"Метод Юнг".
Эта система относится к играм двойной ставки. Здесь будет доказано, что такая игра может вестись также и при небольшом капитале.
Данная система имеет целью выявить серии, образующиеся на трех шансах, и использовать их. При этом методе безразлично, какие шансы выбираются. Главное то, что их играют неподвижно.
Для лучшего понимания техника ставки должна быть объяснена на одном шансе. Требуется небольшая прогрессия по схеме: 1, 2, 4, 8.
При первой ставке с одной единицей мы играем двойную ставку. Первый выигрыш приносит 2, первая двойная ставка 4, вторая двойная ставка 8 и третья двойная ставка – 16 единиц. Если первая ставка проигрывает или проигрывает одна из трех двойных ставок, то делается вторая ставка с двумя единицами с целью провести только две двойные ставки. Первый выигрыш приносит 4, первая двойная ставка 8, вторая двойная ставка 16 единиц. Если при этом ходе получается потеря, то следует третья ставка с 4 единицами и с целью провести еще только одну двойную ставку. Если эта также проигрывает, то делается четвертая ставка в 8 единиц. Двойная ставка при этом ходе исключается.
Может случиться, что и четвертая ставка проиграет. В таком случае игра начинается сначала на соответствующем шансе. В совсем неблагоприятном случае даже два расположения могут быть проиграны в одно и тоже время.
Требования к капиталу при этом методе можно определить как отношение 1 к 4. То есть ожидание прибыли в 200 долларов обусловливает игровой капитал в 800 долларов. Не советуем начинать игру менее чем с 200 единицами. Игрок, ожидающий, что данная игровая система предлагает особые богатые перспективами шансы, не будет разочарован.
"Метод Гарсия".
Для старейших представителей рулеточной элиты имя Гарсия говорит многое. А тому, кто слышит это имя в первый раз, сообщаем, что Гарсия был величайшим игроком в рулетку всех времен. Если этот игрок, живший в прошлом столетии, входил в игровой зал, то присутствующая публика знала, что она сейчас будет свидетельницей беспощадной дуэли. Во многих случаях кончалось тем, что за несколько часов банк становился легче на несколько сотен тысяч талеров.
Если разобрать подробно технику ставки Гарсия, то удивляет ее простота. Он играл только очень высокие ставки на простые шансы. Высота этих ставок была так рассчитана, что в случае потери могла быть еще 5 раз повышена на 20 %. Только при пятой ставке достигался максимум.
Пример: максимум был 10000. Первая ставка составляла 5000. Проиграно, было поставлено 6000. Проиграно также, ставилось 7000 и так далее до максимума. В случае выигрыша тот же самый путь должен был быть пройден в обратном направлении.
Здесь мы имеем дело с умеренной прогрессией, с одним видом метода Д'Аламбера. С этим методом мы попробуем, шутки ради, оперировать с размерностью игры Гарсии. Конечно, игра с такими гигантскими суммами – утопия. Но Гарсия "в миниатюре" также возможен. Ведь там, где его ставка была 5000, можно поставить 50 или вообще только 5, и утопия станет реальностью.
Гарсия играл "с банком". Он ставил по следующей твердой схеме: после того, как простой шанс показывал четырехразовое прекращение, он начинал свою игру с первой ставки на этот шанс. Это происходило так долго, пока единица (в этом случае 5 000), не была выиграна. Конечно, иногда случалось, что два простых шанса в одно и то же время должны были играться с различными ставками.
Система "Томас Дональд".
Учитывая ограничение максимального размера ставок, различные системы игры, разработанные в разное время, выстраивают стратегию изменения величины ставки в относительно небольшом диапазоне. Чтобы ставка подольше умещалась между максимумом и минимумом, пришлось перейти от геометрической прогрессии – к арифметической, то есть увеличивать ставку не во сколько-то раз, а на столько-то единиц.
Рассмотрим одну из таких систем, носящую имя своего автора – систему Томас Дональд.
Основные положения этой системы следующие. Для игры нужно иметь капитал в 3000 раз больше условно принятой вами начальной ставки. Каждый раз, проиграв ставку, очередную нужно увеличить на одну ставку. Выиграв ставку, очередную нужно уменьшить на одну ставку.
Система основана на положении, принимаемом автором, что в течение определённого отрезка времени – дня, недели, месяца, года – число проигрышей и выигрышей приблизительно равно. Автор обещает выигрыш, если игрок будет пользоваться его системой в течение таких отрезков времени, при соблюдении ещё двух дополнительных правил: 1. Не играть, если не можете свободно распоряжаться временем в течение выбранного вами срока или деньгами в пределах суммы, в 3000 раз превышающей принятую вами ставку.
2. Не играть на чужие деньги и на деньги, взятые в долг.
Два последних пункта не имеют прямого отношения к системе "Томас Дональд" и скорее похожи на мораль. Но, следует заметить, эти правила носят универсальный характер. Многие выдающиеся игроки замечали некую мистическую связь между своим отношением к деньгам и благосклонностью Фортуны.
Так, ещё Н.А.Некрасов, отправляясь на крупную игру, клал деньги, предназначенные для проигрыша, в отдельный карман. "Нужно, – говорил он, – относиться к этим деньгам так, как будто их уже нет". Фортуна любит лёгкость в обращении с деньгами. Если вы станете трястись над каждой ставкой, если вы отрываете деньги от семьи или каких-то своих важных дел, лучше не играйте.
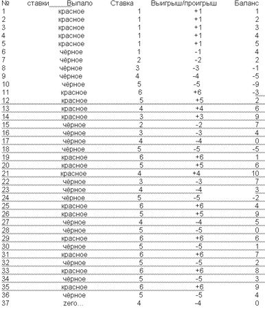
Попробуем проверить, как бы сработала система "Томас Дональд" на практике. Допустим, мы всегда ставим на красное, начальная ставка – $1. Предположим, что из 37 запусков рулетки красное выпадает 18 раз, столько же раз – чёрное, и 1 раз – zero. Пусть красное и чёрное чередуются таким образом: 5 раз красное, 5 раз чёрное, 4 раза красное, 4 раза чёрное, 3 раза красное, 3 раза чёрное, 2 раза красное, 2 раза чёрное, дальше через 1.

Обратите внимание, по результату целой игры мы сыграли вничью, хотя выигрышей у нас было на 1 меньше, чем проигрышей. К тому же, чередование красного и чёрного оказалось для нас очень невыгодным: первые пять раз мы выигрывали всего по $1. Если бы чередование началось с пяти чёрных, то следующие 5 выигрышей принесли бы не $5, а $20 (6+5+4+3+2).
Почему же, даже играя по системе, люди чаще проигрывают в рулетку? Тот же Достоевский, если судить по письмам жене, постоянно просил прислать денег на обратную дорогу. Мы не знаем, по какой системе играл Фёдор Михайлович, но по какой бы ни играл, автор "Игрока" определённо нарушал основные заповеди, касающиеся лёгкого отношения к деньгам. Из его текстов это очевидно.
Модификация Томаса Дональда – система "Дональд-Натансон".
В наши дни старинная система Томас Дональд подверглась критическому пересмотру со стороны серьёзного математика Льва Натансона. Он рассуждал следующим образом: "Я всегда ставлю на красное. Допустим, начальная ставка – 1 доллар. После выпадения чёрного я увеличиваю ставку на единицу, а после выпадения красного – уменьшаю на единицу. Но что мне делать, если я поставил доллар на красное и выиграл?"
Согласно Т.Дональду, ставка должна оставаться неизменной, так как ни нулевых, ни отрицательных ставок не бывает. "А собственно, почему?" – подумал математик. И попробовал: получилось весьма интересно.
Чтобы не отступать от канонов системы, после ставки на красное и выигрыша, ставку нужно уменьшить на единицу. Если вы ставили $1, следующая ставка должна быть равна нулю. Что такое нулевая ставка, понятно: очередной запуск рулетки вы просто пропускаете. Но при этом вы ставите ноль именно на красное и внимательно следите за тем, что выпадет, – чтобы знать, как поставить в следующий раз. Допустим, опять выпало красное. Вы выиграли и должны снова уменьшить ставку. Следующая ставка (по системе) должна равняться -1 (минус единице).
А что такое отрицательная ставка на красное? Это – ставка на чёрное! Что бы ни случилось в дальнейшем, правило только одно: при выпадении чёрного ставка увеличивается, при выпадении красного – уменьшается.
Пусть, например, при трёх первых запусках рулетки всё время выпадает красное. После первого запуска мы выиграли $1, во второй раз "ставим нуль", а в третий – минус $1 (доллар на чёрное).
"Широкий шаг".
Вот пример ещё одной системы, основанной на принципе мартингейл. После каждого выигрыша игрок ставит первоначальную ставку. После каждого проигрыша ставка удваивается и увеличивается на единицу. Игрок всегда ставит на равные шансы.

Автор этой системы исходит из предположения, что в игре существуют чередующиеся серии. Отрицательный результат каждой неблагоприятной серии (чёрной полосы) он пытается компенсировать выигрышем в одном-единственном броске.
Нетрудно убедиться, что при каждом положительном исходе его суммарный выигрыш равен порядковому номеру запуска рулетки с начала игры.
Но система столь агрессивна, что применяющий её рискует слишком рано упереться в верхний предел ставки. Посмотрите по таблице, что будет, если в 9-м испытании результат окажется отрицательным.

Следующая ставка должна быть уже в 63 раза больше первоначальной. При нижнем лимите $25 это составит $1575, что намного больше верхнего предела. Серию из 5-ти поражений подряд система уже не выдерживает.