
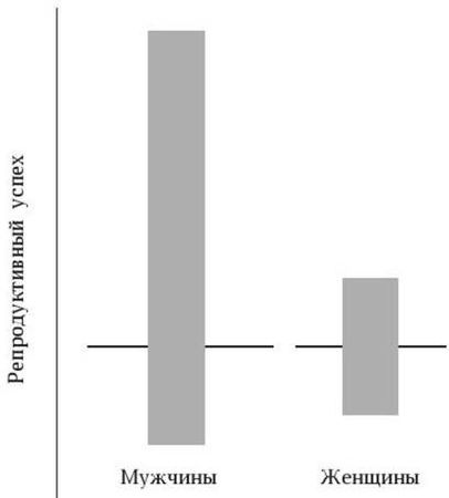
Рис. 9.1. Принцип Бейтмана. Максимальный репродуктивный успех у мужчин много выше, чем у женщин. Горизонтальная линия обозначает среднее количество детей на одного взрослого мужчину и женщину в популяции.
Женский рекорд куда скромнее. Русская крестьянка, занесенная в книгу рекордов Гиннеса, родила "всего" 69 детей (эта женщина рожала 27 раз, причем у нее были двойни и тройни). Таким образом, с эволюционной точки зрения быть мужчиной потенциально куда более выгодно, чем женщиной: мужчина может оставить в десятки раз больше потомков и, значит, передать в новое поколение больше своих генов. Однако у медали есть оборотная сторона: там, где один мужчина имеет много жен, другие мужчины не смогут произвести ни одного ребенка, поскольку не будут допущены к репродукции. Последнее обстоятельство, возможно, определило некоторые нормы поведения в полигинном обществе. Так, шариат разрешает правоверному иметь до четырех жен. Однако даже при официальной дозволенности полигинии, в Египте, к примеру, господствует моногамия. Многоженство и дорого, и хлопотно. Один инженер-египтянин, "человек легкомысленный, женился во второй раз. Не предупредив о новом браке первую жену и не сказав второй, что уже женат, он оказался между двух огней. Он вынужден был дать развод второй жене, заалатив кроме калыма очень крупные отступные, а затем от него ушла и первая жена" ( Васильев , 2000).
Получатся, что в плане оставления потомства быть мужчиной не только более выгодно, но и более рискованно. Так же обстоит дело и у многих полигинных животных, например, у морских львов - одни самцы имеют большие гаремы, другие не имеют доступа к самкам и вовсе исключены из размножения.
Многие сексуальные стратегии человека было бы невозможно понять, если не учитывать такой феномен, как родительский вклад. Термин ввел один из основоположников современных социобиологических теорий У. Д. Гамильтон (этот выдающийся ученый погиб, заразившись малярией в одной из экспедиций в экваториальную Африку). Гамильтон впервые оценил абстрактную "заботу о потомстве" математическими расчетами: сколько времени, сил, пищевых и иных ресурсов затрачивает каждый родитель на выращивание каждого потомка. В частности, относительный размер вклада мужского и женского пола в потомство позволяет предсказать, какой пол будет конкурировать за доступ к партнеру, а какой - выбирать партнера.
Это явление само по себе долго удивляло биологов. Если самцов и самок рождается поровну, почему в подавляющем большинстве случаев самцы сражаются за самок, но не наоборот? На это неравенство полов обращал внимание еще Дарвин, хотя и не предлагал объяснения. Какой бы вид мы ни взяли, легче представить себе кавалера, который бегает за дамой, и даму, которая решает, уступить или нет, чем обратную картину. Все видели, как коты дерутся из-за кошки, но видел ли кто-нибудь, чтобы две кошки подрались из-за кота?
Все получит объяснение, если мы вспомним, что значительно больший вклад в потомство у млекопитающих, как правило, вносят самки, самцы же заботятся о потомстве мало или не заботятся вовсе. А коль скоро дама берет на себя расходы по вынашиванию, рождению и выращиванию детенышей, то за ней и право выбора. Она меньше заинтересована в половой связи с партнером как таковой, а больше уделяет внимание качествам мужчины как потенциального снабженца ее и ее детей.
Задачи, стоящие перед самцом и самкой - разные. Самцу нужно, во-первых, правильно выбрать подругу, которая родит их общих детенышей наиболее сильными и сможет наилучшим образом их выкормить, во-вторых, успешно конкурировать с другими самцами за право обладания этой самкой, в-третьих, сделать так, чтобы она остановила свой взгляд именно на нем.
Самке, прежде чем выбирать самца, нужно "решить", какой партнер для нее является наиболее предпочтительным: обладатель "хороших генов" или "хороший отец". Легко догадаться, что в первом случае сильной конкуренции между самками не будет: один перспективный самец способен одарить своими генами многих желающих. Стратегия поиска "хороших генов" (shopping for genes) превалирует у самок тех видов, которые практикуют полигинию (половые связи устанавливаются между одним самцов и несколькими самками) без установления последующих связей между половыми партнерами. Например, у райских птиц, павлинов, фазанов. В случае превалирования стратегии поиска "хорошего отца" для своих детей, самки могут конкурировать друг с другом. Это касается, прежде всего, видов практикующих моногамию (многие виды обезьян: тити, каллимико, гиббоны), но может наблюдаться и у видов с полигамными отношениями, ведущими гаремный образ жизни (павианы гамадрилы, гелады, гориллы).
Насколько все это актуально для современного человека? Ведь наша эволюция породила самые разнообразные формы отношений между полами. Отцовский вклад в детей во многих человеческих обществах исключительно высок и вполне сопоставим с материнским (если учитывать, например, финансовое обеспечение всего периода детства и юности, более длинного у нашего вида, чем у других). Вместе с тем, ситуация при которой отцовский вклад минимален - достаточно распространена в современном обществе, и женщина без мужа может вполне успешно заботиться о ребенке сама. Получается, что оба пола должны быть избирательными в отношении партнеров, и оба же могут конкурировать с представителями своего пола за более привлекательного партнера.
Было бы, однако, непростительной ошибкой думать, что все гипотезы, которые работают применительно к млекопитающим, неприменимы к нашему виду. Анализ данных из разных человеческих обществ убедительно свидетельствует, что при прочих равных мужчины всегда оказываются скорее конкурирующим, а женщины - скорее избирательным полом. Это можно проследить во всех обществах - моногамных, полигинных или даже полиандрических.
9.2. Гендерные различия в индивидуальной свободе
Различия в поведении мужчин и женщин, принадлежащих к конкретной культуре, отчетливо отражены на уровне гендерных стереотипов, принятых в данном обществе. Многие из них тесно увязаны с допустимыми нормами личной свободы для каждого пола. В большинстве культур мужчины обладают гораздо большей свободой (это касается не только правил сексуального поведения, но и возможности принимать самостоятельные решения, перемещаться внутри поселения и за его пределами).
Ограничения, связанные с полом, могут то ужесточаться, то становиться менее выраженными в зависимости от экологических условий, исторических тенденций и политических пристрастий. Показательна в этом отношении историческая динамика распространения традиционной и европейской одежды в арабских странах, бывших среднеазиатских республиках СССР, на северном Кавказе. В конце 60-х - начале 70-х годов в Египте (в Каире) часто можно было встретить женщин, одетых по-европейски и с непокрытыми головами. Однако в наши дни исламские традиции становятся сильнее, и многие женщины от европейской моды вновь вернулись к традиционной одежде. А те, кто продолжает носить европейское платье, сочетают его с головным платком. В Танте, одном из самых крупных городов Египта, даже женщины-профессора местного университета, получившие образование на Западе, никогда не появлялись на занятиях без традиционных головных уборов. Гораздо более резко выраженный возврат к традиционной одежде можно наблюдать в Таджикистане, Туркмении, Узбекистане, Дагестане.
Правила ношения одежды, особенно при взаимной интеграции культур, для мужчин не слишком строгие. К женской одежде подходят с большей строгостью. Достаточно вспомнить, что традиционные платки продолжают оставаться атрибутом повседневной одежды мусульманок, даже из тех семей, которые уже давно перебрались из стран Востока в Европу. А какие негодования среди мусульман вызвали попытки правительства Франции запретить носить хиджаб (головное покрывало) в школе и высших учебных заведениях! Отечественный востоковед, специалист по культуре Египта А. М. Васильев дает в своей книжке любопытный экскурс в историю этого головного убора. "Чадра, паранджа или арабский хиджаб в обиходе часто ассоциируется с мусульманским средневековьем, сохранившимся до наших дней. Любопытно, однако, что не ислам изобрел хиджаб".
Не только ученые, но и богословы расходятся в толковании слова "хиджаб". Одни говорят, что под ним подразумевается покрывало, другие - занавес, ширма, перегородка. К арабам хиджаб проник не сразу, они заимствовали его у персов-зороастрийцев после завоевания Ирана в середине VII века. "У зороастрийцев женщина считалась существом нечистым, и чтобы не осквернять своим дыханием "священный огонь", она должна была на рот и на нос накладывать повязку. В Иран обычай носить покрывало, по-видимому, пришел из Ассирии".
Следует отметить, что обычай прятать лицо под покрывалом далеко не всегда однозначно указывает на выраженное доминирование мужчин над женщинами. Он может наблюдаться и там, где статус женщины высок. Например, его можно встретить у кочевников Африки - туарегов. Для них характерна матрилинейная организация. Все наследование идет по женской линии, причем, в отличие от большинства культур, основной наследницей является старшая дочь, а не сын.