Они означают, что в маркере DYS393 мутация происходит в среднем раз в 1/0.00059 = примерно 1700 условных поколений, то есть раз в 42 500 лет. В трех независимых маркерах DYS393 мутация в среднем проходит примерно раз в 14 тысяч лет. А общий предок всех трех гаплотипов в примере выше жил примерно 5 тысяч лет назад, поэтому мутация и не успела произойти, все три аллели равнялись 13, то есть показывали 13 тандемных повторов. В маркере DYS390 мутация происходит в среднем раз в 1/0.0022 = 455 условных поколений, то есть примерно раз в 11 тысяч лет, то есть для трех независимых маркеров мутация в среднем произойдет раз в 3800 лет (округлено). Вот она и произошла, и даже дважды за 5 тысяч лет. Естественно, здесь это только полуколичественные расчеты, потому что три маркера – это не статистика, но здесь показан принцип расчета. Если бы у нас было в наличии тысяча гаплотипов, расчеты были бы намного точнее. В таком случае в тысяче маркеров DYS393 за пять тысяч лет (200 условных поколений) было бы 1000х0.00059х200 = 118 мутаций, а в маркере DYS390 было бы 1000х0.0022х200 = 440 мутаций. С такой статистикой уже можно работать.
Давайте посмотрим, что наблюдается в более протяженных сериях гаплотипов. Взглянем на серию из 3466 гаплотипов гаплогруппы R1b-L21. Число аллелей в маркере DYS393:
11 – 2 (то есть аллель 11 встречается в 3466 гаплотипах всего два раза)
12 – 81
13 – 3237
14 – 145
15 – 1
Считая, что все мутации одношаговые, получаем 232 мутации на 3466 аллелей – от базового значения аллели, равного 13, то есть в среднем 0.067 мутаций на маркер DYS393. Как проводятся поправки на возвратные мутации в таких системах мы рассмотрим в следующем разделе. Такие поправки нужны, потому что часть мутированных маркеров не только продолжают мутировать, уходя все дальше от предковой аллели (например, 13 → 14 → 15, или 13 → 12 → 11), но по тем же законам статистики возвращаются в исходное положение (13 → 14 → 13, 13 → 12 → 13), и потому мы часть мутаций недосчитываем.
Для другого примера возьмем не "медленный" маркер, как DYS393, а "быстрый", например, DYS390, из той же серии в 3466 гаплотипов субклада R1b-L21. Число аллелей в маркере DYS390:
21 – 3
22 – 22
23 – 228
24 – 2364
25 – 815
26 – 33
27 – 1
Видно, что мутации уже более "размазанные" по аллелям. Считая, что все мутации одношаговые, получаем 1165 мутаций на 3466 аллелей, то есть в среднем 0.336 мутаций на маркер DYS390. Мы видим, что среднее число мутаций в маркере DYS390 для той же серии гаплотипов уже в пять раз выше. Если бы не сложности статистического характера, упомянутые выше, можно было бы полагать, что эта разница отражает количественную разницу в соответствующих константах скорости мутации для маркеров DYS393 и DYS390, но это не совсем так. Константы равны 0.00059 и 0.0022 мутаций на маркер на условное поколение, то есть различаются только в 3.7 раз. Под "сложностями статистического характера" здесь понимаются и введение поправок на возвратные мутации, и несимметричность распределения числа мутаций "вверх" и "вниз" (см. приведенные выше примеры), и наличие нижестоящих субкладов, гаплотипы которых могут (системно) по мутациям отличаться от гаплотипов вышестоящих субкладов, и многие факторы, которые надо учитывать при корректном анализе в ДНК-генеалогии. Примеры даны ниже.
Вопрос 61: Что такое поправки на возвратные мутации, и как они рассчитываются?
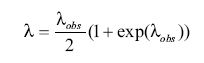
Как было пояснено выше, вклад возвратных мутаций вызывается тем, что часть мутаций вернулись в исходное положение предковой аллели (13 или 24 для случаев маркеров DYS393 и DYS390, рассмотренных выше), и таким образом мы наблюдаем некоторый недобор мутаций. Формулы для расчетов поправочных коэффициентов даны в работах, и в простейшем виде симметричной картины мутаций формула следующая:

где:
λobs = наблюдаемое среднее число мутаций на маркер в рассматриваемой серии гаплотипов,
λ = среднее число мутаций на маркер, с учетом поправки на возвратные мутации.
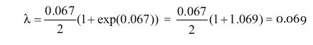
В примере с DYS393, рассмотренном выше, поправка будет минимальной, поскольку маркер "медленный", и мутаций наблюдается мало, как в "одну", так и в "другую" сторону от исходного положения аллели. Тем не менее, рассчитаем этот поправочный коэффициент, для иллюстрации. Поскольку наблюдаемое среднее число мутаций на маркер равно 0.067, поправочный коэффициент равен 1.0345, и полная запись расчета следующая:

(1+1.069)/2 = 1.0345
Итак, мы наблюдаем 0.067 мутаций на маркер, а на самом деле их 0.069 мутаций на маркер, то есть всего на 3 % больше. Те мутации, что мы теряем, вернулись в исходное положение, и не учитываются при "линейных" подсчетах.
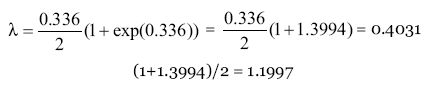
В примере c маркером DYS390, также рассмотренном выше, поправка будет значительной, поскольку маркер "быстрый", и мутаций наблюдается много, как "вверх", так и "вниз" от исходного положения аллели. Рассчитаем этот поправочный коэффициент. Поскольку наблюдаемое среднее число мутаций на маркер равно 0.336, получаем, что поправочный коэффициент равен 1.1997, и полная запись

Итак, мы наблюдаем 0.336 мутаций на маркер, а на самом деле их 0.403 мутаций на маркер, то есть 20 % больше. Те мутации, что мы теряем, вернулись в исходное положение, и не учитываются при "линейных" подсчетах.
Вопрос 62: Насколько точны (или неточны) расчеты в ДНК-генеалогии? – продолжение Вопроса 32.
В сети довольно часто встречаются сомнения в отношении расчетов в ДНК-генеалогии, например, в таком виде (вопрос взят с международного форума DNA Rootsweb, перевод с английского):
✓ Есть фундаментальная проблема с "научными" расчетами времен жизни общего предка, где расчеты, основаны на частотах встречаемости мутаций разных маркеров. Эти частоты – просто оценки, основанные на встречаемости мутаций в современных гаплотипах. Но когда я смотрю на гаплотипы людей, общий предок которых известен и жил 400–500 лет назад, и я не вижу в их гаплотипах никаких мутаций, то у меня возникают резонные сомнения о надежности расчетов, основанных на мутациях.
Ну что здесь сказать? Когда человек не имеет понятия о том, о чем говорит, и "выходит на публику с сомнениями", когда рассуждают "по понятиям", где надо "по науке", то там может помочь только методичное просвещение. Например, следующее.
Если этот "критик" говорит о 6-маркерных гаплотипах, то там одна мутация образуется в среднем раз в 1/0.0074 = 135 условных поколений, то есть раз в 135х25 = 3375 лет. Если речь о 12-маркерных гаплотипах, то там одна мутация образуется в среднем раз в 1/0.02 = 50 условных поколений, то есть раз в 50х25 = 1250 лет. Если – о 37-маркерных гаплотипах, то там одна мутация образуется в среднем раз в 1/0.09 = 11 условных поколений, то есть раз в 11х25 = 275 лет. Но в среднем – это не обязательно точно раз в 275 лет, как часы. Это может быть мутация через 100 лет, и через 600 лет, и как угодно, но при большом числе гаплотипов это получается в среднем раз в 275 лет. Поэтому критик не понимает того, что просто "гаплотипов" в таких случаях писать нельзя, надо обязательно указывать, какой протяженности гаплотипы. Как мы видим, и в случае 37-маркерных гаплотипов вполне возможно, что за 400–500 лет в них не происходит мутации. Но если речь о 111-маркерных гаплотипах, в которых мутация происходит в среднем раз в 125 лет, то за промежуток времени 400–500 лет мутации должны наблюдаться. Хотя и при бросании монеты бывает, что орел или решка выпадают подряд 4–5, и даже 6 раз. Хотя в среднем выпадают каждый второй раз.
Поэтому принцип должен быть такой, что при рассмотрении и обсуждении мутаций надо всегда исходить из вероятностного характера процесса.
Вообще при обсуждении вопроса в понятиях "точны" или "неточны", надо сначала определиться, "точны" для чего, для какой задачи, которая должна ставиться. Если задача ставится вычислить время рождения или смерти общего предка с точностью до года, то никакие статистические методы для этого в принципе не подходят, включая ДНК-генеалогию. Не подходят и задачи, в которых требуются проводить расчеты с точностью до десятилетий. ДНК-генеалогия решает задачи в первую очередь концептуальные, на уровне открытий, пересмотров старых концепций, и создания концепций новых. Никто же не требует в астрофизике расчета времени "большого взрыва" Вселенной с точностью до сотен лет, и тем более до года, там оценки идут на сотни миллионов и миллиарды лет, и не в сотне лет точности была важность новой концепции.