
Текущее сальдо реальных денег определяется через 6(f) по формуле:
b(t) = B(t) – B(t–1).
Поток реальных денег:
Ф(t) = b(t) – B3(t).
Сальдо B(t) составляет свободные денежные средства на t-м шаге.
Все расходы вычисляются из доходов и влияют на сумму чистой прибыли. Но не при всех расходах требуется реальный перевод денег.
Учет инфляции при подсчете Ф(t) и b(t) производится вычислением входящих в них элементов в прогнозных ценах.
Минимальный набор исходных данных, подлежащих варьированию, должен включать в себя:
• цены реализации продукции;
• издержки производства;
• общие инвестиционные затраты;
• нормы запасов и задолженностей;
• процент за кредиты.
18. УЧЕТ ИНФЛЯЦИИ
Инфляция – это процесс выравнивания монетарным путем напряженности, возникшей в какой-либо социально-экономической среде, который сопровождается повышением общего уровня цен и снижением покупательной способности денег.
Влияние инфляции на показатели финансовой эффективности проекта обычно рассматривается в двух аспектах: влияние на показатели проекта в натуральном выражении, когда инфляция приводит не только к переоценке финансовых результатов проекта, но и к изменению плана реализации проекта; • влияние на показатели проекта в денежном выражении.
Для учета влияния инфляции при оценке эффективности инвестиционных проектов используются следующие способы: 1) инфляционная коррекция денежных потоков, связанная с проблемой постоянных и текущих цен и расчетами в рублях и валюте. Коррекция достигается с помощью операции дефлирования, которая заключается в делении денежного потока, выраженного в прогнозных ценах (рублях или иностранной валюте), на соответствующие индексы инфляции; 2) учет инфляционной премии в ставке процента (реальная и номинальная процентная ставка), так как влияние инфляции на эффективность проекта сказывается также на изменении потребности в заемных средствах и платежей по кредитам.
Процентной ставкой называется относительный (в процентах или долях) размер платы за пользование кредитом в течение определенного периода времени. Процентная ставка, взимаемая банком по кредитам, называется кредитной процентной ставкой. Процентная ставка, выплачиваемая банком по депозитным вкладам, называется депозитной процентной ставкой. Кредитная и депозитная процентные ставки могут быть номинальными, реальными и эффективными.
Номинальная процентная ставка – процентная ставка, объявляемая кредитором.
Реальная процентная ставка – процентная ставка в постоянных ценах (при отсутствии инфляции), величина которой обеспечивает такую же доходность займа, что и номинальная ставка при наличии инфляции. Эта ставка получается из номинальной за счет исключения влияния инфляции и используется при анализе процентных ставок, а также для приближенного пересчета платежей по займам при оценке эффективности инвестиционного проекта в текущих ценах.
Эффективная процентная ставка – доход кредитора за счет капитализации процентов, выплачиваемых в течение периода, для которого объявлена процентная ставка;
3) анализ чувствительности в условиях высокого уровня инфляции. Когда нет достаточно точных прогнозов относительно будущего поведения инфляции, то первоначальные расчеты по проекту делают в базовых, начальных ценах, а затем с помощью анализа чувствительности проверяют влияние инфляции на эффективность проекта.
Среди варьируемых факторов, рассматриваемых на практике, наиболее важными являются показатели инфляции. При проведении анализа чувствительности могут последовательно анализироваться виды инфляции: общая, переменных издержек, заработной платы, основных фондов, постоянных издержек и накладных расходов и т. д.
19. ЧИСТЫЙ ДИСКОНТИРОВАННЫЙ ДОХОД ПРОЕКТА. ВНУТРЕННЯЯ НОРМА ДОХОДНОСТИ ПРОЕКТА
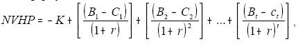
Чистый дисконтированный доход (Net Present Value – NPV) – дисконтированный показатель ценности проекта, определяемый как сумма дисконтированных значений поступлений за вычетом затрат, получаемых в каждом году в течение срока жизни проекта.
Чистый дисконтированный доход вычисляется по формуле:

где K – начальные капитальные вложения; Bt – выгоды от проекта в момент времени t; Ct – затраты по проекту в момент времени t.
Для признания проекта эффективным с точки зрения инвестора необходимо, чтобы его NPV был положительным; при сравнении альтернативных проектов предпочтение должно отдаваться проекту с большим значением NPV (при условии, что оно положительное).
Внутренняя норма доходности (Internal Rate of Return – IRR) технически представляет собой ставку дисконтирования, при которой достигается безубыточность проекта, означающая, что чистая дисконтированная величина потока затрат равна чистой дисконтированной величине потока доходов, т. е. NPV(r = IRR) = 0.
Недостаток определенной таким образом внутренней нормы доходности заключается в том, что уравнение NPV(r = IRR) = 0 не обязательно имеет один положительный корень. Оно может вообще не иметь корней или иметь несколько положительных корней. Для того чтобы избежать этих сложностей, лучше определять IRR иначе, а именно внутренняя норма доходности – это положительное число, такое, что NPV:
• при r = IRR обращается в ноль;
• при всех r > iRR отрицателен;
• при всех r < IRR положителен.
Определенная таким образом внутренняя норма доходности, если только она существует, то всегда единственна.
Для оценки эффективности инвестиционных проектов значение внутренней нормы доходности необходимо сопоставить с нормой дисконтирования r. Проекты, у которых IRR > r, имеют положительное NPV и поэтому эффективны, а те, у которых IRR < r, имеют отрицательное NPV и поэтому неэффективны.
IRRможет быть использована также для:
• оценки эффективности проекта, если известны приемлемые значения IRR для проектов данного типа;
• оценки степени устойчивости проекта (по разности IRR – r);
• установления участниками проекта нормы дисконта r по данным о внутренней норме доходности альтернативных направлений вложения ими собственных средств.
20. КАЧЕСТВЕННЫЕ МЕТОДЫ ОЦЕНКИ СОСТОЯТЕЛЬНОСТИ ПРОЕКТА С ТОЧКИ ЗРЕНИЯ НЕОПРЕДЕЛЕННОСТИ
Главная задача качественного подхода к анализу рисков инвестиционных проектов – выявить и идентифицировать возможные виды рисков, а затем описать и дать стоимостную оценку возможного ущерба и предложить систему антирисковых мероприятий, рассчитав их стоимостный эквивалент.
Качественный анализ рисков инвестиционного проекта проводится на стадии разработки бизнес-плана . В процессе качественного анализа проектных рисков важно исследовать причины их возникновения и факторы, способствующие их динамике, что связано с описанием возможного ущерба от проявлений проектных рисков и их стоимостной оценкой.
С помощью антирисковых мероприятий можно управлять риском инвестиционного проекта.
Качественный анализ включает в себя оценку и управление рисками.
К методам управления рисками обычно относят: диверсификацию, уклонение от рисков, компенсацию, локализацию.
Диверсификация является одним из наиболее важных направлений снижения риска. Обычно говорят о диверсификации видов деятельности, поставщиков и потребителей, расширении числа участников.
Для снижения риска деятельности предприятия желательно предпринимать производство таких товаров и услуг, спрос на которые изменяется в противоположных направлениях.
Распределение проектного риска между его участниками является эффективным способом его снижения. Распределение риска можно организовать с помощью диверсификации как в пространстве поставщиков, так и в пространстве потребителей.
Среди методов уклонения от рисков особое место занимает страхование риска. Различают страхование инвестиций от политических рисков и страхование инвестиций от коммерческих и финансовых рисков.
Компенсация рисков в значительной степени аналогична страхованию. Она предусматривает создание определенных резервов: финансовых, материальных, информационных. В качестве информационных резервов можно рассматривать приобретение дополнительной информации (например, за счет проведения более детальных маркетинговых исследований). Финансовые резервы могут создаваться путем выделения дополнительных средств на покрытие непредвиденных расходов. Материальные резервы означают создание специального страхового запаса сырья, материалов и комплектующих.
Под локализацией рисков понимается выделение определенных видов деятельности, которые могут привести к локализации риска.