
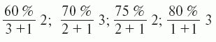
2. Жим "Кузнецова". И.п. штанга удерживается двумя руками на груди, ноги расположены в переднезаднем положении (в ножницах), угол сгибания в коленном суставе переднестоящей ноги 90°. Выжимание штанги от груди 4-5 раз, 4 подхода с интервалом отдыха до 60 с (12 мин).:
3. Приседание со штангой на груди:

4. Рывок в разножку из и.п. стоя после небольшого по амплитуде (взрывного) движения плеч вверх и выхода на носки:

5. Игра в настольный теннис (20 мин).
Заключительная часть (10 мин): висы, наклоны, пресс, гимнастические упражнения на расслабление. Итого 140 мин.
ВТОРОЙ ВАРИАНТ ТРЕНИРОВОЧНОГО ЗАНЯТИЯ
Задачи: развитие силы мышц рук и ног, координации и ловкости; совершенствование в технике рывка.
Разминка (15 мин): бег в среднем темпе (5 мин), прыжки вверх с места, переноска груза весом 15-20 кг на плечах.
Основная часть (100 мин):
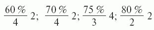
1. Рывок:

Примечание: 1+3 – 1 – один подъем с помоста и 3 с виса не касаясь помоста.
2. Жим лежа:

3. Приседания со штангой на плечах:

4. Игра в гандбол (20 мин × 2).
5. Висы на перекладине с подвешенным грузом на поясничном ремне, удержание ног в висе под углом 90°.
Заключительная часть (10 мин): прыжки в длину с места (соревнование), расслабляющий бег. Итого 145 мин.
ТРЕТИЙ ВАРИАНТ ТРЕНИРОВОЧНОГО ЗАНЯТИЯ
Задачи: развитие выносливости, совершенствование в технике рывка.
Разминка (20 мин): бег в среднем темпе 400-500 м, гимнастические упражнения в движении, прыжки в длину с разбега и с места, отжимания в упоре лежа.
Основная часть (70 мин):
1. Рывок:

2. Приседания со штангой на плечах (20 мин):

3. Бросание набивного мяча (или ядра весом 4 кг) за голову и перед собой.
4. Игра в футбол (20 мин).
5. Кросс 1000 м (соревнование).
Заключительная часть (20 мин): наклоны со штангой на плечах (15-30 кг); висы на перекладине с грузом; упражнения для восстановления дыхания.
Итого ПО мин.
В практике спортивной подготовки юных тяжелоатлетов, особенно в первые годы, нередко возникает трудность в тестировании тренировок с различной нагрузкой. В связи с этим ниже дается комплекс упражнений с различными нагрузками, применяемыми в начальной подготовке тяжелоатлетов.
9.4.4. Варианты тренировочных занятий с различной нагрузкой
СОДЕРЖАНИЕ ТРЕНИРОВОЧНЫХ УРОКОВ В ПЕРВЫЕ 6 МЕСЯЦЕВ ЗАНЯТИЙ В ТЯЖЕЛОАТЛЕТИЧЕСКОЙ СЕКЦИИ
Тренировочное занятие с малой нагрузкой(продолжительность 90 мин)
Задачи: развитие скоростно-силовых качеств, силы ног; совершенствование в технике классического рывка.
Разминка (15 мин): бег в умеренном темпе, прыжки в длину с места и разбега, гимнастические упражнения.
Основная часть (65 мин):
1. Бег 30 м (6 повторений с 2-минутным интервалом отдыха между забегами); прыжки в длину с места (10 повторений).
2. Рывок разножкой (упражнение выполняется при помощи гимнастической палки).
3. Приседание со штангой (весом 60% от максимального результата) на плечах 5x5.
4. Лазанье по канату 4 м (3 повторения с 30-секундным интервалом отдыха); прыжки через гимнастического козла (5 повторений).
5. Двусторонняя игра в ручной мяч (10 мин).
Заключительная часть (10 мин): бег в умеренном темпе (5 мин), гимнастические упражнения на расслабление (5 мин).
Тренировочное занятие со средней нагрузкой(продолжительность 100 мин)
Задачи: развитие силы рук и ног, совершенствование в технике толчка.
Разминка (20 мин): бег в умеренном темпе, ускорения на 10-м, 20-м метрах; забегание в гору, прыжки в высоту с места, общеразвивающие упражнения.
Основная часть (75 мин):
1. Бег 60 м (4 повторения с 1-минутным интервалом отдыха между забегами и с максимальной интенсивностью), бег 200 м (2 забега с 2-минутным интервалом отдыха и с интенсивностью 70% от максимального результата).
2. Толчок разножкой (вес штанги – 70% от максимального результата) 4x6.
3. Жим лежа (вес штанги – 70% от максимального результата) 4x6.
4. Борьба (6 мин с интервалом отдыха 2 мин).
5. Прыжки в длину с места, подтягивания, наклоны.
6. Заключительная часть (5 мин): бег в умеренном темпе, легкие гимнастические упражнения.
Тренировочное занятие с большой нагрузкой(продолжительность ПО мин)
Задачи: развитие скоростно-силовых качеств, совершенствование в технике рывка.
Разминка (25 мин): бег в умеренном темпе 800 м с ускорениями на 10 -30-м метрах; общеразвивающие упражнения, тройной прыжок с места и с разбега; толкание ядра 4 кг.
Основная часть (80 мин):
1. Отжимание на перекладине (в течение тренировки 4 раза с интенсивностью до 80% от максимального результата в этом упражнении и с интервалом отдыха 20-30 с).
2. Рывок разножкой (вес штанги – 50-70% от максимального результата) 5x6.
3. Приседания со штангой на плечах (на груди) (вес штанги – 70% от максимального результата) 5x6.
4. Прыжки в высоту с разбега (до 10 повторений).
5. Игра в баскетбол (18 мин).
Заключительная часть (5 мин): бег в умеренном темпе, гимнастические упражнения на расслабление, наклоны, висы на перекладине.
СОДЕРЖАНИЕ ТРЕНИРОВОЧНЫХ УРОКОВ ДЛЯ ЗАНИМАЮЩИХСЯ В ТЯЖЕЛОАТЛЕТИЧЕСКОЙ СЕКЦИИ ОТ 6 ДО 18 МЕСЯЦЕВ
Тренировочное занятие с малой нагрузкой(продолжительность 100 мин)
Задачи: развитие общей выносливости и скоростно-силовых качеств, совершенствование в технике рывка, развитие силы мышц ног и рук.
Разминка (15 мин): бег 800 м с ускорениями на 10-м-30-м метрах; прыжки в длину с разбега; гимнастические общеразвивающие упражнения.
Основная часть (80 мин):
1. Бег 60 м (6 повторений с интенсивностью 80% от максимального результата).
2. Толкание ядра 4 кг (10 повторений).
3. Отжимание на брусьях (в течение тренировки 4 раза с интенсивностью 60% от максимального результата).
4. Рывок разножкой (ножницами) (вес штанги – 70% от максимального результата) 4x6.
5. Приседания со штангой (весом 70% от максимального результата) на плечах (на груди) 5x6.
6. Игра в баскетбол (20 мин).
Заключительная часть (5 мин): бег в умеренном темпе, упражнения на развитие гибкости.
Тренировочное занятие со средней нагрузкой(продолжительность ПО мин)
Задачи: развитие гибкости и ловкости, мышечной силы спины и ног; совершенствование в технике рывка и подъеме на грудь с полуподседом.
Разминка (20 мин): бег в умеренном темпе, прыжки в длину с места, забегание в гору, гимнастические упражнения.
Основная часть (85 мин):
1. Подъем на грудь с полуподседом (вес штанги – 70% от максимального результата) 5x6.
2. Рывок разножкой (ножницами) (вес штанги – 70-80% от максимального результата) 3x6.
3. Приседания со штангой (весом 70% от максимального результата) на груди 5x6.
4. Игра в ручной мяч (30 мин с интервалом отдыха 2 мин).
Заключительная часть (5 мин): акробатические упражнения, прыжки в длину с места, наклоны, бег в умеренном темпе.
Тренировочное занятие с большой нагрузкой(продолжительность 120 мин)
Задачи: совершенствование в технике толчка, развитие ловкости и координации, силы мышц рук.
Разминка (20 мин): бег в умеренном темпе, гимнастические упражнения, подтягивания, упражнения у гимнастической стенки.
Основная часть (95 мин):
1. Рывок с полуподседом (вес штанги – 80% от максимального результата) 3x6.
2. Толчок разножкой (ножницами) (вес штанги – 70% от максимального результата) 4x6.
3. Жим лежа (вес штанги – 80% от максимального результата) 2-3 × 6.
4. Игра в баскетбол (20 мин × 2).
5. Борьба (10 мин).
Заключительная часть (5 мин): наклоны, прыжки в длину с места, бег в умеренном темпе (1,5 мин).