Всего за 239.9 руб. Купить полную версию

Очевидно, если скорость передачи жизни остается постоянной, ∆, характеризующая силу размножения (§32), должна уменьшаться, размножение организмов должно в данном объеме или на данной площади идти все медленнее и медленнее но мере того, как число созданных неделимых увеличивается, приближается к стационарному.
§38. Мы видим это явление в окружающей нас природе. Оно давно было замечено старыми натуралистами и ярко подчеркнуто около сорока лет назад точным наблюдателем живой природы К. Земпером (1888). Земпер отметил, что в небольших водоемах при всех равных условиях размножение организмов уменьшается по мере увеличения в них количества неделимых. Стационарное число не достигается или достижение его замедляется по мере приближения к нему количества создаваемых организмов; существует какая-то причина, может быть не всегда внешняя (§ 43), регулирующая процесс. Опыты Пирля и его сотрудников над мухой Drosophila и над курами (1911 -1912) подтверждают это обобщение Земпера в другой среде.
§39. Скорость передачи жизни может давать нам ясное понятие о геохимической энергии жизни разных организмов. Она колеблется в больших пределах и находится в тесной зависимости от размера организма. Для самых мелких организмов, для бактерий, она, как мы видели, близка к скорости звука, т. е. к величине, равной 33 100 см/с. Для самых крупных, для крупных млекопитающих, она равна долям сантиметра - для индийского слона, например, К- 0,09 см/с.
Это крайние пределы. Между ними помешаются скорости передачи жизни для всех других организмов. Они находятся в явной зависимости от размеров организма и в более простых случаях (например, для организмов, форма которых приближается к шару) связь размеров организма с его скоростью v может быть уже сейчас математически выражена.
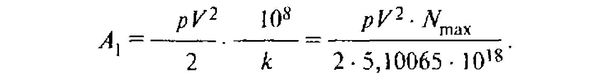
5,10064 • 10
-= 13 963,3, где 5,10064 • 10 км - поверхность Земли. - Прим. ред.
365
Но существование определен ной математической зависимости всегда и везде в этой области несомненно и отвечает старинному прочному эмпирическому обобщению (§32).
§ 40. Скорость передачи жизни дает ясное понятие об энергии жизни в биосфере, о ее в ней работе, но оно недостаточно для ее определения. Для этого мы должны принять во внимание массу того организма, энергия растекания совокупностей которого в биосфере определяется скоростью V
Выражение pV/2 , где р- средний вес организма,
скорость растекания геохимической энергии которого равна V, даст нам выражение кинетической геохимической энергии живого вещества. Взятое по отношению к определенным площади или объему биосферы, оно может дать нам выражение той химической работы, которая в геохимических процессах этой плошади или объема может быть произведена данным видом или расой организмов.
Уже давно мы имеем подходы к определению этим путем по отношению к определенной плошади биосферы - гектару - части геохимической энергии живого вещества. Это делается при определении урожаев - количества с данной площади полезных человеку организмов или их продуктов.
В более полной форме оно выражается в количестве органического вещества, которое может быть создано размножением и ростом организмов на гектаре.
Хотя эти данные очень неполны и не охвачены теорией в достаточной степени, они привели уже к важным эмпирическим обобщениям.
Несомненно, количество создаваемого на гектаре органического вещества ограничено и теснейшим образом связано
с той солнечной лучистой энергией, которую захватывает зеленое растение. Геохимическая энергия, собранная этим путем - размножением организмов, - есть измененная солнечная энергия.
Во-вторых, все более выясняется, что в случаях максимальных урожаев количества органического вещества с гектара почвы и гектара океана суть числа одного порядка, приближающиеся к одной и той же величине. Гектар суши охватывает ничтожный слой, не превышающий метров, гектар океана отвечает слою воды, захваченной жизнью, измеряемому километрами. Тождественность создаваемой в них энергии жизни, очевидно, указывает на освещение сверху как на ее источник.
Мы увидим, что, вероятно, это связано с характерным свойством почвы суши, скопляющей в себе концентрацию организмов, обладающих огромной геохимической энергией (§ ! 55). Благодаря этой концентрации энергии живого вещества тонкий слой почвы по своему геохимическому эффекту может сравниваться с огромной толщей моря, где центры жизни разжижены инертной массой воды.
§41. Кинетическая геохимическая энергия организма
pV/2, взятая по отношению к гектару, т. е. к 10 см, выражается следующей формулой, где10/k - количество организмов на гектар при достижении ими стационарного числа (§ 37), а к - коэффициент плотности жизни (§ 36):

Чрезвычайно характерно, что эта величина для Protozoa есть величина постоянная. Для них всех выражение A1 принимает форму:

Отвечает плохо известному удельному весу Protozoa.
Из этой формулы ясно, что кинетическая геохимическая энергия Protozoa определяется скоростью К связанной с весом, размерами организма и темпом размножения Д. Отнесенное к ∆, V выражается следующей простой формулой*:

в которой числовые, постоянные для всех видов организмов коэффициенты связаны с размерами планеты (с плошадью ее поверхности и длиной ее экватора, причем величины выражены в сантиметрах и секундах)**.
Из формулы скорости очевидно, что одни размеры планеты не могут объяснить действительно существующего предела для V и ∆.
Наибольшая нам известная величина V равна 33 100 см/с, а наибольшая величина ∆ - около 63-64.
Могут ли они идти дальше (что, как это видно из приведенных формул, возможно и при постоянстве кинетической энергии на гектар) или есть в биосфере условие, этому препятствующее?
Такое условие есть, и им является газовый обмен организмов, неизбежный и необходимый для их существования и, в частности, для их размножения.
§ 42. Организм не существует без газового обмена, без дыхания. Чем размножение идет быстрее, тем дыхание становится интенсивнее. По степени газового обмена мы всегда можем судить об интенсивности жизни.
В масштабе биосферы нам необходимо, конечно, иметь в виду не дыхание отдельного организма, а общий результат дыхания, необходимо учесть газовый обмен - дыхание всех живых организмов, обнять его как часть механизма биосферы.