31–40 лет происходит некоторое снижение данного показателя, но уже в возрасте 41–50 лет мы видим его заметный скачок вверх, и далее он повышается вплоть до самой старшей из обследованных нами выборок мужчин 61–75 лет.
Также следует обратить внимание на то, что во всех возрастных выборках у мужчин по сравнению с женщинами длительность переживания эмоций меньше.
Таким образом, учитывая все полученные нами данные об эмоциональных проявлениях мужчин и женщин, можно сделать вывод, что на протяжении всех возрастных этапов мужчины имеют меньшую эмоциональность, чем женщины. В отношении возрастных изменений различных проявлений эмоциональности наблюдается разная динамика. Сентиментальность и эмпатичность до определенного возраста возрастают и снижаются к старости; эмоциональная возбудимость и интенсивность переживания эмоций с возрастом снижаются, а длительность переживания эмоций возрастает. В результате, если у девушек и молодых женщин (15–20 и 21–30 лет) и юношей и молодых мужчин (15–20, 21–30 и 31–40 лет) показатели эмоциональной возбудимости и интенсивности эмоций превалировали над показателем длительности эмоций, то затем, начиная с возраста 31–40 лет, соотношения меняются. Теперь уже показатели длительности эмоций превалируют над показателями эмоциональной возбудимости и интенсивности эмоций.
…
Инициаторы ряда масштабных интернациональных исследований, проводившихся во многих странах и охвативших свыше 100 тысяч человек, выявили, что удовлетворенность жизнью увеличивается с возрастом, причем среди мужчин наблюдается более сильный эффект, чем среди женщин (WorldbValues Study Group, 1994). Та же закономерность установлена относительно положительных эмоций. Все эти возрастные изменения могут быть связаны с историческими факторами, т. е. со сменой поколений, и объясняться тем, что жизнь во всем мире становится хуже, приносит меньше удовлетворения. Таким образом, пожилые люди продолжают оставаться более счастливыми.
Уладить споры вокруг данного вопроса призваны лонгитюдные исследования, в рамках которых производятся наблюдения за одними и теми же людьми на протяжении длительного периода времени. Существует несколько подобных работ по рассматриваемой теме. Так, Хелсон и Лонен (Helson, Lohnen, 1998) анализировали положительные эмоции. В обследовании приняли участие 80 женщин и 20 их супругов. Субъекты обследовались начиная с двадцатисемилетнего возраста до достижения 52 лет. <…> В этот период наблюдается определенный рост положительных и уменьшение отрицательных эмоций <…>
В нескольких экспериментальных работах выявлено, что положительные эмоции и удовлетворенность жизнью усиливаются лишь у мужчин, в то время как у женщин наблюдается обратное. Мрожеки Коланц (Mroczak, Kolanz, 1998), проанализировав масштабную выборку американцев, изучили влияние возраста на эмоциональные показатели <…> Оказалось, рост позитивной эмоциональности отмечается только у мужчин-интровертов. Уменьшение негативных эмоций наблюдалось только среди замужних женщин.
М. Аргайл, 2003. С. 186–187.
1.5. Изменения мотивационной сферы в период взрослости
В период ранней взрослости происходят существенные изменения в потребностях и интересах молодых людей. Они начинают проявлять интерес к совершенно новым для них вещам и в то же время утрачивают интерес к тому, что занимало их раньше. Перед ними встает задача увязать прошлые мечты с реальностью, т. е. их осуществление. В этот период происходит окончательное самоопределение, набирает силу мотив самоутверждения, стремление доказать истину другим, стать победителем в споре, навязать другим свои взгляды, вкусы, решение проблем (Л. Г. Багринцева, 2007).
К. Хорни (1993) приводит данные, из которых видно, как по мере взросления меняются ценности молодых людей (табл. 1.5).
Как видно из этих данных, по мере взросления главной ценностью как у мужчин, так и у женщин становятся семья, здоровье, а такие ценности, как хорошие друзья, любовь, исчезают из этого списка.
Таблица 1.5. Главные ценности молодых людей

А вот данные, полученные в современной России (А. Е. Ковалев, 2000). Для группы от 15 до 30 лет наиболее важными являются такие ценности, как здоровье, любовь, наличие верных друзей, материально обеспеченная, активная деятельная жизнь. Менее важными ценностями были названы равенство, творчество, обстановка в стране, красота природы и искусства.
Для группы от 31 до 45 лет наиболее важными ценностями являются здоровье, материально обеспеченная, счастливая семейная жизнь, интересная работа, а менее важными - равенство, удовольствия, творчество, красота природы и искусства.
Для группы от 46 до 70 лет наиболее важными являются здоровье, жизненная мудрость, материально обеспеченная, счастливая семейная жизнь. Не придается особого значения удовольствию, творчеству, равенству, познанию.
Интересен тот факт, что различий в ценностях между мужчинами и женщинами в каждой возрастной группе не обнаружилось.
По более поздним данным М. В. Фломиной (2009), для россиян разного возраста характерны следующие ценностные ориентации (табл. 1.6).
Е. А. Лукина (2005) изучала изменения потребностей у взрослых людей разного возраста. В период ранней взрослости (20–25 лет) доминирует стремление к самовыражению и самоутверждению. В среднем возрасте (26–40 лет) актуализируется потребность в самореализации, остается актуальной и потребность в самоутверждении, но в отличие от предыдущего возрастного периода самоутверждение идет за счет реализации своего внутреннего потенциала (способностей); при этом большое значение имеет уже не только и не столько уважение и одобрение со стороны других, сколько самоотношение. В период поздней взрослости (41–55 лет) наиболее актуальна потребность в безопасности. К концу этого периода начинает возрастать ценность духовной сферы, альтруизма, служения другим. После 55 лет эти потребности начинают доминировать, причем в социальной сфере. Увеличивается ценность творчества и самореализации, а также гностических эмоций. Это приводит к новому смыслу жизни. Таким образом, в течение периода зрелости происходит переориентация направленности личности с себя на другого.
Таблица 1.6. Усредненные ранговые показатели ценностных ориентаций по методике М. Рокича

А. К. Канатов (2000) показал, что с возрастом происходит уменьшение широты интересов (табл. 1.7).
Таблица 1.7. Возрастные изменения широты интересов, баллов