Всего за 74.9 руб. Купить полную версию

Рис. 1.1. Динамика импорта машин и оборудования
В 1930 г. происходит значительный рост импорта машин и оборудования, и в 1931 г. он составил рекордную цифру – 2,9 млрд. руб. Это объясняется потребностями первых лет индустриализации. Далее импорт значительно снижается вследствие наращивания собственного производства отраслей группы "А". Основными поставщиками оборудования и машин были американские, немецкие, английские и французские предприятия.
Ускоренная индустриализация не могла быть такой успешной без государственной монополии внешней торговли (ГМВТ), которая основывалась на прямой роли государства в вопросах импорта-экспорта товаров. Фундаментом ГМВТ выступила общественная собственность на средства производства и государственная валютная монополия. Ограничение свободного передвижения товаров и капиталов защитило зарождающуюся промышленность от крупных мировых монополий. Внутри страны стоимость промежуточных фабрикатов была намного ниже, чем за её пределами. В случае свободной торговли сырье и продукция низких переделов просто бы вымывалась из страны, и индустриализация не смогла бы достичь поставленных целей. ГМВТ не есть синоним автаркии, так как СССР активно участвовал в международном обмене. Среди экспортных товаров стоит отметить пушнину, нефть и нефтепродукты, лес и пиломатериалы, масло и зерно. В противовес ГМВТ западные страны действовали так же далеко не рыночными способами. Так, была введена "золотая блокада", когда золото из СССР в качестве платежного средства уже не принималось. Единственное, что не подпадало под блокаду – это вывоз зерна из советского государства. Многие утверждают, что это и стало одной из причин голода 30-х годов.
Для проведения внешнеэкономических операций создавались экспортно-импортные объединения, которые юридически были отделены от государства. Предприятия для ввоза или вывоза продукции формировали заявки, согласно которым экспортно-импортные объединения выполняли операции. Государственную монополию на внешнюю торговлю упразднили в период перестройки 80-х годов.
Существенным отличием советской экономики от рыночной является директивный план, который в отличие от индикативного предполагает обязательность его выполнения. Планирование экономики осуществлялось на основе межотраслевых балансов, в которых указывалась взаимосвязь между различными отраслями промышленности. Причем методика межотраслевого баланса была использована Госпланом в 1920-х годах, задолго до того как о ней написал свою первую статью В. Леонтьев – лауреат Нобелевской премии.
Огромная советская экономика напоминала крупную корпорацию, когда центр прибыли формировался на самом верхнем уровне, а главной задачей иных уровней являлось снижение себестоимости и выпуск продукции определенного ассортимента. Примерно также работают современные вертикально-интегрированные транснациональные компании, когда движение продукции внутри одной корпорации происходит по трансфертным ценам. Трудно сказать, кто перенял это опыт – СССР у ТНК или наоборот. Однако их подобность свидетельствует об учете советским руководством экономических законов, характерных для любых систем.
Такая форма организации производства позволяла наращивать экономическую мощь страны намного эффективнее, чем при рыночной модели. Планирование есть неотъемлемая составляющая механизма управления, включающего так же организацию, мотивацию, координацию и контроль. Об этом написано в любом современном учебнике по менеджменту, однако наши власти об этом давно уже забыли. И всех, кто настаивает на формировании планов, пусть даже индикативных, сразу клеймят "совками" и прочими. Это позволяет им ни за что не отвечать, так как нет базы для анализа достижения результатов. В советское время было совсем по-другому. Наверное, потому и результаты разные.
Основоположниками советского планирования являлись Г. Кржижановский, В. Куйбышев, С. Струмилин. Они настаивали на жестком централизованном планировании. Стоит напомнить слова С. Струмилина: "Нам представляется, что наш перспективный план должен дать не сумму предвидений, а систему экономической политики, т. е. систему хозяйственных задач и предуказаний, выраженных в цифрах" Хотя, к примеру, Н. Кондратьев предлагал внедрять индикативное планирование с учетом рыночных тенденций.
Планирование и антизатратный механизм позволяли на протяжении ряда лет снижать цены на ряд продовольственных товаров. Это лишь один из эффектов вертикальной интеграции, когда происходит экономия на транзакционных издержках. К примеру, затраты по рекламе и маркетингу отсутствовали. Аналогом конкуренции в СССР было социалистическое соревнование, которое способствовало распространению передового опыта производства.
Трудовая активность и инициатива всячески поощрялись. Для детей стали выпускаться технические журналы популяризующие науку. Это способствовало увлечению инженерными науками, и как следствие, технологическому прогрессу. Дифференциация доходов была минимальной, однако инженер зарабатывал в разы больше, чем простой рабочий. Это уже в поздний период времени зарплата инженеров приблизилась, а порой стала меньше заплаты рабочего.
Форсированная индустриализация не привела к росту государственного долга, как это должно было произойти. Запасы золота в период индустриализации лишь увеличились.

Рис. 1.2. Динамика запасов золота
На графике наглядно представлен рост запасов золота в период индустриализации. Максимума он достиг в 1953 г. И это несмотря на войну и послевоенное время!
Главным источником финансирования индустриализации являлось расширенное воспроизводство, когда сначала строилось несколько заводов группы "А". Далее уже с учетом построенных заводов строились новые заводы группы "А" и "Б". Опережающее строительство заводов группы "А" позволило использовать внутренние источники финансирования индустриализации.
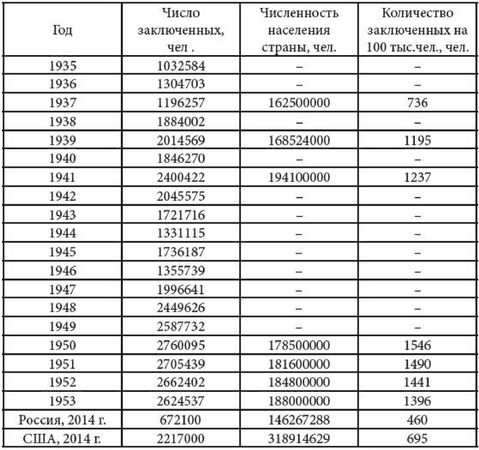
Многие заблуждаются, утверждая, что индустриализация была проведена за счет армии узников ГУЛАГа. Это полный абсурд, и динамика заключенных на 1 января представлена в таблице 1.6.
Таблица 1.6 – Динамика заключенных

Максимальное количество заключенных было зафиксировано в 1950 г., оно составило 2760095 чел. На этот же год приходится максимум заключенных на 100 тысяч населения – 1546 чел. Сейчас число заключенных в России и США соответственно составляют 460 и 695 человек на 100 тысяч населения. Это конечно меньше уровня СССР в 1950 г., однако, в США число заключенных в относительном измерении приближается к величине 1937 г. И пока не замечено упреков в экономическом господстве США за счет эксплуатации заключенных. Кроме того, система ГУЛАГ не занималась производством высокотехнологичной продукции, а работники из числа заключенных привлекались лишь к малоквалифицированному труду.
Денежную систему страны в момент индустриализации, да и в поздние периоды можно охарактеризовать как двухконтурную. Наличные средства обслуживали операции купли-продажи у населения, предприятия оперировали безналичными рублями. Вот такую характеристику безналичным деньгам дал Валентин Катасонов: "Они были некой условной единицей, с помощью которой велось планирование распределения всех видов ресурсов в экономике, учет и контроль их использования, поддерживалась дисциплина договорных отношений между предприятиями. Например, нарушение договоров поставки продукта одним предприятием другому могло приводить к тому, что второе предприятие не акцептовало (не одобряло) платежные требования первого. В результате первое не получало безналичных средств на свой банковский счет, а это во времена Сталина рассматривалось как серьезное ЧП. Это был достаточно четкий механизм распределительных отношений".
Переток безналичных средств в наличные строго ограничивался, что позволяло не допускать инфляции при постоянно растущей денежной массе. Предприятия могли получать наличные средства в целях выплаты заработной платы или покрытия расходов от командировок. В рыночной системе границы между контурами были размыты. Предприятия могли обналичить свои средства в обслуживающем банке с указанием причин, или того хуже – через специальные отмывочные конторы. Это приводило к неконтролируемой инфляции и сокрытию налогов от государства.
Непосредственно за эмиссию денежных средств отвечал Государственный Банк. При строительстве предприятия на его счета поступали кредитные ресурсы Госбанка, источником которого выступал бюджет. В случае нехватки средств осуществлялась дополнительная эмиссия под конкретный проект. В настоящий момент такой механизм кредитования именуется проектным финансированием, и он будет рассмотрен в девятой главе.