Разрешающая способность сканера 600 dpi (dotper inch – точек на дюйм) определяет возможность сканера с такой разрешающей способностью на отрезке длиной 1 дюйм различить 600 точек.
8. Определить информационный объем файла, полученного в результате сканирования цветного изображения размером А4. Разрешающая способность сканера, используемого при сканировании данного изображения, равна 1200 dpi. Сканер задает глубину цвета точки изображения равной 24 бит.
9. Определить количество цветов в палитре при глубине цвета 8, 16, 24 и 32 бита.
10. Определить требуемый объем видеопамяти для графических режимов экрана монитора 640 на 480, 800 на 600, 1024 на 768 и 1280 на 1024 точек при глубине цвета точки изображения 8, 16, 24 и 32 бита. Результаты свести в таблицу. Разработать в MS Excel программу для автоматизации расчетов.
11. Определить максимальное число цветов, которое допустимо использовать для хранения изображения размером 32 на 32 точки, если в компьютере выделено под изображение 2 Кбайт памяти.
12. Определить максимально возможную разрешающую способность экрана монитора, имеющего длину диагонали 15" и размер точки изображения 0,28 мм.
13. Какие графические режимы работы монитора может обеспечить видеопамять объемом 64 Мбайт?
Глава 4
Логические основы компьютерной техники
4.1. Логические переменные и логические операции
Информация (данные, машинные команды и т. д.) в компьютере представлена в двоичной системе счисления, в которой используется две цифры – 0 и 1. Электрический сигнал, проходящий по электронным схемам и соединительным проводникам (шинам) компьютера, может принимать значения 1 (высокий уровень электрического напряжения) и 0 (низкий уровень электрического напряжения) и рассматривается как импульсный сигнал, который математически может быть описан в виде двоичной переменной, принимающей также значения 0 или 1. Для решения различных логических задач, например, связанных с анализом и синтезом цифровых схем и электронных блоков компьютера, широко используются логические функции и логические операции с двоичными переменными, которые называются также логическими переменными.
Логические переменные изучаются в специальном разделе математики, который носит название алгебры логики (высказываний), или булевой алгебры. Булева алгебра названа по имени английского математика Джорджа Буля (1815–1864), внесшего значительный вклад в разработку алгебры логики. Предметом изучения алгебры логики являются высказывания, при этом анализу подвергается истинность или ложность высказываний, а не их смысловое содержание. Простые высказывания в алгебре логики обозначаются заглавными латинскими буквами: А, В, С, D,… и т. д. Составные высказывания на естественном языке образуются с помощью союзов. В алгебре логики эти союзы заменяются логическими операциями. В соответствии с алгеброй логики любое составное высказывание можно рассматривать как логическую функцию F(А, В, С, …), аргументами которой являются логические переменные А, В, С… (простые высказывания). Логические функции и логические переменные (аргументы) принимают только два значения: "истина", которая обозначается логической единицей – 1 и "ложь", обозначаемая логическим нулем – 0. Логическую функцию называют также предикатом.
Действия, совершаемые над логическими переменными для получения определенных логических функций, называются логическими операциями. В алгебре логики используются следующие логические операции.
1. Логическая операция ИНВЕРСИЯ (отрицание). В естественных языках соответствует словам неверно, ложь или частице не, в языках программирования обозначается Not, в алгебре логики обозначается
![]()
Инверсия каждому простому высказыванию ставит в соответствие составное высказывание, заключающееся в том, что исходное высказывание отрицается.
Математическая запись данной операции для логической переменной А будет иметь вид:
![]()
2. Логическая операция КОНЪЮНКЦИЯ (логическое умножение). В естественных языках соответствует союзу и, в языках программирования обозначается And, в алгебре логики обозначается & .
Конъюнкция каждым простым высказываниям ставит в соответствие составное высказывание, являющееся только тогда истинным, когда являются истинными простые высказывания, образующие составное высказывание.
Математическая запись данной операции для логических переменных Д В, С, … будет иметь вид:
F = A & B & C & …
3. Логическая операция ДИЗЪЮНКЦИЯ (логическое сложение). В естественных языках соответствует союзу или, в языках программирования обозначается Or, в алгебре логики обозначается V.
Дизъюнкция каждым простым высказываниям ставит в соответствие составное высказывание, являющееся только тогда истинным, когда хотя бы одно из образующих его высказываний является истинным.
Математическая запись данной операции для логических переменных A, В, С, … будет иметь вид:
F = AvBvC…
4. Логическая операция ИМПЛИКАЦИЯ (логическое следование). В естественных языках соответствует обороту речи, если…, то …, в языках программирования обозначается If, в алгебре логики обозначается ⇒.
Импликация каждым простым высказываниям ставит в соответствие составное высказывание, являющееся ложным тогда и только тогда, когда первое высказывание истинно, а второе высказывание ложно.
Математическая запись данной операции для двух логических переменных А и В будет иметь вид:
F = A⇒B.
5. Логическая операция ЭКВИВАЛЕНЦИЯ (логическая равнозначность). В естественных языках соответствует обороту речи тогда и только тогда, в алгебре логики обозначается ⇔.
Эквиваленция каждым простым высказываниям ставит в соответствие составное высказывание, являющееся истинным тогда и только тогда, когда все простые высказывания, образующие составное высказывание, одновременно истинны или одновременно ложны.
Математическая запись данной операции для логических переменных A, В, С… будет иметь вид:
F = A⇔B⇔C⇔…
4.2. Основные законы алгебры логики и правила преобразования логических выражений
В алгебре логики имеются законы, которые записываются в виде соотношений. Логические законы позволяют производить равносильные (эквивалентные) преобразования логических выражений. Преобразования называются равносильными, если истинные значения исходной и полученной после преобразования логической функции совпадают при любых значениях входящих в них логических переменных.
Для простоты записи приведем основные законы алгебры логики для двух логических переменных А и В. Эти законы распространяются и на другие логические переменные.
1. Закон противоречия:
![]()
2. Закон исключенного третьего:
![]()
3. Закон двойного отрицания:
![]()
4. Законы де Моргана:
![]()
5. Законы повторения: A & A = A; A v A = A; В & В = В; В v В = В.
6. Законы поглощения: A ∨ (A & B) = A; A & (A ∨ B) = A.
7. Законы исключения констант: A ∨ 1 = 1; A ∨ 0 = A; A & 1 = A; A & 0 = 0; B ∨ 1 = 1; B ∨ 0 = B; B & 1 = B; B & 0 = 0.
8. Законы склеивания:
![]()
9. Закон контрапозиции: (A ⇔ B) = (B ⇔ A).
Для логических переменных справедливы и общематематические законы. Для простоты записи приведем общематематические законы для трех логических переменных A, В и С:
1. Коммутативный закон: A & B = B & A; A ∨ B = B ∨ A.
2. Ассоциативный закон: A & (B & C) = (A & B) & C; A ∨ (B ∨ C) = (A ∨ B) ∨ C.
3. Дистрибутивный закон: A & (B ∨ C) = (A & B) ∨ (A & C).
Как уже отмечалось, с помощью законов алгебры логики можно производить равносильные преобразования логических выражений с целью их упрощения. В алгебре логики на основе принятого соглашения установлены следующие правила (приоритеты) для выполнения логических операций: первыми выполняются операции в скобках, затем в следующем порядке: инверсия (отрицание), конъюнкция ( & ), дизъюнкция (v), импликация (⇒), эквиваленция (⇔)
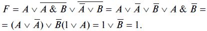
Выполним преобразование, например, логической функции
![]()
применив соответствующие законы алгебры логики.
