Всего за 94.9 руб. Купить полную версию
Основной недостаток показателя срока окупаемости как меры эффективности, рассчитываемого в форме, не отражающей временную ценность денег, заключается в том, что он не учитывает весь период функционирования инвестиций и, следовательно, на него не влияет вся та отдача, которая лежит за его пределами. Поэтому этот показатель должен использоваться не как критерий выбора, а в качестве ограничения при принятии решений.
Простая норма прибыли аналогична коэффициенту рентабельности капитала и показывает, какая часть инвестиционных затрат возмещается в виде прибыли в течение одного интервала планирования. На основании сравнения инвестором расчетной величины нормы прибыли с минимальным или средним уровнем доходности делается заключение о целесообразности дальнейшего анализа данного инвестиционного проекта.
Основное преимущество этого метода заключается в простоте, что позволяет использовать его для небольших фирм с маленьким денежным оборотом, а также для быстрого оценивания проектов в условиях дефицита ресурсов.
Недостатки критерия простой нормы прибыли заключаются в том, что существует большая зависимость от выбранной в качестве ставки сравнения величины чистой прибыли, не учитывается ценность будущих поступлений и расчетная норма прибыли играет роль средней за весь период.
Критерии, основывающиеся на технике расчета временной ценности денег, называются дисконтированными критериями . В мировой практике в настоящее время наиболее часто употребляются понятия: чистый дисконтированный доход, внутренняя норма доходности, индекс доходности и дисконтированный срок окупаемости.
Чистый дисконтированный доход представляет собой дисконтированный показатель ценности проекта, определяемый как сумма дисконтированных значений поступлений за вычетом затрат, получаемых в каждом году в течение срока жизни проекта.
Для признания проекта эффективным с точки зрения инвестора необходимо, чтобы его чистый дисконтированный доход был положительным; при сравнении альтернативных проектов предпочтение должно отдаваться проекту с большим значением чистого дисконтированного дохода (при условии, что он положительный).
Внутренняя норма доходности технически представляет собой ставку дисконтирования, при которой достигается безубыточность проекта, означающая, что чистая дисконтированная величина потока затрат равна чистой дисконтированной величине потока доходов.
Недостаток определенной таким образом внутренней нормы доходности заключается в том, что такое уравнение не обязательно иметь один положительный корень. Оно может вообще не иметь корней или иметь несколько положительных корней. Индексы доходности характеризуют отдачу проекта на вложенные в него средства. Они могут рассчитываться как для дисконтированных, так и для недисконтированных денежных потоков. Существуют индексы доходности затрат и индексы доходности инвестиций.
Индекс доходности дисконтированных затрат – это отношение суммы элементов денежных притоков к сумме дисконтированных денежных оттоков.
Индекс доходности дисконтированных инвестиций – это отношение суммы элементов денежного потока от операционной деятельности к абсолютной величине дисконтированной суммы элементов денежного потока от инвестиционной деятельности.
Значение индексов доходности для эффективных проектов должно быть больше единицы.
Дисконтированный срок окупаемости равен продолжительности наименьшего периода, по истечении которого чистый дисконтированный доход становится и продолжает оставаться неотрицательным.
Данный критерий аналогичен простому сроку окупаемости, но использует дисконтированные значения затрат и выгод.
Значение срока окупаемости не должно превышать срока жизни проекта.
28. Система показателей, используемых в международной и деловой практике РФ
В период перехода экономики страны к рыночным отношениям были разработаны методические рекомендации по оценке эффективности инвестиционных проектов и их отбору для финансирования. Эти рекомендации основываются на методологии, применяемой в современной международной практике; используются также подходы, выработанные при создании отечественных методик. Рекомендации содержат систему показателей, критериев и методов оценки эффективности инвестиционных проектов в процессе их разработки и реализации, применяемых на различных уровнях управления.
В рекомендациях различают следующие показатели эффективности инвестиционного проекта:
– коммерческая (финансовая) эффективность , учитывающая финансовые последствия реализации проекта;
– бюджетная эффективность , отражающая финансовые последствия проекта для федерального, регионального или местного бюджетов;
– экономическая эффективность , учитывающая затраты и результаты, связанные с реализацией проекта, выходящие за пределы прямых финансовых интересов участников инвестиционного проекта и допускающие стоимостное изменение.
Оценка предстоящих затрат и результатов при определении эффективности инвестиционного проекта осуществляется в пределах расчетного периода, продолжительность которого (горизонт расчета) принимается с учетом:
а) продолжительности создания, эксплуатации и (при необходимости) ликвидации объекта;
б) средневзвешенного нормативного срока службы основного технологического оборудования;
в) достижения заданных характеристик прибыли (массы и/или нормы прибыли и т. д.);
г) требований инвестора.
Горизонт расчета измеряется количеством шагов расчета. Шагом расчета при определении показателей эффективности в пределах расчетного периода могут быть: месяц, квартал или годы.
Затраты, осуществляемые участниками, подразделяются на первоначальные (капиталообразующие инвестиции), текущие и ликвидационные, которые осуществляются соответственно на стадиях строительной, функциональной и ликвидационной.
Для стоимостной оценки результатов и затрат рекомендуется использовать базисные, мировые, прогнозные и расчетные цены.
Базисная цена – сложившаяся в народном хозяйстве цена на определенный момент времени на любую продукцию или ресурсы, она считается неизменной в течение всего расчетного периода. Использование в расчетах базисных цен производится, как правило, на стадии технико-экономических исследований инвестиционных возможностей.
Расчетная цена используется для вычисления интегральных показателей эффективности, если текущие значения затрат и результатов выражаются в прогнозных ценах. Расчетные цены получаются умножением на дефилирующий множитель, соответствующий индексу общей инфляции.
Сравнение различных вариантов инвестиционного проекта и выбор лучшего из них рекомендуется производить с использованием различных показателей, к которым относятся:
а) чистый дисконтированный доход или интегральный эффект;
б) индекс доходности;
в) внутренняя норма доходности;
г) срок окупаемости;
д) другие показатели, отражающие интересы участников.
29. Коммерческая эффективность проекта
Коммерческая эффективность (финансовое обоснование) проекта определяется соотношением финансовых затрат и результатов, обеспечивающих требуемую норму доходности будущего предприятия после реализации проекта. Коммерческая эффективность может рассчитываться как для проекта в целом, так и для отдельных участников с учетом их вклада.
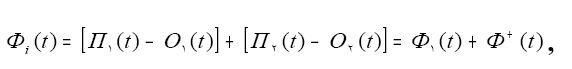
При этом в качестве эффекта на t-ом шаге (Эt) выступает поток реальных денег. При осуществлении проекта выделяется три вида деятельности: инвестиционная, операционная и финансовая. В рамках каждого вида деятельности происходит приток Пi(t) и отток Оi(t) денежных средств. Обозначим разность между ними через Фi(t), тогда
Ф ( t ) = П i ( t ) − O i ( t ) ,
где i = 1; 2; 3.
Потоком реальных денег Ф(t) называется разность между притоком и оттоком денежных средств от инвестиционной и оперативной деятельности в каждом периоде осуществления проекта (на каждом шаге расчета):

где Ф1(t) – разность между результатами и затратами на t-ом шаге.
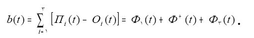
Сальдо реальных денег b(t) называется разность между притоком и оттоком денежных средств от всех трех видов деятельности (на каждом шаге расчета):

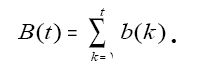
Для определения потока реальных денег используется сальдо накопленных реальных денег.
Сальдо накопленных реальных денег:

Текущее сальдо реальных денег определяется через В(t) по формуле:

Поток реальных денег: