Для более эффективной скоростно-силовой подготовки юных тяжелоатлетов необходимо преимущественно использовать методику со "щадящими" и смешанными величинами отягощений. Как показал эксперимент, в подростковом возрасте интенсивные методы силовой подготовки хотя и приводят к существенному приросту результатов, но они менее значимы по сравнению с вышеописанными.
Глава 9
Планирование тренировочной нагрузки
9.1. Физическая работоспособность и тренировочная нагрузка
На протяжении многих десятков лет мы являемся свидетелями значительного роста спортивных достижений тяжелоатлетов молодого возраста. Так, в настоящее время мало кого удивляет тот факт, что тяжелоатлеты подросткового возраста добиваются высоких спортивных результатов, поднимая отягощения, превышающие их собственный вес в 1,5 или 2 раза. Однако при этом надо признать, что эти достижения не являются доступными для массы занимающихся спортом и, в частности, тяжелой атлетикой в молодом возрасте.
70-80-е годы характеризовались значительным ростом спортивных достижений молодых тяжелоатлетов. Их успехи оказали, в свою очередь, большое влияние на повышение популярности занятий с тяжестями среди школьников и учащейся молодежи. Исследования последних 15-20 лет позволили доказать эффективность влияния этого вида спорта как на степень изменения физического развития, так и на совершенствование функциональных возможностей сердечно-сосудистой, нервно-мышечной и дыхательной систем детей 12-14 лет. В соответствии с результатами этих исследований были разработаны методики тренировки для юных тяжелоатлетов различного возраста.
В то же время дальнейшее внедрение силовой и скоростно-силовой подготовки с использованием дозированных отягощений в систему массового физического воспитания школьников и учащейся молодежи требует новых научно обоснованных разработок по применению тех или иных тренировочных нагрузок. Важно, чтобы при этом определение их оптимальных величин опиралось как на результаты педагогических исследований, так и на выявление функциональных возможностей с помощью физиологических методов.
В данной главе рассматривается методика использования известного показателя физической работоспособности для расчета объективно возможных тренировочных нагрузок при подъеме штанги юными тяжелоатлетами. Это относится как к интенсивности, так и к объемам тренировочной нагрузки в специальной подготовке с учетом физических и функциональных возможностей организма спортсменов.
Физическая работоспособность по принятой международной терминологии (Physical working capacity) – это способность человека выполнять в течение продолжительного времени интенсивную физическую работу (А.А. Аскеров). Большое распространение получило определение физической работоспособности при помощи теста PWC170. По В.Л. Карпману, З.Б. Белоцерковскому и ИА. Гудкову, этот тест основан на следующих двух факторах: 1) учащение сердечных сокращений при мышечной работе прямо пропорционально ее интенсивности (мощности); 2) степень учащения сердцебиений при всякой (непредельной) физической нагрузке обратно пропорциональна способности испытуемого к выполнению мышечной работы данной интенсивности (мощности).
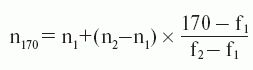
Обоснование теста PWC170 связано с физиологическими закономерностями. Известно, что существует определенная зона оптимального функционирования сердечно-сосудистой и респираторной систем. При максимальном потреблении кислорода длительность сердечного цикла колеблется примерно в пределах 0,35-0,3 с, т. е. частота сердечных сокращений достигает 170-200 в 1 мин (СВ. Хрущев, К.М. Смирнов, В.Л. Карпман, З.Б. Белоцерковский, И.А. Гудков и др.). В.Л. Карнизным, З.Б. Белоцерковским и Б.Г. Люблиной была предложена формула для расчета

где N1 – мощность первой нагрузки, N2 – мощность второй нагрузки, f1 – частота пульса в конце первой нагрузки, f2 – частота пульса в конце второй нагрузки. Обе нагрузки по данному тесту выполняются на вело-эргометре и являются неспецифичными для тяжелой атлетики, поскольку характеризуют не столько скоростно-силовые качества тяжелоатлета, сколько его выносливость. Эта формула может быть использована для расчета тренировочной нагрузки с учетом функциональных возможностей организма спортсмена. Для этого можно взять усредненные данные высоты подъема штанги, указанные в табл. 9.1 и 9.2.
Таблица 9.1
Высота подъема штанги спортсменов разного роста, см

Приведенная формула для оценки физической работоспособности в специфичных для тяжелоатлетов упражнениях неудобна, так как темп выполнения упражнений, лимитируемый инерцией штанги, практически одинаков у всех спортсменов. Физические возможности тяжелоатлетов точнее оценивать не мощностью, а работой. Для этого умножим обе части первой формулы на время t и получим:

где А170 = PWC170 × t, A1 = N1 x t – работа при выполнении первого подхода, A2 = N2 x t – работа при выполнении второго подхода.
Вторая формула была применена для расчета физической работоспособности тяжелоатлетов и определения оптимальных величин объемов тренировочной нагрузки (ОТН). Исследования проводились следующим образом. Каждому испытуемому предлагалось выполнить экспериментальное упражнение дважды. В первом подходе спортсмен поднимал штангу весом в 70% от максимального три раза подряд, во втором – шесть раз. Интервал отдыха между подходами составлял 2,5-3 мин. Объем тренировочной нагрузки рассчитывался из произведения веса штанги и количества ее подъемов (КПШ) в одном подходе. Высота подъема штанги определялась при помощи гибкой рулетки.
Частота сердечных сокращений (ЧСС) регистрировалась при помощи биорадиотелеметрической аппаратуры "Тренер – спортсмен", разработанной в Уральском политехническом институте и позволяющей получить информацию в цифровом виде одновременно у пяти спортсменов. Непрерывная запись ЧСС проводилась до начала подъема штанги, во время работы и в восстановительном периоде.
Таблица 9.2
Высота подъема штанги спортсменами разного роста и различной спортивной квалификации (по А.В. Черняку), см

Приведем пример расчета показателей физической работоспособности и тренировочной нагрузки. У тяжелоатлета, рост которого 160 см, после трехкратного приседания со штангой весом 100 кг ЧСС составляла 140 уд./мин (f1), а после шестикратного– 155 уд./мин (f2). Высота подъема штанги (h) равнялась 0,55 м. Объем тренировочной нагрузки за первый подход составил:
O1 = 300 кг (100 кг × 3), А1 = 165кгм (100 кг × 3 × 0,55 м)
Во втором подходе
O2 = 600 кг (100 кг × 6), и А2 = 330 кгм (100 кг × 6 × 0,55 м)
Зная работу, выполняемую спортсменом в первом и втором подходах, а также изменение ЧСС, можно подсчитать максимальные возможности этого спортсмена:

Чтобы перевести эту величину в объем тренировочной нагрузки, преобразуем формулу с помощью следующего соотношения: А = Pxnxh, где А – работа, выполняемая атлетом за один подход, Р – вес штанги, п – число повторений за один подход, h – высота подъема штанги. Получаем:

Исключив h и полагая О170 = Р-n170 (максимальный объем тренировочной нагрузки), O1 = Р × n1 (объем тренировочной нагрузки при выполнении первого подхода), O2 = Р × n2 (объем тренировочной нагрузки при выполнении второго подхода), получаем:

Подставляя числовые значения, определенные выше, находим:

Для вычисления максимального количества повторений за один подход исключим из формулы вес штанги Р:

Подставляя числовые значения, указанные выше, получаем: