
Примечание: климатические группы сахарных заводов установлены в соответствии с приказом Министерства экономического развития и торговли Российской Федерации от 31 марта 2003 г. № 95 "Об утверждении методических рекомендаций по разработке норм естественной убыли".
Ко второй климатической группе относятся следующие сахаропроизводящие регионы: Алтайский край, Республика Алтай, Архангельская область, Республика Башкортостан, Белгородская область, Брянская область, Республика Бурятия, Владимирская область, Волгоградская облсть, Республика Мордовия, Приморский край, Республика Татарстан, Воронежская область, Курская область, Липецкая область, Нижегородская область, Орловская область, Пензенская область, Рязанская область, Самарская область, Саратовская область, Тамбовская область, Тульская область, Ульяновская область, Москва, Московская область, Санкт-Петербург и др.
К третьей климатической группе относятся следующие сахаропроизводящие регионы: Астраханская область, Республика Дагестан, Республика Ингушетия, Кабардино-Балкарская Республика, Республика Калмыкия, Республика Северная Осетия – Алания, Ростовская область, Краснодарский край, Ставропольский край, Чеченская Республика, Республика Адыгея и др.
Постановлением Госснаба СССР от 26 июня 1981 г. № 59 "Об утверждении норм естественной убыли сахара-сырца, сахара-песка, сахара-рафинада и сахарной пудры при хранении на предприятиях сахарной промышленности" утверждены следующие нормы естественной убыли (см. табл. 6)
Таблица 6
Приложение к постановлению Госснаба СССР от 26 июня 1981 г. № 59
Нормы естественной убыли сахара-сырца, сахара-песка, сахара-рафинада и сахарной пудры при хранении на предприятиях сахарной промышленности


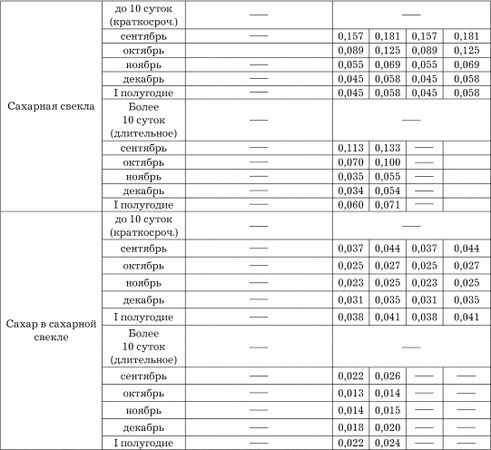
Приказом Минсельхоза РФ и Минтранса РФ от 21 ноября 2006 г. № 426/139 "Об утверждении норм естественной убыли сырья и побочной продукции сахарной промышленности при перевозке" утверждены следующие нормы естественной убыли (см. табл. 7).
Таблица 7
Приложение к приказу Минсельхоза РФ и Минтранса РФ от 21 ноября 2006 г. № 426/139
Нормы естественной убыли сырья и побочной продукции сахарной промышленности при перевозке (в процентах от хранимой массы)

Перевозка сахара проводится в крытых транспортных средствах согласно установленным правилам перевозки грузов, санитарным нормам и правилам.
Не разрешается транспортировка сахара совместно с продуктами, обладающими специфическими запахами, а также в транспортных средствах после перевозки ядовитых и резко пахнущих грузов. При транспортировке мешки с сахаром или ящики прикрывают брезентом.
Реализация сахара должна осуществляться при условиях, которые гарантируют безопасность и сохранность его потребительских качеств, а также исключение вероятности повреждения вредителями, приобретения посторонних запахов и влаги.
Глава 5. Нормы естественной убыли массы стоповых корнеплодов, картофеля, плодовых и зеленных овощных культур разных сроков созревания при хранении
Нормы установлены на реализуемые на развес стандартные товары в процентах к их розничному обороту на возмещение потерь, образующихся при хранении товаров в подсобном помещении и на прилавках, а также при подготовке к продаже и продаже товаров вследствие: усушки; раструски; расхода веществ на дыхание.
Согласно Инструкции по применению норм естественной убыли свежих картофеля, плодов и овощей в розничной торговой сети государственной и кооперативной торговли (утв. приказом Минторга РСФСР от 22 февраля 1988 г. № 45 "Об утверждении норм естественной убыли свежих картофеля, овощей и плодов в городской и сельской розничной торговой сети и Инструкции по их применению"), в нормы естественной убыли не включены:
1) отходы картофеля, овощей и фруктов;
2) всякого рода потери, образующиеся вследствие порчи товаров, повреждения тары, а также разницы между фактической массой тары и массой по трафарету (завес тары);
3) фактические дополнительные потери, связанные с реализацией товаров методом самообслуживания, в пределах установленных норм.
Утвержденные нормы являются предельными и применяются только в тех случаях, когда при проверке фактиче-ского наличия товаров окажется недостача против учетных остатков.
Естественная убыль товаров списывается по фактическим размерам, но не выше установленных норм.
Списание естественной убыли товаров может производиться только после инвентаризации товаров на основе соответствующего расчета.
Недостача товаров в пределах установленных норм естественной убыли списывается с материально ответственных лиц по тем ценам, по которым товары были оприходованы. Отнесение товарных потерь на издержки обращения производится по покупным ценам. Разница между покупными и розничными ценами относится за счет торговых скидок.
Нормы естественной убыли применяются лишь к товарам, проданным за отчетный период, независимо от срока хранения их в розничном торговом предприятии.
К товарам, поступающим в розничные торговые предприятия в фасованном виде, настоящие нормы естественной убыли не применяются.
Примечание: на товары, фасуемые в магазинах, а также поступающие в магазины расфасованными произвольной массой, нормы естественной убыли применяются в таком же размере, как и на весовые товары.
Согласно п. 7 Инструкции по применению норм естественной убыли свежих картофеля, плодов и овощей в розничной торговой сети государственной и кооперативной торговли, при исчислении размера естественной убыли в пределах установленных норм для розничной торговой сети в розничный оборот не включаются товары:
1) отпущенные другим магазинам, филиалам магазина (ларькам, палаткам), имеющим самостоятельный учет материальных ценностей, а также проданные в порядке мелкого опта социально-культурным учреждениям (детским садам, санаториям, больницам и т. п.) и другим предприятиям, организациям и учреждениям;
2) возвращенные поставщикам, а также сданные на переработку;
3) списанные по актам вследствие порчи, снижения качества, завеса и повреждения тары.
Примечание: при мелкооптовом отпуске магазинами товаров применяются нормы убыли в размере 40% от норм, установленных для розничной торговой сети.
Размер естественной убыли по розничному торговому предприятию в целом или по его отделу за время между двумя смежными инвентаризациями определяется на основании расчетов, составленных бухгалтерией предприятия при участии материально ответственных лиц и утвержденных руководителем предприятия. Если руководитель торгового предприятия является одновременно материально ответственным лицом, расчет утверждается руководством вышестоящей организации.
Расчет естественной убыли на товары, проданные в розницу, составляется в следующем порядке.
К сумме естественной убыли на фактические остатки товаров по данным инвентаризации на начало отчетного периода добавляется сумма начисленной убыли по документации на поступившие за этот же период товары и исключается убыль, исчисленная по документам на товары, перечисленные выше, а также на фактический остаток товаров по инвентаризационной описи на конец отчетного периода.
При наличии в розничном торговом предприятии операций по мелкооптовому отпуску и реализации товаров в том же порядке составляются отдельные расчеты естественной убыли.
Норма и сумма естественной убыли, начисленная по инвентаризационным описям и по первичным товарным документам, проставляются на полях указанных товарных документов (п. 8 Инструкции по применению норм естественной убыли свежих картофеля, плодов и овощей в розничной торговой сети государственной и кооперативной торговли).
Приказом Минсельхоза РФ от 28 августа 2006 г. № 268 утверждены нормы естественной убыли массы столовых корнеплодов, картофеля, плодовых и зеленных овощных культур разных сроков созревания при хранении (см. табл. 8).
Таблица 8
Приложение к приказу Минсельхоза РФ от 28 августа 2006 г. № 268
Нормы естественной убыли массы столовых корнеплодов, картофеля, плодовых и зеленных овощных культур разных сроков созревания при хранении

Продолжение табл. 8

Продолжение табл. 8

Продолжение табл. 8

Продолжение табл. 8