
Продолжение табл. 9.7

Окончание табл. 9.7

Таблица 9.8
Примерный вариант тренировочной нагрузки по СФП на первых трех ступенях подготовки юных тяжелоатлетов
Первая ступень

Вторая ступень

Продолжение табл. 9.8

Третья ступень

1 (30–40%) – вес штанги в процентах от максимального результата в приседании.
9.4. Содержание тренировочных уроков в период начальной подготовки юных тяжелоатлетов
9.4.1. Содержание уроков в недельном цикле в первые 6 месяцев начальной подготовки
ПЕРВЫЙ ВАРИАНТ ТРЕНИРОВОЧНОГО ЗАНЯТИЯ
Задачи: укрепление мышц спины и ног, дальнейшее освоение техники рывка.
Разминка (20 мин): спортивная ходьба, бег в умеренном темпе с ускорением до максимальной скорости на 10-30 м – 7 мин; гимнастические упражнения – 13 мин.
Основная часть (85 мин):
1. Прыжки со скакалкой (30-50 раз).
2. Ускорения на 10, 20 и 30 м (5-6 повторений).
3. Толкание набивного мяча вперед и вверх правой, левой и двумя руками по 5-10 раз.
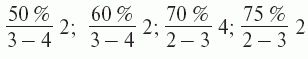
4. Рывок (18 мин):

5. Приседания со штангой на плечах (18 мин):

6. Игра в футбол или баскетбол (25 мин).
Заключительная часть (15 мин): бег в умеренном темпе, прыжки
с места, висы, наклоны. Итого 120 мин.
ВТОРОЙ ВАРИАНТ ТРЕНИРОВОЧНОГО ЗАНЯТИЯ
Задачи: укрепление мышц рук, развитие ловкости, совершенствование в технике толчка.
Разминка (20 мин): спортивная ходьба, бег в умеренном темпе с последующим ускорением – 7 мин; гимнастические упражнения в движении – 5 мин; имитация техники соревновательных упражнений с гимнастической палкой – 8 мин. Основная часть (120 мин):
1. Прыжки со скакалкой (30-50 раз).
2. Подтягивание на перекладине (3 подхода по 5-8 раз).
3. У "шведской" стенки выпрыгивание вверх с упором на 2-3-ю ступеньку (вначале на правой, а затем на левой ноге по 10 раз 2 повторения).
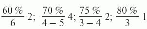
4. Толчок (20 мин):

5. Жим лежа (20мин):

6. Приседание со штангой в рывковом хвате (20 мин):

Заключительная часть (10 мин): прыжки в длину с места, висы, наклоны, игра в волейбол, расслабляющий бег. Итого 150 мин.
ТРЕТИЙ ВАРИАНТ ТРЕНИРОВОЧНОГО ЗАНЯТИЯ
Задачи: совершенствование навыков выносливости к статическим напряжениям, развитие ловкости и формирование спортивного мышления.
Разминка (14 мин): спортивная ходьба, бег с ускорением, гимнастические упражнения в движении, бросание тяжестей – ядра или набивного мяча.
Основная часть (76 мин):
1. Наклоны со стоек с весом штанги в 30-40% от веса тела, 3 подхода по 5 раз (10 мин).
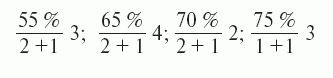
2. Рывок в полуподсед (20 мин):

2. Удержание штанги на плечах в статической позе, угол сгибания ног в коленном суставе 90° (вес штанги до 30% от максимального результата в приседании со штангой на плечах) – 3-4 подхода по 15-20 с, интервал отдыха до 2 мин (12 мин).
Примечание: при выполнении упражнения дыхание не задерживается.
3. Жим "Кузнецова". И.п. штанга удерживается двумя руками на груди, ноги расположены в переднезаднем положении (в ножницах), угол сгибания в коленном суставе переднестоящей ноги 90°. Выжимание штанги от груди 3-4 раза, 4 подхода с интервалом отдыха до 60 с (12 мин).
4. Двусторонняя игра в баскетбол (гандбол) по упрощенным правилам (10 мин × 2), интервал отдыха 120 с (22 мин).
Заключительная часть (10 мин): наклоны, висы, расслабляющий бег, сгибание и разгибание рук в упоре на брусьях. Итого 100 мин.
9.4.2. Содержание уроков в недельном цикле в период подготовки от 6 до 18 месяцев
ПЕРВЫЙ ВАРИАНТ ТРЕНИРОВОЧНОГО ЗАНЯТИЯ
Задачи: развитие скоростно-силовых качеств, силы мышц ног и спины, дальнейшее совершенствование в технике рывка
Разминка (20 мин): бег в умеренном темпе с ускорениями на 5-м, 10-м, 15-м метрах; прыжки со скакалкой на правой и левой ногах; гимнастические упражнения в движении и на месте.
Основная часть (90 мин):
1. Рывок (20 мин):

2. Приседания со штангой на плечах (20 мин):

3. Подъем на грудь в полуподсед с виса (20 мин):

Прыжки из полуподседа по 10-15 раз со штангой на плечах (весом 10– 20% от веса тела). Повторить 3-4 раза с интервалом отдыха не менее 3 мин.
5. Игра в футбол (гандбол) (20-25 мин).
Заключительная часть (10 мин): висы на перекладине, упражнения на гибкость, расслабляющий бег. Итого 130-135 мин.
ВТОРОЙ ВАРИАНТ ТРЕНИРОВОЧНОГО ЗАНЯТИЯ
Задачи: развитие мышечной силы спины и плечевого пояса, скоростно-силовых возможностей; совершенствование в технике толчка.
Разминка (20 мин): бег в умеренном темпе с переходом на 30-секундную ходьбу после 1-го минутного бега, (5 мин); гимнастические упражнения; бег в максимальном темпе 30-40 м (3-4 старта).
Основная часть (120 мин):
1. Жим из-за головы средним хватом (вес штанги равен 40% от рывка) 6x6 .
2. Толчок:

Примечание: 2+1 – 2 – два подъема на грудь, 1 – один толчок от груди.
3. Наклоны со штангой на плечах: 3 подхода по 5-10 раз в зависимости от самочувствия юного атлета (вес штанги – 10% от приседания со штангой на плечах).
4. Сгибание и разгибание рук в упоре на брусьях (10-12 раз, сделать 3-4 повторения).
5. Тройной прыжок с места (4-5 раз).
6. Игра в настольный теннис с выбыванием (20 мин).
Заключительная часть (10 мин): удержание ног в висе под углом 90°; бег в умеренном темпе. Итого 150 мин.
ТРЕТИЙ ВАРИАНТ ТРЕНИРОВОЧНОГО ЗАНЯТИЯ
Задачи: совершенствование в технике рывка; воспитание таких качеств как смелость, решительность, ловкость.
Разминка (25 мин): бег в среднем темпе – 5 мин; гимнастические упражнения, имитация техники рывка и толчка с помощью гимнастической палки.
Основная часть (80 мин):
1. Рывок с виса (с плинтов):

2. Приседание со штангой на плечах:

3. Атлетическая подготовка в тренажерном зале (30 мин).
4. Игра в волейбол (20 мин).
Заключительная часть (15 мин): акробатические упражнения (кувырки, стойка на руках и др.). Итого 130 мин.
9.4.3. Содержание уроков в недельном цикле в период подготовки от 18 до 24 месяцев
ПЕРВЫЙ ВАРИАНТ ТРЕНИРОВОЧНОГО ЗАНЯТИЯ
Задачи: развитие скоростно-силовых качеств; совершенствование в технике толчка, развитие силы мышц ног.
Разминка (30 мин): бег в умеренном темпе 800-1000 м; гимнастические упражнения, бег с ускорениями на 20-30-м метрах; прыжки в длину с разбега.
Основная часть (80 мин):
1. Толчок: