
для обратимых процессов. Однако попытки расширить исследование на необратимые процессы не увенчались успехом.
В этой же работе Больцман намечает пути усовершенствования доказательства второго закона термодинамики. Это программа более строгого рассмотрения процессов установления термодинамического равновесия в газах, включающая и анализ столкновений молекул газа между собой. Естественно, что этот путь приводит Больцмана к необходимости анализа и дальнейшей разработки впервые полученного Максвеллом распределения молекул газа по скоростям.
Для правильной оценки результатов, полученных Больцманом в этой работе, следует обратить внимание на следующее. В процессе исследования ученый значительно расширил и обобщил механические принципы, применив их к такому физическому объекту, как газ. Он постулировал, что для газов можно предположить существование некоторой функции, среднее значение которой не зависит от координат и скоростей частиц. Среднее значение этой функции вычислялось за время много большее, чем временные характеристики движения частиц, например период их обращения по траекториям. Строгое доказательство существования такой функции было получено лишь в 1884 г., поэтому следует отдать должное физической интуиции начинающего ученого. Однако, предположив существование такой функции, Больцман допустил логическую ошибку, так как в исследование, основанное на чисто механических принципах, он ввел, по существу, чуждые механике понятия. Он заменил рассмотрение мгновенных, строго определенных механическими законами состояний системы рассмотрением средних значений. Средними значениями оперирует, как известно, особая наука, называемая статистикой, и поэтому в этом пункте работа Больцмана была статистической.
Первая попытка решения проблемы была, как видно, небезупречной. Все же она раскрыла громадные потенциальные способности молодого теоретика, его способность к самоанализу, стремление, не удовлетворяясь достигнутыми результатами, намечать пути их расширения и усовершенствования.
6. Вариации на заданную тему
И вихря, и света быстрей мой полет.
Отважнее! В область хаоса! Вперед!Ф. Шиллер
Неудача с распространением попытки обоснования второго закона термодинамики на необратимые процессы заставила Больцмана серьезно заняться изучением процессов установления равновесия в газах. В 1867-1872 гг. он выполнил ряд классических исследований в этой области. Весь цикл работ примечателен тем, что в них последовательно решаются практически все проблемы, оставшиеся не решенными со времени вывода Максвеллом распределения частиц газа по скоростям, доводятся до полной ясности вопросы доказательства этого принципиально важного для науки результата и расширяется область его применения.
В 1867 г. Больцман опубликовал примечательную во многих отношениях работу "О числе атомов в газовых молекулах и внутренней работе в газах", в которой как бы вслух обдумывает усовершенствование доказательства второго начала. Он пишет, что для решения проблем теории газов принципиально необходимо учитывать столкновения частиц между собой. Молодой теоретик отмечает, что аналитическая механика еще не встречалась с задачами строгого анализа явлений такого рода, полностью отсутствует математический аппарат для описания этих процессов. Работы Максвелла по этому вопросу лаконичны, а местами и недостаточно строги. Больцман смело берется за дальнейшую разработку поставленной Максвеллом проблемы.

В этой же статье Больцман отмечает, что в работе "О механическом смысле второго начала механической теории теплоты" он использовал слишком расширенное предположение о том, что вся подводимая к газу энергия идет на увеличение кинетической энергии частиц. Так как в состав газов могут входить и молекулы, то часть подводимой энергии может пойти на увеличение энергии, запасенной во вращательных и колебательных степенях свободы молекул. Больцман сделал принципиально важный вывод - энергия распределяется равномерно между различными степенями свободы. Он показывал, что средняя кинетическая энергия частиц газа Е пропорциональна абсолютной температуре T: Е ~ Т. Установив это, Больцман ввел в физику представление о том, что макроскопический параметр газа - температура Т - является мерой энергии кинетического движения отдельных микрочастиц (молекул, атомов). Осязаемая и легко измеримая температура дает нам наглядное представление об энергии, с которой движутся мельчайшие невидимые частицы! В следующем, 1868 г. Больцман опубликовал статью "Исследование равновесия живых сил движущихся материальных точек". Полученный в этой работе результат, что многоатомные газы в равновесном состоянии будут также описываться распределением Максвелла, представляет собой первый больцмановский шаг к обобщению максвелловского закона. Отметим, что, несмотря на рассмотрение многоатомных (молекулярных) газов с помощью механических аналогий, Больцман отчетливо понимал справедливость привлечения вероятностных представлений к теории газов, подчеркивал заслуги Максвелла в этом вопросе и развивал эти представления в применении к многоатомным газам.
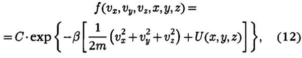
В 1871 г. после упорного труда Больцман опубликовал работу "О тепловом равновесии многоатомных молекул", в которой рассматривал газ, находящийся во внешнем потенциальном силовом поле. Примером такого поля может служить поле сил тяжести, т. е. задача, решаемая ученым, обусловлена физической реальностью. Приведем конечный результат, полученный Больцманом. Распределение молекул газа по скоростям при воздействии на газ потенциального поля имеет следующий вид:

где U(x, y, z) - потенциальная энергия молекул газа в данном силовом поле, C и β - величины, зависящие от температуры газа.
Интересно сравнить полученное Больцманом распределение (12) с распределением Максвелла (7). Формулы отличаются лишь функцией U(x, y, z) в показателе экспоненты. При U(x, y, z) - 0 из распределения Больцмана получается распределение Максвелла, которое становится, таким образом, частным случаем полученного Больцманом более общего результата. Соотношение (12) получило в физике название распределения Максвелла - Больцмана.
Физические результаты, вытекающие из соотношений (7) и (12), принципиально различны. В отсутствие внешних сил разные положения молекул в пространстве равновероятны, и молекулы с одинаковой средней плотностью заполняют весь предоставленный им объем (рис. 8а). Больцман установил, что когда газ находится во внешнем поле U(x, y, z), то наряду с тепловым движением молекул следует учитывать их потенциальную энергию. Это приводит к тому, что молекулы будут распределяться в сосуде неравномерно (рис. 8б). Большая часть молекул будет сосредоточиваться в том месте, где их потенциальная энергия минимальна.
Результаты, полученные Больцманом, получили высокую оценку Максвелла: "Опубликованные мною в 1860 г. результаты подвергались затем более строгому исследованию доктора Л. Больцмана, применившего также свой метод к изучению движения сложных молекул".
Работа Больцмана допускала многочисленные физические применения. Так, если внешним полем является поле сил тяжести
U(h) = mgh,
где h - высота над поверхностью Земли, то из теории следует, что концентрация молекул будет уменьшаться с высотой по закону