Всего за 164.9 руб. Купить полную версию
Очевидно, что сетевая операционная система способна поддерживать ограниченное число открытых виртуальных соединений, а также отвечать на ограниченное число запросов (ограничена длина очереди запросов на подключение, тайм-аут очистки очереди и число одновременно открытых соединений). Эти ограничения устанавливаются индивидуально для каждой сетевой ОС. Основная проблема, возникающая в таком случае, состоит в том, что при отсутствии статической ключевой информации в РВС идентификация запроса возможна только по адресу его отправителя. Если в распределенной ВС не предусмотрено средств аутентификации адреса отправителя, то есть инфраструктура РВС позволяет с какого-либо объекта системы передавать на атакуемый объект бесконечное число анонимных запросов на подключение от имени других объектов (тем самым переполняя очередь запросов), числом на несколько порядков меньше пропускной способности канала (направленный мини-шторм), то этои будет реализацией типовой угрозы безопасности РВС "отказ в обслуживании" (denial of service – DoS). Результат такой реализации – нарушение на атакованном объекте работоспособности соответствующей службы предоставления удаленного сервиса, то есть невозможность получения удаленного доступа с других объектов РВС из-за переполнения очереди (буфера) запросов.
Суть второй разновидности реализации этой типовой угрозы заключена в передаче с одного адреса стольких запросов на атакуемый объект, сколько позволит пропускная способность канала передачи (направленный шторм запросов; от англ. "flooding" – наводнение). Если в системе не предусмотрено ограничение числа принимаемых запросов с одного объекта (адреса) в единицу времени, то результатом этой атаки может быть нарушение работы системы от возможного переполнения очереди запросови отказа одной из телекоммуникационных служб, вплоть до полной остановки компьютера из-за того, что система не может заниматься ничем другим, кроме обработки запросов.
Типовая удаленная атака "отказ в обслуживании" является активным воздействием (класс 1.2), осуществляемым с целью нарушения работоспособности системы (класс 2.3), относительно объекта атаки (класс 3.3). Данная атака является однонаправленным (класс 4.2) внутрисегментным (класс 5.1) или межсегментным воздействием (класс 5.2), осуществляемым на канальном (класс 6.2), сетевом (класс 6.3), транспортном (класс 6.4) и прикладном (класс 6.7) уровнях модели OSI.
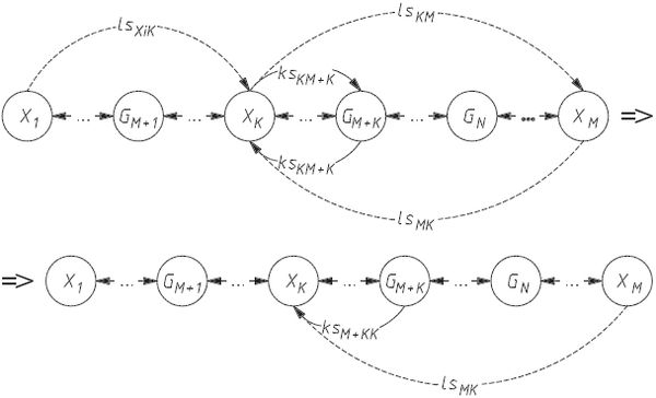
Для моделирования механизмов реализации данной типовой угрозы воспользуемся графовой моделью взаимодействия объектов РВС в проекции на канальный и сетевой уровни модели OSI (рис. 3.10).

Рис. 3.10. Графовая модель взаимодействия объектов РВС при реализации типовой угрозы "отказ в обслуживании" в проекции на канальный и сетевой уровни модели OSI
Пусть объект Xk взаимодействует с объектом XM. Пусть с объекта X1 осуществляется данное воздействие с целью нарушить работоспособность объекта Xk. Тогда с объекта X1 осуществляется направленный шторм (или мини-шторм) запросов на объект Xk от имени любых объектов в сети (lsxik). Если атака достигла цели, на сетевом уровне нарушается взаимодействие объекта Xk с объектом XM, а на канальном уровне может нарушиться взаимодействие Xk с ближайшим роутером GM+k. Следовательно, на графе взаимодействия объектов РВС пропадают однонаправленные линии связи lskM и kskM+k.
Глава 4 Удаленные атаки на хосты Internet
Многое
Наша Земля повидала,
Но не видала
Такого скандала!
Б. Заходер. География всмятку
Анализ сетевого трафика Internet
В Internet базовыми протоколами удаленного доступа являются TELNET и FTP (File Transfer Protocol). TELNET – это протокол виртуального терминала (ВТ), позволяющий с удаленных хостов подключаться к серверам Internet в режиме ВТ. FTP – протокол, предназначенный для передачи файлов между удаленными хостами. Для получения доступа к серверу по данным протоколам пользователю необходимо пройти процедуры идентификации и аутентификации. В качестве информации, идентифицирующей пользователя, выступает его имя, а для аутентификации используется пароль. Особенностью протоколов FTP и TELNET является то, что пароли и идентификаторы пользователей передаются по сети в открытом, незашифрованном виде. Таким образом, необходимым и достаточным условием для получения удаленного доступа к хостам по протоколам FTP и TELNET являются имя и пароль пользователя.
Одним из способов получения таких паролей и идентификаторов в Internet является анализ сетевого трафика. Этот анализ осуществляется с помощью специальной программы-анализатора пакетов (sniffer), перехватывающей все пакеты, передаваемые по сегменту сети, и выделяющей среди них те, в которых передаются идентификатор пользователя и его пароль. Сетевой анализ протоколов FTP и TELNET показывает, что TELNET разбивает пароль на символы и пересылает их по одному, помещая каждый символ пароля в соответствующий пакет, а FTP, напротив, пересылает пароль целиком в одном пакете.

Рис. 4.1. Схема осуществления анализа сетевого трафика
У внимательного читателя, наверное, уже возник вопрос, почему разработчики базовых прикладных протоколов Internet не предусмотрели возможностей шифрования передаваемых по сети паролей пользователей. Даже во всеми критикуемой сетевой ОС Novell NetWare 3.12 пароли пользователей никогда не передаются по сети в открытом виде (правда, указанная функция этой ОС не особенно помогает [11]). Видимо, проблема в том, что базовые прикладные протоколы семейства TCP/IP разрабатывались очень давно, в период с конца 60-х до начала 80-х годов, и с тех пор абсолютно не изменились. При этом точка зрения на построение глобальных сетей стала иной. Инфраструктура Сети и ее протоколы разрабатывались исходя, в основном, из соображений надежности связи, но не из соображений безопасности. Мы, пользователи Internet, вынуждены сейчас прибегать к услугам этой устаревшей с точки зрения защищенности глобальной сети. Совершенно очевидно, что вычислительные системы за эти годы сделали колоссальный скачок в своем развитии, существенно изменился и подход к обеспечению информационной безопасности распределенных ВС. Были разработаны различные протоколы обмена, позволяющие защитить сетевое соединение и зашифровать трафик (например, протоколы SSL, SKIP и т. п.). Однако новые протоколы не сменили устаревшие и не стали стандартом для каждого пользователя (за исключением, может быть, SSL, да и то лишь применительно к некоторым Web-транзакциям). К сожалению, процесс перехода на эти протоколы может длиться еще многие годы, так как в Internet централизованное управление сетью отсутствует. А на сегодняшний день подавляющее большинство пользователей продолжают работать со стандартными протоколами семейства TCP/IP, разработанными более 15 лет назад. В результате, как показывают сообщения американских центров по компьютерной безопасности (CERT, CIAC), в последние годы анализ сетевого трафика в сети Internet успешно применяется кракерами, и, согласно материалам специального комитета при конгрессе США, с его помощью в 1993–1994 годах было перехвачено около миллиона паролей для доступа в различные информационные системы.
Ложный ARP-сервер в сети Internet
Как уже неоднократно подчеркивалось, в вычислительных сетях связь между двумя удаленными хостами осуществляется путем передачи по сети сообщений, которые заключены в пакеты обмена. Как правило, такой пакет независимо от используемого протокола и типа сети (Token Ring, Ethernet, X.25 и др.) состоит из заголовка и поля данных. В заголовок пакета обычно заносится служебная информация, необходимая для адресации пакета, его идентификации, преобразования и т. д.; такая информация определяется используемым протоколом обмена. В поле данных помещаются либо непосредственно данные, либо другой пакет более высокого уровня OSI. Так, например, пакет транспортного уровня может быть помещен в пакет сетевого уровня, а тот, в свою очередь, вложен в пакет канального уровня. Спроецировав это утверждение на сетевую ОС, использующую протоколы TCP/IP, можно утверждать, что пакет TCP (транспортный уровень) помещен в пакет IP (сетевой уровень), вложенный в пакет Ethernet (канальный уровень). Структура TCP-пакета в Internet выглядит следующим образом:
1. Заголовок Ethernet.
2. Заголовок IP.
3. Заголовок TCP.
4. Данные.
Иерархия протоколов сети Internet в проекции на модель OSI приведена на рис. 4.2.