
Рис. 14. Все направления, открытые в Стоунхендже, включая линии равноденствия для Солнца и Луны
Вряд ли есть необходимость подчеркивать, что это открытие не уступает по важности предыдущему. Эти срединные точки, без сомнения, весьма значимы. Они являются серединой траектории движения Солнца и Луны между крайними положениями на юге и севере. Как дни солнцестояния отмечают начало лета и зимы, солнечные равноденствия для нас, людей компьютерного века, отмечают начало весны и осени.
Раз строители Стоунхенджа определили точки солнцестояний и равноденствий, то вполне естественно, что им захотелось найти и срединные точки. Располагая данными о равноденствии и солнцестоянии, они получили возможность разделить год на четыре части . Они могли получить эти точки, разделив биссектрисами углы между линиями солнцестояния. Этот геометрический способ, известный еще со времен Евклида, гораздо проще любых астрономических вычислений. В любом случае точки были найдены и камни лежат на направлениях, указывающих на равноденствия с замечательной точностью.
Ньюэм оказался прав. Ему первому я отправил таблицу 2. А ведь компьютер и раньше пытался дать нам подсказку.
Обнаружение направлений на срединные точки усилило наше уважение к создателям Стоунхенджа. И снова, как в случае с направлениями на крайние положения, они проявили не только точность в установке камней, но и мастерство в расчетах. Направления весны и осени указывают на оба положения Солнца и на три из четырех положений Луны, четыре направления дублированы. Тем не менее для 8 направлений, определенных парами точек, потребовались не 16, а всего 8 камней и лунок.
Добавление равноденственных корреляций означает, что каждая из 14 ключевых точек Стоунхенджа I использована хотя бы раз в построении направления, указывающего на одно из 18 важных положений на небесной сфере – эти 14 точек Стоунхенджа расположены так, что все вместе объединяются в пары и дают 24 направления, – а в Стоунхендже III существуют еще 8 независимых точек. Стоунхендж был привязан к движению Солнца и Луны так же крепко, как приливы.
Эти ошеломляющие цифры не давали мне покоя: 22 ключевые точки на земле, дающие 32 направления, указывающие на 15 из 18 важнейших положений Солнца или Луны. Я и раньше был уверен в том, что обнаруженные в первый раз направления на крайние положения Солнца и Луны совершенно точно не являются совпадениями. Теперь же компьютер показал, что 14 ключевых точек Стоунхенджа I и все 8 "перспектив" Стоунхенджа III – это сложная сеть направлений на крайние или срединные положения Солнца и Луны. Я задался вопросом, каков шанс того, что это не совпадение.
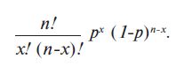
Передо мной стояла стандартная задача о стрелке с завязанными глазами, стреляющем в цель. Правило Бернулли подсказало ответ. Если у стрелка есть n выстрелов и площадь мишени занимает p -ю часть обстреливаемой области, вероятность попадания в x составляет:

Для Стоунхенджа I: 14 камней и лунок, соединенных попарно, дают 24 попадания по мишени Солнце – Луна, то есть х = 24. На рисунке видно, что число способов, которыми точки могут быть соединены, не превышает 50, поэтому присвоим n значение 50. Какую часть из 360° горизонта занимает площадь мишени? Существуют 18 возможных мишеней. Пусть каждая мишень или ее яблочко будет иметь ширину в 4°. Итак, получаем р = 18 х / 360 . То есть р = / 5 .
Применив к этим числам правило Бернулли, получим вероятность 24 случайных попадания. Но арифметические вычисления при этом просто чудовищны. (Вычисление вероятностей основано на понятии произвольности. Поскольку в Стоунхендже очевидно есть план, канонически использовать правило Бернулли нельзя. Если же есть желание допустить, что Стоунхендж не является "стрелком с завязанными глазами", тогда модель вероятностей неверна. Но с другой стороны, вычислять неслучайность плана уже не нужно.) Лично я поручил расчеты компьютеру. Ответом было число 0,00006, что означает: менее одного шанса из десяти тысяч, что камни случайно установили таким образом.
Теперь для Стоунхенджа III. Каждый из восьми выстрелов поражает одну из мишеней Солнце – Луна. Правило Бернулли показывает, что вероятность случайного появления направления равна примерно один к тысяче.
Стоунхендж I и Стоунхендж III являются разными сооружениями. Вероятность, что направления в них обоих возникли непреднамеренно, составляет 1000 х 10 000, то есть 1 к миллиону. Иными словами, вероятность того, что Стоунхендж ориентирован на Солнце и Луну по чистому совпадению, ничтожно мала.
Можно ли сделать в Стоунхендже еще какие-то важные с точки зрения астрономии открытия? Скорее всего, нет. Как я уже говорил, компьютер рассмотрел практически все направления номинальной важности. Разве что обнаружатся новые точки во время раскопок или в ходе исследования окрестностей, тогда, возможно, мы узнаем о других небесных корреляциях Стоунхенджа.
Тут даже испытываешь что-то вроде неловкости. Веками умнейшие люди искали в Стоунхендже возможные направления взгляда на небесную сферу. Давным-давно обнаружили, что основная ось, линия, идущая на восход Солнца в день летнего солнцестояния, указывает также и на закат Солнца в день зимнего солнцестояния, если продлить ее в другую сторону, на юго-запад. Еще в 1846 г. Дьюк заметил, что прямая, проведенная через опорные камни 92–91, параллельна оси, то есть линии, идущей на восход в день солнцестояния. Ранее в том же веке Локьер доказал, что диагональ между опорными камнями 91–93 направлена на закат Солнца примерно 6 мая и 8 августа, а с обратной стороны, 93–91, – на его восход примерно 7 февраля и 8 ноября. Эти дни стоят приблизительно посередине между солнцестояниями и равноденствиями. Исходя из этого, он предположил, что Стоунхендж использовали как календарь. (Интересная гипотеза. Однако я с ней не согласен. Полагаю, данная диагональ задумывалась как указатель на крайнее положение Луны в склонении ±19°, так же как положения, на которые указывают лунки Аллеи и лунные трилиты. Как известно, ошибка направления для линии 91–93 Стоунхенджа I больше, но в Стоунхендже III ее почти ликвидировали.)
Современные любители Стоунхенджа немало размышляли о возможных астрономических и иных значениях направлений, пронизывающих монумент. Сам Ньюэм был большим специалистом по нахождению астрономических направлений. Получив первое письмо от Ньюэлла, где говорилось о Ньюэме, я начал переписываться с последним напрямую. Выяснилось, что он занимается исследованием тех же линий, указывающих на позиции Солнца и Луны в Стоунхендже, что и я.
Ньюэм опубликовал краткий отчет о проделанной работе в газете "Йоркшир пост" 16 марта 1963 г. – за семь месяцев до выхода моей статьи в "Нейче". (Думаю, нет нужды уточнять, что я о его труде тогда и не подозревал.) Также он издал тонкую брошюру "Загадка Стоунхенджа" вскоре после публикации моего "Расшифрованного Стоунхенджа". В этой брошюре он любезно ссылается на мою статью и результаты моей работы. С той поры между нами установились самые сердечные отношения. Мы постоянно обмениваемся информацией.
Он предложил направления на Солнце и Луну 94-G, 92-G, 94–91 и 92–93. Я почти не сомневаюсь, если бы Ньюэму повезло так, как мне, и он мог бы использовать компьютер, все корреляции он установил бы самостоятельно. Здесь я еще раз хотел бы заявить, что честь открытия направлений Стоунхенджа, описанных в данной книге, принадлежит компьютеру. Этот безропотный трудяга за несколько секунд произвел сотни сложнейших вычислений. И я надеюсь, что в будущем ученые, занимающиеся Стоунхенджем, столкнувшись с новой загадкой, которую может подкинуть древний монумент, прибегнут к потомкам глубоко уважаемого 7090.
Высчитывая вероятность того, что направления возникли в Стоунхендже не случайно, и пытаясь оценить уровень мастерства тех первобытных людей, которые являлись одновременно астрономами, зодчими, инженерами и строителями, я все время мысленно возвращался ко второму из вопросов, которые археолог Ньюэлл задал в своем письме: "Каков смысл девятнадцатилетнего цикла, о котором говорит Диодор?"
Разумеется, число 19 в астрономии возникло очень давно и встречается часто. Диодор сам упоминает "метонический цикл". Некоторые еврейские и китайские календари строились на 19-летнем цикле. Но какое отношение число 19 имеет к Стоунхенджу? Связано ли оно с Луной наглядно?
Как лаконично сформулировал это сам Ньюэлл: "Может быть, полная Луна производила некоторый потрясающий эффект каждые девятнадцать лет в Стоунхендже?"
И тут я вдруг вспомнил о единственном по-настоящему потрясающем эффекте, который может произвести Луна. О ее затмении. И я спросил себя: "А когда затмение Луны производит наибольшее впечатление?" И ответ незамедлительно пришел сам собой: "Когда она стоит над Пяточным камнем или в просвете большого трилита". Вот так круг поисков решения сузился. Теперь предстояло изучить затмения.