
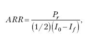
где P R – среднегодовая величина прибыли (за минусом отчислений в бюджет) от реализации проекта; 1 0 – средняя величина (величина) первоначальных вложений; Iƒ- остаточная или ликвидационная стоимость первоначальных инвестиций.
Преимуществом показателя эффективности инвестиций является простота расчета. В то же время показатель эффективности инвестиций имеет существенные недостатки. Он не учитывает стоимость денег во времени и не предполагает дисконтирования, соответственно не учитывает распределения прибыли по годам, а следовательно, применим только для оценки краткосрочных проектов с равномерным поступлением доходов. Кроме того, в связи с этим невозможно оценить возможные различия проектов, связанных с различными сроками осуществления.
Поскольку метод основан на использовании бухгалтерских характеристик инвестиционного проекта – среднегодовой величине прибыли, то коэффициент эффективности инвестиций не дает количественной оценки прироста экономического потенциала компании. Однако данный коэффициент предоставляет информацию о влиянии инвестиций на бухгалтерскую отчетность компании. Показатели бухгалтерской отчетности иногда являются важнейшими при анализе инвесторами и акционерами привлекательности компании.
Величина чистого дисконтированного дохода (NPV) рассчитывается как разность дисконтированных денежных потоков доходов и расходов, производимых в процессе реализации инвестиции за прогнозный период.
Суть критерия состоит в сравнении текущей стоимости будущих денежных поступлений от реализации проекта с инвестиционными расходами, необходимыми для его реализации.
Применение метода предусматривает последовательное прохождение следующих стадий:
1. Расчет денежного потока инвестиционного проекта.
2. Выбор ставки дисконтирования, учитывающей доходность альтернативных вложений и риск проекта.
3. Определение чистого дисконтированного дохода.
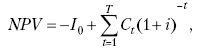
ЧДД или NPV для постоянной нормы дисконта и разовыми первоначальными инвестициями определяют по следующей формуле:

где I0 - величина первоначальных инвестиций; C t – денежный поток от реализации инвестиций в момент времени t; t - шаг расчета (год, квартал, месяц и т. д.); i - ставка дисконтирования.
Денежные потоки должны рассчитываться в текущих или дефлированных ценах. При прогнозировании доходов по годам необходимо по возможности учитывать все виды поступлений как производственного, так и непроизводственного характера, которые могут быть ассоциированы с данным проектом. Так, если по окончании периода реализации проекта планируется поступление средств в виде ликвидационной стоимости оборудования или высвобождения части оборотных средств, они должны быть учтены как доходы соответствующих периодов.
В основе расчетов по данному методу лежит посылка о различной стоимости денег во времени. Процесс пересчета будущей стоимости денежного потока в текущую называется дисконтированием (от англ. discont - уменьшать).
Ставка, по которой происходит дисконтирование, называется ставкой дисконтирования (дисконта), а множитель F = 1/(1 + i)t - фактором дисконтирования.
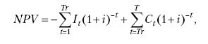
Если проект предполагает не разовую инвестицию, а последовательное инвестирование финансовых ресурсов в течение ряда лет, то формула для расчета NPV модифицируется следующим образом:

где I t – денежный поток первоначальных инвестиций; C t – денежный поток от реализации инвестиций в момент времени t; t - шаг расчета (год, квартал, месяц и т. д.); i - ставка дисконтирования.
Условия принятия инвестиционного решения на основе данного критерия сводится к следующему:
• если NPV > 0, то проект следует принять;
• если NPV < 0, то проект принимать не следует;
• если NPV = 0, то принятие проекта не принесет ни прибыли, ни убытка.
При расчете NPV могут использоваться различные по годам ставки дисконтирования. В данном случае необходимо к каждому денежному потоку применять индивидуальные коэффициенты дисконтирования, которые будут соответствовать данному шагу расчета. Кроме того, возможна ситуация, когда проект, приемлемый при постоянной дисконтной ставке, может стать неприемлемым при переменной.
Показатель чистого дисконтированного дохода учитывает стоимость денег во времени, имеет четкие критерии принятия решения и позволяет выбирать проекты для целей максимизации стоимости компании. Кроме того, данный показатель является абсолютным показателем и обладает свойством аддитивности, что позволяет складывать значения показателя по различным проектам и использовать суммарный показатель по проектам в целях оптимизации инвестиционного портфеля, т. е. справедливо следующее равенство:
NPV A +NPV B = NPV A + B .
При всех его достоинствах метод имеет и существенные недостатки. В связи с трудностью и неоднозначностью прогнозирования и формирования денежного потока от инвестиций, а также с проблемой выбора ставки дисконта может возникнуть опасность недооценки риска проекта.
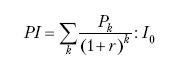
Индекс рентабельности (прибыльности, доходности) рассчитывается как отношение чистой текущей стоимости денежного притока к чистой текущей стоимости денежного оттока (включая первоначальные инвестиции):

или

где I0- инвестиции предприятия в момент времени 0; C t – денежный поток предприятия в момент времени t; i - ставка дисконтирования.
Индекс рентабельности – относительный показатель эффективности инвестиционного проекта и характеризует уровень доходов на единицу затрат, т. е. эффективность вложений, – чем больше значение этого показателя, тем выше отдача денежной единицы, инвестированной в данный проект. Данному показателю следует отдавать предпочтение при комплектовании портфеля инвестиций с целью максимизации суммарного значения NPV.
Условия принятия проекта по данному инвестиционному критерию следующие:
если Р1> 1, то проект следует принять;
если PI < 1, то проект следует отвергнуть;
если PI = 1, проект ни прибыльный, ни убыточный.
Несложно заметить, что при оценке проектов, предусматривающих одинаковый объем первоначальных инвестиций, критерий PI полностью согласован с критерием NPV.
Таким образом, критерий PI имеет преимущество при выборе одного проекта из ряда альтернативных, имеющих примерно одинаковые значения NPV, но разные объемы требуемых инвестиций. В данном случае выгоднее тот из них, который обеспечивает большую эффективность вложений. В связи с этим данный показатель позволяет ранжировать проекты при ограниченных инвестиционных ресурсах.
К недостаткам метода можно отнести его неоднозначность при дисконтировании отдельно денежных притоков и оттоков.
Под внутренней нормой рентабельности, или внутренней нормой прибыли, инвестиций (IRR) понимают значение ставки дисконтирования, при котором NPV проекта равен нулю:
IRR = i, при котором NPV = ƒ(i) = 0.
Смысл расчета этого коэффициента при анализе эффективности планируемых инвестиций заключается в следующем: IRR показывает максимально допустимый относительный уровень расходов, которые могут быть ассоциированы с данным проектом. На практике любое предприятие финансирует свою деятельность из различных источников. В качестве платы за пользование авансированными в деятельность предприятия финансовыми ресурсами оно уплачивает проценты, дивиденды, вознаграждения и т. п., т. е. несет некоторые обоснованные расходы на поддержание своего экономического потенциала. Показатель, характеризующий относительный уровень этих доходов, можно назвать ценой авансированного капитала (capital cost – СС). Этот показатель отражает сложившийся на предприятии минимум возврата на вложенный в его деятельность капитал, его рентабельность и рассчитывается по формуле средней арифметической взвешенной.
Экономический смысл этого показателя заключается в следующем: предприятие может принимать любые решения инвестиционного характера, уровень рентабельности которых не ниже текущего значения показателя СС (цены источника средств для данного проекта). Именно с ним сравнивается показатель IRR , рассчитанный для конкретного проекта, при этом связь между ними такова:
если: IRR > СС, то проект следует принять;
если IRR < СС, то проект следует отвергнуть;
если IRR = СС, то проект ни прибыльный, ни убыточный.