Всего за 99 руб. Купить полную версию

Древнегреческие города и колонии. Древнегреческая цивилизация представляла собой города и колонии, занимавшиеся торговлей и сельским хозяйством и расположенные на побережье Средиземного и Черного морей.
Со временем римляне создали огромную империю, включившую себя и Грецию и греческие колонии. На севере границы империи проходили по двум большим рекам, Рейну и Дунаю, хотя иногда эти границы расширялись. На западе естественной границей служил Атлантический океан. Англия входила в Римскую империю, но Шотландия и Ирландия находились уже за ее пределами. На юге простирались пустыни Северной Африки. Самой неопределенной была восточная граница, потому что там существовали соперничающие с Римом империи. В целом Римская империя окружала Средиземное море и включала в себя не только часть нынешней Европы, но и территории, лежавшие за пределами Европы: Турцию (Малую Азию), Ближний Восток и Северную Африку.
Римляне воевали искуснее греков. Они лучше составляли законы, с помощью которых управляли своей империей. Они превосходили греков в строительстве и в инженерных сооружениях, полезных как для войны, так и для мирной жизни. Но во всем остальном они признавали авторитет греков и рабски копировали их достижения. Типичный представитель римской элиты говорил на двух языках: на греческом и на латинском (языке древних римлян); он посылал своих сыновей в афинскую школу или нанимал раба-грека для обучения детей на дому. Поэтому когда мы говорим о "греко-римской" культуре, мы так поступаем вслед за самими римлянами.

Территория Римской империи в I в.
Самой наглядной демонстрацией острого ума греков служит геометрия. Многие наверняка забыли, что это такое, поэтому начнем с азов. Геометрия устроена точно так же – она начинает с наиболее простых определений, служащих основанием дальнейших рассуждений и выводов.
Отправная точка – это точка, которую греки определяли как имеющую положение в пространстве, но не имеющую величины. Конечно, на этой странице она имеет определенную величину, но речь идет об идеальном случае, относящемся к царству чистых идей. Второе определение: линия имеет длину, но не имеет ширины. Далее, прямая линия – это кратчайшее расстояние между двумя точками.
На основе этих трех определений можно дать определение окружности: прежде всего, это замкнутая линия, образующая некоторую фигуру. Но как дать определение "округлости"? При здравом размышлении сделать это довольно трудно, хотя и возможно. Чтобы не мучить вас, сразу скажу, что окружность – это такая фигура, внутри которой есть точка, обладающая определенным свойством: отрезки прямых линий, проведенных от этой точки до любой точки на окружности, будут равной длины.

Кроме окружностей геометрия рассматривает и параллельные линии, которые никогда не пересекаются, и треугольники во всем их разнообразии, и квадраты, и прямоугольники, и другие фигуры.
Все они образованы линиями и имеют собственные свойства, все они строго определены, как и их пересечения и сочетания. Все доказывается с помощью описанных выше положений.
Например, с помощью свойств параллельных линий можно доказать, что сумма углов в любом треугольнике равна 180 градусам.
ГЕОМЕТРИЯ В ДЕЙСТВИИ
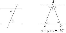
Параллельные линии не пересекаются. Из этого определения следует, что другая линия будет пересекать их под равными углами. Если бы эти углы не были равными, то параллельные линии сходились бы или расходились, и тогда они уже не были бы параллельными. Для обозначения углов мы используем греческие буквы, напоминающие нам об истоках геометрии. Здесь использованы три первые буквы греческого алфавита: альфа, бета и гамма, и на рисунке слева буквой α обозначены два равных угла.

На этом основании можно вычислить сумму углов треугольника. Треугольник ABC на рисунке справа заключен между двумя параллельными линиями; вообще, опираться на известное – это основной способ, каким в геометрии узнают неизвестное. Угол α у точки А равен углу α у точки В, поскольку это противоположные углы, образованные линией, пересекающей параллельные линии. Точно так же угол γ у точки С равен углу γ у точки В. Таким образом, вдоль верхней параллельной линии расположены три угла: α + β + γ. Вместе они образуют прямую линию, равную 180 градусам.
Итак, α + β + γ = 180 градусов. Как мы уже показали с помощью параллельных линий, сумма внутренних углов треугольника равна α + β + γ. Следовательно, сумма внутренних углов треугольника равна 180 градусам.
Так мы использовали свойства параллельных линий для доказательства некоего свойства треугольников.
Геометрия – это не только простая, элегантная и логическая, но еще и красивая система. Но что значит "красивая"? Красивой ее находили греки, и это многое объясняет в их понимании мира. Греки занимались геометрией не только для гимнастики ума, как это мы делаем в школе, и не только в практических целях, таких как измерение площади поля или навигация. Они воспринимали геометрию как средство объяснения основополагающих законов мироздания. Если посмотреть на все, что нас окружает, можно поразиться удивительному разнообразию мира: самые разные формы самых разных цветов и размеров. На первый взгляд кажется, что одновременно происходит великое множество разных событий, причем бессистемно и хаотично. Греки же верили, что всему можно найти простое и логичное объяснение. В основе всего сущего должно лежать нечто простое, регулярное и логичное. Нечто вроде геометрии.
Греки не занимались наукой в том смысле, в каком ею занимаемся мы, то есть выдвигая гипотезы и ставя эксперименты. Они считали, что если напрячь ум и хорошенько подумать, то можно прийти к правильному ответу. Поэтому всю их науку можно назвать системой вдохновенных догадок. Один греческий философ сказал, что все в мире состоит из воды, и это показывает, насколько отчаянно греки стремились свести все к простому объяснению. Другой философ сказал, что все состоит из четырех элементов: земли, огня, воздуха и воды. Еще один философ говорил, что все состоит из мельчайших частиц, которые он назвал атомами – и, как выяснилось впоследствии, оказался прав. Он высказал вдохновенную догадку, к которой мы вернулись только в XX веке.
Когда лет четыреста назад, через две тысячи лет после древних греков, появилась наука в современном понимании, она начала ставить под сомнения главные постулаты древнегреческой мысли, пользовавшиеся до тех пор авторитетом. Но при этом она не отказалась от стремления древних греков находить простые, логические и математические объяснения. Ньютон, величайший ученый семнадцатого столетия, и Эйнштейн, величайший ученый двадцатого столетия, утверждали, что ближе всего к правде самые простые ответы. Оба они умели выражать свои теории в математических формулах, описывающих состояние и движение материи.
Древние греки часто ошибались в своих предположениях, причем довольно сильно. Их предположение, что в основе всего лежат логические и математические объяснения, тоже могло оказаться ошибкой, но оказалось правдой. Это величайшее наследие древних греков, которые они передали европейской цивилизации.
Можно ли объяснить, почему древние греки оказались настолько умными и проницательными? Вряд ли. Предполагается, что историки должны объяснять исторические факты, но когда дело доходит до самых общих фактов – например, почему именно в маленьких городах-государствах родились великие мыслители с таким логичным и проницательным умом – они не могут предложить убедительных объяснений. Историкам, как и всем остальным, остается только удивляться.
Вот вам еще одно чудо. Мы подходим ко второму элементу европейской смеси. Древние евреи верили в существовании только одного Бога. Для той эпохи это было необычное воззрение. Древние греки и римляне верили в существовании целого множества богов. Евреи к тому же считали, что один-единственный Бог заботится прежде всего именно о них и что они принадлежат к богоизбранному народу. В обмен на такую привилегию евреи были обязаны соблюдать закон Божий. В основу этого закона были положены десять заповедей, данных евреям Моисеем, который вывел их из египетского плена. Христиане сохранили эти десять заповедей, которые оставались главным моральным критерием западного общества вплоть до недавнего времени. До сих пор можно услышать, как о человеке говорят, что он, допустим, никогда не нарушит восьмой заповеди, но иногда нарушает седьмую.
Вот эти десять заповедей, как они перечислены в Библии, в главе 20 Книги Исход:
И изрек Бог все слова сии, говоря:
Я Господь, Бог твой, Который вывел тебя из земли Египетской, из дома рабства; да не будет у тебя других богов перед лицем Моим.
Не делай себе кумира и никакого изображения того, что на небе вверху, и что на земле внизу, и что в воде ниже земли. <...>
Не произноси имени Господа, Бога твоего, напрасно, ибо Господь не оставит без наказания того, кто произносит имя Его напрасно.
Помни день субботний, чтобы святить его.
Шесть дней работай, и делая всякие дела твои. <...>