
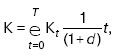
Кt– капиталовложения в t-м году. Инновационный проект считается эффективным при ИД > 1. 3. Определение внутренней нормы доходности.
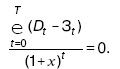
Внутренняя норма доходности представляет собой ставку дисконта, при которой чистый дисконтированный доход равен нулю. ВНД является решением уравнения:

Инновационный проект считается эффективным, если ВНД ≥ dn (dn – ожидаемая норма дохода на инвестируемый капитал).
Если при сравнении двух альтернативных вариантов по показателям ЧДД и ВНД получены следующие результаты:
ЧДД1 > ЧДД2,
ВНД1 < ВНД2,
то приоритетным является показатель ЧДД.
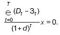
4. Определение срока окупаемости. Срок окупаемости – период времени, за который дисконтированные затраты будут компенсированы дисконтированными доходами.
Ток является решением уравнения

Инновационный проект считается эффективным, если Tок ≤ Tн, где Tн – нормативный срок окупаемости капиталовложений (составляет от 1 года до 5 лет в зависимости от капиталоемкости проекта).
46. РИСК ИННОВАЦИОННЫХ ПРОЕКТОВ. ВЫЯВЛЕНИЕ РИСКА
Понятие "риск" означает возможность возникновения неблагоприятного события. В данном случае под неблагоприятным событием подразумевают недостижение желаемого результата инновационного процесса. Риск характеризуют две величины: степень риска (вероятность возникновения неблагоприятного события) и мера (цена) риска (потенциальные потери в случае неблагоприятного события). Основная задача управления инновационными рисками заключается в минимизации потерь, связанных с возникшими несоответствиями.
Процесс управления рисками включает:
1) выявление риска;
2) анализ и оценку риска;
3) разработку мероприятий по уменьшению влияния выявленных факторов рисков на процесс нововведений.
Выявление риска. Риски возникают на различных стадиях инновационного процесса.
1. на этапе зарождения инновационной идеи риск может быть связан с неправильным выбором направления процесса нововведений, обусловленным недооценкой рыночных тенденций, а также возможностей предприятия.
2. на этапе проведения разработки инновационные риски могут возникать из-за недостаточности финансирования работ, несоблюдения сроков выполнения работ по проекту, возможного несоответствия фактических и плановых параметров разработки.
3. на этапе коммерциализации риски могут быть обусловлены проблемами, связанными с патентной защитой прав участников инновационной деятельности; неправильным расчетом объемов реализации; недостаточностью мероприятий по продвижению новшества, включая рекламное сопровождение; неудачным выбором каналов и форм сбыта.
Для идентификации рисков используют их классификацию. По наиболее распространенной классификации риски делят на систематические (чистые) и несистематические (спекулятивные). Систематические (чистые) риски – те, действие которых нельзя ограничить (их нельзя избежать). Систематические риски характеризуются стабильностью в проявлении. Для их анализа и оценки применяют методы математической статистики. Примерами систематических рисков являются риски, связанные с форс-мажорными обстоятельствами: природные катаклизмы (землетрясения, тайфуны), политические перевороты и пр. несистематическими (спекулятивными) рисками можно управлять, их действие можно минимизировать или устранить полностью. Спекулятивные риски не обладают стабильным характером проявления и зависят от текущей конъюнктуры. Примерами наиболее часто встречающихся спекулятивных рисков являются: коммерческий риск (в основном опасность неполучения расчетного уровня прибыли); валютный риск (риск падения (роста) курсов валют); информационный риск (опасность несанкционированного доступа к информации, представляющей ценность); портфельный риск (риски, возникающие при формировании портфеля диверсифицированной компании).
47. АНАЛИЗ И ОЦЕНКА РИСКА. ОСНОВНЫЕ МЕТОДЫ
Анализ рисков осуществляется для выявления факторов, определяющих риск, и прогнозирования их проявления. Риски, возникающие в инновационной сфере, зависят от следующих факторов:
1. Фундаментальных – факторы рисков, которые определяются экономико-политическими аспектами функционирования мирового сообщества и отдельных стран.
2. Конъюнктурных – факторы риска, связанные с динамикой рыночной ситуации на национальном и международном рынках.
3. Внутренних – факторы риска, обусловленные особенностями организационной структуры и возможностями предприятия.
Для анализа рисков и прогнозирования развития ситуации используют следующие методы.
1. Метод аналогий основан на анализе информации об аналогичных проектах, реализованных в аналогичных условиях. При этом выявляются характерные ошибки и потенциальные проблемы. На основе результатов анализа составляются сценарии реализации инновационного проекта.
2. Метод "дерева решений" используется для выбора наилучшего варианта реализации инновационного проекта на основе расчетов вероятностей получения результатов по каждому из альтернативных вариантов. При этом строится разветвленная схема, отражающая последовательность операций и оценки результатов с учетом вероятностей их достижения.
3. Метод Монте-Карло представляет собой изучение статистических данных по реализации аналогичных проектов на аналогичных предприятиях. Анализ позволяет получить более точную информацию о результативности инновационного процесса, которая служит базой для построения имитационных моделей.
4. Методы экспертных оценок основаны на заключениях специалистов-экспертов, оценивающих инновационный проект. Наиболее распространенными экспертными методами являются: балльный метод, метод ранжирования, попарного сравнения и метод Дельфи. Для уменьшения субъективной оценки результат определяют как средневзвешенное значение совокупности экспертных оценок.
48. РАЗРАБОТКА МЕРОПРИЯТИЙ ПО СНИЖЕНИЮ ВЛИЯНИЯ ИННОВАЦИОННЫХ РИСКОВ
При осуществлении инновационной деятельности наиболее вероятными рисками являются:
1) риски отторжения инновации рынком;
2) риски неполучения запланированной прибыли от внедрения инновации;
3) риски несоответствия фактических параметров новшества плановым показателям;
4) риски неполучения результатов инновационной деятельности к определенному в договоре сроку;
5) риски нарушения патентных прав иных патентообладателей;
6) риски потери ноу-хау компании.
Для снижения влияния негативных факторов, определяющих риски, используются различные методы управления: страхование, диверсификация, лимитирование, хеджирование.
Наиболее распространенным способом минимизации рисков является страхование. При страховании ответственность за неблагоприятное событие и обязательства по компенсации убытков берет на себя страховая компания (страховщик), а фирма-страхователь перечисляет страховые взносы. При наступлении страхового случая страховщик выплачивает страховое вознаграждение (так могут быть минимизированы, например, риски несанкционированного доступа к конфиденциальной информации, риски потери ноу-хау компании). лимитирование – снижение уровня риска путем установления предельных размеров по предоставляемым кредитам, расходуемым финансовым ресурсам, объемам реализации.
Метод может использоваться банком-инвестором инновационных проектов (минимизация финансово-кредитных рисков). Хеджирование – способ снижения риска неблагоприятного изменения ценовой конъюнктуры путем приобретения срочных контрактов на фондовом рынке (минимизация коммерческих рисков). Диверсификация – минимизация величины кредитного риска за счет инвестирования разнонаправленных инновационных проектов. Суммарный риск диверсифицированного портфеля будет ниже, чем риски по каждому отдельному проекту.