
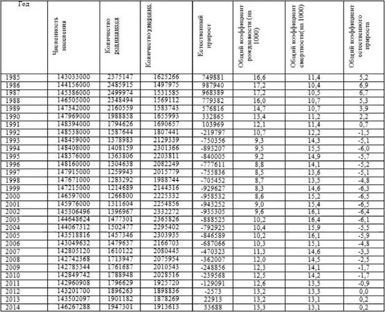
Естественная убыль населения России с начала "шоковой терапии" и по 2014 г. составляет 13,3 млн. чел. По этому вопросу существует несколько точек зрения. Реформаторы утверждают о наличии "демографической ямы" вследствие сверхвысокой рождаемости после окончания Великой Отечественной войны. Кроме того, они обращают внимание на снижение рождаемости якобы вследствие пересмотра семейных ценностей. Однако они умалчивают о резком снижении средней продолжительности жизни населения.

Рис. 5.1 – Средняя продолжительность жизни
На рисунке наглядно представлено, каким образом экономические псевдореформы отразились на средней продолжительности населения: либерализация цен – резкое снижение продолжительности жизни, дефолт 1998 г. – опять резкое снижение. Линейный коэффициент корреляции между коэффициентом смертности и средней продолжительности жизни составляет минус 0,73, что показывает сильную обратную взаимосвязь. Последствия либерализации цен наглядно отразились на вымирании населения, и именно в этот год зафиксирована первая убыль населения. Максимум убыли было зафиксировано в 2000 г., она составила 958532 человека.
Вымирание населения обусловлено социально-экономической катастрофой перестройки и так называемых рыночных реформ. В целом людские потери от реформаторов в 1,5 раза превысили прямые военные потери от нашествия гитлеровских полчищ. Средняя численность населения уменьшалась не так быстро, как шло вымирание, что обусловлено механическим перемещением со стороны бывших республик СССР.
Вымирание населения сопровождалось искусственной дебилизацией населения через телевидение и образование. Единый государственный экзамен для школьников на территории России экспериментально в пяти регионах (Чувашия, Марий Эл, Якутия, Самарская и Ростовская область) был введен в 2001 г. На следующий год к эксперименту присоединились ещё 16 регионов, а с 2008 г. ЕГЭ введен на всей территории страны.
Главными предпосылками ввода единого экзамена выступили борьба с коррупцией в ВУЗах и стандартизация образования. Первый тезис явно сомнителен, так как осуществить контроль в ВУЗах значительно проще, чем в школах, число которых намного больше. Относительно сущностного наполнения критика ЕГЭ появилась одновременно с его вводом. Первая часть критики связана с возникшими организационными проблемами, вторые критикуют его суть.
Однако стоит отметить, что внедрение ЕГЭ произошло на высоком организационном уровне, все задумки блестяще реализованы. Только результатом это стало ЕГЭбилизация подрастающего поколения. Не стоит путать с дебилизацией. Согласно словарю, дебил – это психически или умственно недоразвитый человек, слабоумный. К дебилам относятся с некоторой опаской и пренебрежением. В свою очередь егэбил – это искусственно созданный желаемый продукт. В отличие от дебила, который существенно ограничен в мышлении, егэбил немного мыслит, но специфически. Главная особенность – это штамповое мышление: егэбилможет выбирать ответ только из предложенных вариантов. Чему его и обучают, начиная с первого класса. Творческое мышление сведено абсолютно к минимуму.
ЕГЭбилизация на руку существующему потребительскому обществу. Если навязывается мнение, что деньги – это единственный и универсальный способ оценки успеха человека, то егэбил не вступает с этим в споры, а лишь выбирает предложенные варианты: идут работать в банки, госучреждения. Из них получаются хорошие коррупционеры, т. к. штамповое мышление не предполагает моральных переживаний по методу достижения "успеха". Для государства егэбил удобен тем, что ему достаточно предложить партии или парадигмы, существенно не отличающиеся друг от друга. Никто особо вникать не будет. Послушной массой егэбилов могут воспользоваться и так называемые оппозиционеры, которые успешно манипулируют молодым поколением и внедряют им свои штампы.
Либеральные реформы и ориентация на сырьевую модель развития не могли не сказаться на промышленности. Официальная информация Госкомстата по этому поводу представлена в таблице 5.3.
Таблица 5.3. Динамика производства продукции в натуральном выражении


В 2014 г. по отношению к 1990 г. в натуральном измерении увеличилось добыча нефти на 1,7 %, производство дизельного топлива – на 0,9 %, полиэтилена – в 2 раза, шин – на 7,1 %, легковых автомобилей – на 57,8 %. Все иные показатели упали в разы. Так, пошив пальто снизился в 25 раз, производство тракторов – в 14 раз, металлорежущих станков – в 27 раз, экскаваторов – в 12 раз, бульдозеров – в 20 раз.
В 2014 г. по отношению к 2000 г. произошло увеличение добычи полезных ископаемых и выпуск продукции низких переделов. Обрабатывающая отрасль продолжала агонизировать. К примеру, за этот период производство металлорежущих станков снизилось в 3,2 раза, экскаваторов – в 1,7 раза, бульдозеров – в 4,3 раза. Статистические данные ярко опровергают миф о якобы "вставания с колен" после прихода к власти Путина. На фоне сверхвысоких цен на нефть базовые отрасли деградировали. Часто задается вопрос: кто, если не Путин? Да, такого "профессионала" по уничтожению промышленности при фонтане нефтедолларов трудно найти.
Часто ссылаются на увеличение валового внутреннего продукта (ВВП). Смотрите мол, неблагодарные, как все у нас замечательно, ВВП растет как на дрожжах, поэтому возмущаться нечему. И люди вынуждены верить заверениям о хорошей жизни. Однако не все так просто.
Вот такое дается определение ВВП: "Валовой внутренний продукт (ВВП) – это один из важнейших показателей системы национальных счетов, который характеризует конечный результат производственной деятельности экономических единиц-резидентов и измеряет стоимость товаров и услуг, произведенных этими единицами для конечного использования". Все звучит очень благородно, якобы это результат "производственной деятельности". В таблице представлен ВВП России за 2013-14 г. в текущих ценах.
Таблица 5.4. Динамика ВВП в текущих ценах, млрд. руб.
