
Примечание: убыль массы творога обусловливается сублимацией льда из продукта.
Нормы убыли даны нарастающим итогом и должны применяться по последнему месяцу хранения, а не суммарно за каждый месяц.
При хранении замороженного творога в бочках с пленочными мешками-вкладышами и во флягах нормы убыли не применяются.
Расход продукта на анализы в процессе хранения ежемесячно составляет 0,01%.
При хранении расфасованного замороженного творога в брикетах (0,25 кг) нормы убыли не применяются.
Нормы естественной убыли сметаны в бочках при хранении в охлажденном состоянии на базах и холодильниках (в % к массе продукта) в таблице 54.
Таблица 54
Нормы естественной убыли творога и сметаны при хранении и творога при замораживании на базах и холодильниках (утв. Главным управлением государственных продовольственных ресурсов 21 декабря 1989 г.)
Нормы естественной убыли сметаны в бочках при хранении в охлажденном состоянии на базах и холодильниках (в % к массе продукта)

Примечание: убыль массы сметаны обусловливается утечкой сыворотки, впитыванием ее в тару и испарением влаги.
Нормы естественной убыли сметаны в первые 4 суток хранения не применяются.
Нормы естественной убыли сметаны даны нарастающим итогом и должны применяться по последнему сроку хранения.
При хранении сметаны (с массовой долей жира 25 и 30%) в бочках с пленочными мешками-вкладышами из повидена марки У по ТУ 6-01-1086-82 нормы естественной убыли составляют 0,02% за 10 суток.
При хранении сметаны во флягах (30 суток) нормы убыли не применяются.
Расход продукта на анализы за 30 суток хранения во флягах составляет 0,01%.
Расход продукта на анализы при хранении сметаны в бочках включен в нормы естественной убыли.
Согласно Инструкции по применению норм естественной убыли творога и сметаны при хранении и творога при замораживании (Нормы естественной убыли творога и сметаны при хранении и творога при замораживании на базах и холодильниках (утв. Главным управлением государственных продовольственных ресурсов 21 декабря 1989 г.), нормы естественной убыли творога при замораживании и хранении и сметаны при хранении устанавливаются для оценки фактических потерь этих продуктов.
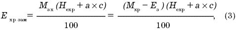
Определение предельно допустимой естественной убыли охлажденного творога и сметаны при хранении производят по следующей формуле:

где Ехр – предельно допустимая величина естественной убыли продукта, кг;
Мхр – масса продукта, поступающего на хранение, кг;
Нехр – норма естественной убыли, %.
Определение предельно допустимой величины естественной убыли творога при замораживании производят по следующей формуле:

где Ез – предельно допустимая величина естественной убыли продукта, кг;
М – масса продукта, поступающего на замораживание, кг;
Не– норма естественной убыли, %.
Определение предельно допустимой величины естественной убыли замороженного творога при хранении производят по следующей формуле:

где Мзх – масса замороженного творога, закладываемого на хранение (разность между массой продукта, направленного на замораживание и величиной естественной убыли творога, рассчитанной по формуле):
Мзх = Мxp – Ез, (4)
а – расход продукта на анализы в процессе хранения за месяц (0,01%);
с – число месяцев хранения.
Пример
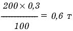
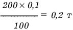
На холодильник поступило с завода 400 т творога 18%-ной жирности в бочках. 200 т творога хранили трт дня в охлажденном состоянии, 200 т творога были заморожены и хранились в замороженном состоянии 2 два месяца.
Предельно допустимая величина естественной убыли творога при хранении в охлажденном состоянии, согласно формуле 1, равна:

Предельно допустимая величина естественной убыли творога при замораживании, согласно формуле 2, будет равна:

Предельно допустимая величина естественной убыли замороженного творога при хранении в течение двух месяцев, согласно формуле 3, будет равна:

Пункт 6 Инструкции по применению норм естественной убыли творога и сметаны при хранении и творога при замораживании определяет, что в случае хранения и учета продукции по партиям списание естественной убыли производится после реализации каждой партии.
Если партия реализуется не сразу, а в течение определенного времени, то исчисляется средний срок хранения партии.
При получении дробного числа доли до 0,5 включительно отбрасываются, а выше 0,5 округляются до целого числа.
Пример
На длительное хранение была заложена партия творога в количестве 100 т, 50 т из них были реализованы после 60 дней хранения, 30 т – после 70 дней хранения и 20 т – спустя 75 дней хранения.
Средний срок составит:

В тех случаях, когда партионное хранение невозможно из-за большой загруженности камер, средний срок хранения продукции вычисляется следующим путем (п. 7 Инструкции по применению норм естественной убыли творога и сметаны при хранении и творога при замораживании):
1) суммируются остатки продукции (в количественном выражении) за каждый день хранения в инвентаризационном периоде. Сумма остатков делится на количество дней инвентаризационного периода, что дает среднесуточный остаток продукции;
2) определяется однодневный оборот продукции путем деления количества реализованной продукции на количество дней инвентаризационного периода.
Средний суточный остаток делится на однодневный оборот продукции, что дает средний срок хранения в днях.
При получении дробного числа доли до 0,5 включительно отбрасываются, а выше 0,5 округляются до целого числа.
Предельная величина естественной убыли исчисляется путем умножения реализованной продукции на норму естественной убыли, соответствующей сроку хранения продукции.
Пример
Инвентаризационный период составил 100 дней. Сумма ежедневных остатков творога за этот период составила 600 000 кг.
Средний суточный остаток творога, соответственно:

Количество реализованного творога за инвентаризационный период составило 200 000 кг.
Однодневный оборот творога равен 20 000 : 100 = 200 кг
Средний срок хранения равняется:

При замораживании творога в брикетах и блоках, упакованных в полимерную пленку в скороморозильных аппаратах, нормы естественной убыли не применяются.
Согласно Мероприятиям по снижению естественной убыли творога и сметаны при хранении и творога при замораживании (Нормы естественной убыли творога и сметаны при хранении и творога при замораживании на базах и холодильниках) (утв. Главным управлением государственных продовольственных ресурсов 21 декабря 1989 г.), в целях снижения естественной убыли и сохранения качества сметаны и творога, рекомендуется:
1) осуществлять замораживание творога в скороморозильных аппаратах;
2) производить замораживание творога в морозильных камерах с интенсивной циркуляцией воздуха при температуре не выше –30 °С;
3) не допускать передерживание творога в накопительных камерах перед замораживанием;
4) применять влагонепроницаемую упаковку при замораживании творога;