Всего за 169.9 руб. Купить полную версию
В некоторых клиниках используют пассивную гипотермию (Сурков Д. Н., 2011; Hagmann С. F. et al., 2011), несомненно более щадящий метод, с достаточно выраженным эффектом, в том числе не только при постгипоксической энцефалопатии, но и при ЯНЭК у новорожденных (Hall N. J., et al., 2010). Терапевтическую гипотермию также пытаются применять при других формах неонатальной патологии, например, энцефалитах (Yamada К. et al., 2011). Правда, эффект не очень хороший: у 30 % больных возник отек мозга.
Заманчивость использования температурного фактора как физического лечебного метода поддерживается также положительным опытом смежных отраслей медицины в течение нескольких столетий (общеизвестно увеличение шансов выживания с сохранением функций ЦНС при утоплении в холодной воде, использование гипотермии в кардиохирургии, использование гипертермии при лечении иммунодефицитов и т. п.). Но, как и при применении любого лекарства или метода терапии, важны дозировки, длительность использования, когда и кому его применяют и т. д., так и при использовании церебральной гипотермии должны учитываться способ вхождения и выхода из данного состояния, особенности применения в различные возрастные периоды, сопутствующая патология, факторы риска и т. д.
Хотелось бы, чтобы это в некоторой степени явилось предостережением для врачей нашей страны: может, не будем торопиться с внедрением церебральной гипотермии в наши стационары, тем более что данная методика, как мы уже отмечали выше, у нас в стране уже применялась.
К сожалению, вряд ли в этом вопросе наша страна "останется позади планеты всей". Есть же заинтересованность конкретных фирм, а соответственно, и "заинтересованных" людей… И вот уже в повестку дня многих конгрессов и конференций, проводимых в России, включаются секции типа: "Современные методы оценки церебральных функций и использования гипотермии для защиты мозга новорожденных детей". Как говорил небезызвестный персонаж нашей истории, "процесс пошел". И как говорят представители нынешней "элиты", тяготеющей к англосаксам: "No comments". Комментарии мы дали выше… Конечно, мы не против всестороннего, вдумчивого, кропотливого обследования и последующего обсуждения данных методов. Но, как раз в данном случае, было бы хорошо, чтобы проводимые исследования были рандомизированными и мультицентровыми. Кстати, заметим: выше мы написали "в кардиохирургии"… С другой стороны, имеются рандомизированные исследования (Stocker С. F. et al., 2011) демонстрирующие, что выраженная гипотермия (24 °C) не имеет никаких преимуществ, по сравнению со средней (34 °C), на исходы после корригирующих операции по поводу ВПС. Указанные исследователи оценивали показатели системного воспалительного и иммунного ответов, параметры гемодинамики и коагуляции, органные повреждения. Авторы даже отмечают, что рутинное использование гипотермии не оправдано в педиатрической практике. Так что вопрос о применении гипотермии очень не прост.
Обратим внимание еще на один аспект данной проблемы. По заключению экспертов (Jacobs S. et al., 2007; Shah P. S. et al., 2007), данный метод требует нахождения ребенка в ОРИТ, поскольку дети нуждаются в инотропной поддержке, у них возможно развитие брадикардии, тром-боцитопении, олигурии и т. д. Например, более 60 % детей нуждаются в проведении ИВЛ (Cavallaro G. et al., 2011). Некоторым детям в силу тяжести состояния приходится проводить ЭКМО (Massaro A. et al., 2011). В первой отечественной публикации по пассивной гипотермии у новорожденных с тяжелой постгипоксической энцефалопатией (Сурков Д. Н., 2011) указывается, что все дети нуждаются в проведении ИВЛ. С другой стороны, необходимо также учитывать, что аппаратура для применения активной терапевтической гипотермии достаточно дорога, требует квалифицированного персонала и т. д., поэтому применение данных методик в стационарах первого уровня в нашей стране представляется достаточно проблематичным.
Если же принято решение о проведении терапевтической гипотермия, то нужно помнить, что она должна быть начата не позже шести часов после рождения ребенка. С другой стороны известно, что ребенок, перенесший тяжелую асфиксию, как правило, имеет множественные органные дисфункции, требующие лечения в условиях ОРИТ. Далеко не всегда новорожденные с указанной патологией рождаются в условиях перинатального центра (учреждениях III уровня оказания помощи). Достаточно часто роды происходят в учреждениях первого и/ или второго уровня, и ребенок в последующем нуждается в межгоспитальной транспортировке. В настоящее время общепринятой точкой зрения является та, что новорожденный ребенок, перенесший критическое состояние при рождении, как можно быстрее должен быть переведен в стационар, где ему может быть оказана адекватная и всесторонняя помощь (подробно этот вопрос освящен в нашей монографии "Интенсивная терапия и транспортировка новорожденных детей, 2009"). Как же быть в этой ситуации с терапевтической гипотермией? В конце прошлого десятилетия в США были проведены пилотные исследования, посвященные проведению терапевтической гипотермии новорожденным детям при межгоспитальной транспортировке. На результатах этих исследований мы более подробно остановимся.
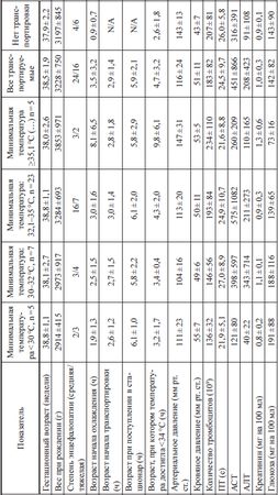
В разных странах мира при проведении межгоспитальной транспортировки проводится как "пассивная" гипотермия (отключение источника лучистого тепла), так и "активная" (церебральная). Указывают (Hallberg В. et al., 2009), что применение пассивной гипотермии часто (более чем у 50 %) приводит к переохлаждению новорожденных. Учитывая это обстоятельство, американские коллеги (Fairchild К. et al., 2010) провели активную гипотермию во время межгоспитальной транспортировки (из госпиталя I или II уровня в стационар III уровня оказания помощи новорожденным). У них имеется опыт применения гипотермии у 40 младенцев, перенесших тяжелую постгипоксическую энцефалопатию. У пяти детей гипотермия применялась только в отправляющем госпитале, у двух новорожденных во время трансфера проводилась "пассивная" гипотермия, у 33 младенцев – активная. Значения ректальной температуры у этих детей представлены на рисунке 4.
Таблица 3 Клиническая характеристика и лабораторные показатели у детей, получавших гипотермию во время межгоспитальной транспортировки (Fairchild К. et al., 2010)


Рис. 4. Сравнение ректальной температуры у 40 новорожденных до и после межгоспитальной транспортировки (Fairchild К. et al., 2010)
Клиническая характеристика детей, получавших гипотермию во время транспортировки, представлена в таблице 3. Дети были разделены на группы по степени возникшей гипотермии. Авторы отмечают, что только у одного ребенка была отмечена синусовая брадикардия. У детей с максимальной степенью охлаждения выявлена корреляция с весом при рождении, склонностью к тромбоцитопении и гипергликемии. Таким образом, и в данном исследовании отмечена достаточно высокая частота осложнений у новорожденных детей, подвергшихся охлаждению.
Некоторые исследователи (Сурков Д. Н., 2011) считают, что гипотермия может быть рекомендована в первые 72 часа жизни после перенесенной тяжелой асфиксии, поскольку именно в этот промежуток времени начинается некроз и усиливается апоптоз нейронов. По этим данным, даже при более позднем начале пассивной гипотермии (до 72 часов жизни) неврологические результаты у детей были лучше, чем без проведения гипотермии. Но чем позднее начата гипотермия, тем ниже ее эффективность.
Вот такое большое отступление получилось в связи с достаточно широким применением церебральной гипотермии у новорожденных детей в настоящее время. Хотя, наверное, и не отступление, поскольку сегодняшний день неразрывно связан с прошлым. Как говорил У. Черчилль: "Если мы поссорим прошлое с настоящим, то потеряем будущее".
Возвращаясь к историческим аспектам применения гипотермии, можно отметить, что в большинстве стран применение гипотермии у новорожденных продолжалось относительно недолго. Роли теплового режима и влажности в инкубаторе были тщательно изучены в 1957 г. Сильверманом В.
У детей, помещенных в инкубатор с высокой влажностью, отмечалась более низкая смертность. В последующих исследованиях было показано, что при повышении температуры в инкубаторе всего лишь на 1,5 °C (с 28 до 29,5 °C) выживаемость увеличилась на 22 % (с 61 до 83 %), особенно эта разница в выживании проявилась у маловесных детей.
После этих, ставших уже классическими работ, проведены многочисленные исследования, подтвердившие огромную роль поддержания теплового баланса у новорожденных детей. На наш взгляд, в России в настоящее время вопросам теплового баланса у новорожденных, особенно при длительной межгоспитальной транспортировке, уделяется мало внимания. К сожалению, у нас в стране иногда начинают внедрять дорогостоящее методы лечения, которые, безусловно, показаны очень небольшому количеству больных, например ЭКМО (Tobin М. J., 2003), из-за большого количества осложнений, или же ВчИВЛ (Johnson А. Н. et al., 2002), тратя на это десятки, а то и сотни тысяч долларов США. Вместо того чтобы купить хороший транспортный кувез и средства доставки из роддома в отделения больницы всего потока больных детей.
Конечно, может иногда и нужно вентилировать новорожденного ребенка с помощью ВчИВЛ или применять ЭКМО, но лучше не доводить его до такого состояния, в частности, переохлаждением, когда ему такая вентиляция понадобится.